搜索
首页
大数快讯
大数活动
服务超市
文章专题
出海平台
流量密码
出海蓝图
产业赛道
物流仓储
跨境支付
选品策略
实操手册
报告
跨企查
百科
导航
知识体系
工具箱
更多
找货源
跨境招聘
DeepSeek
首页
>
增设21种新专业!本科专业目录更新…
>
0
0
增设21种新专业!本科专业目录更新…
青云汇
2023-04-24
0
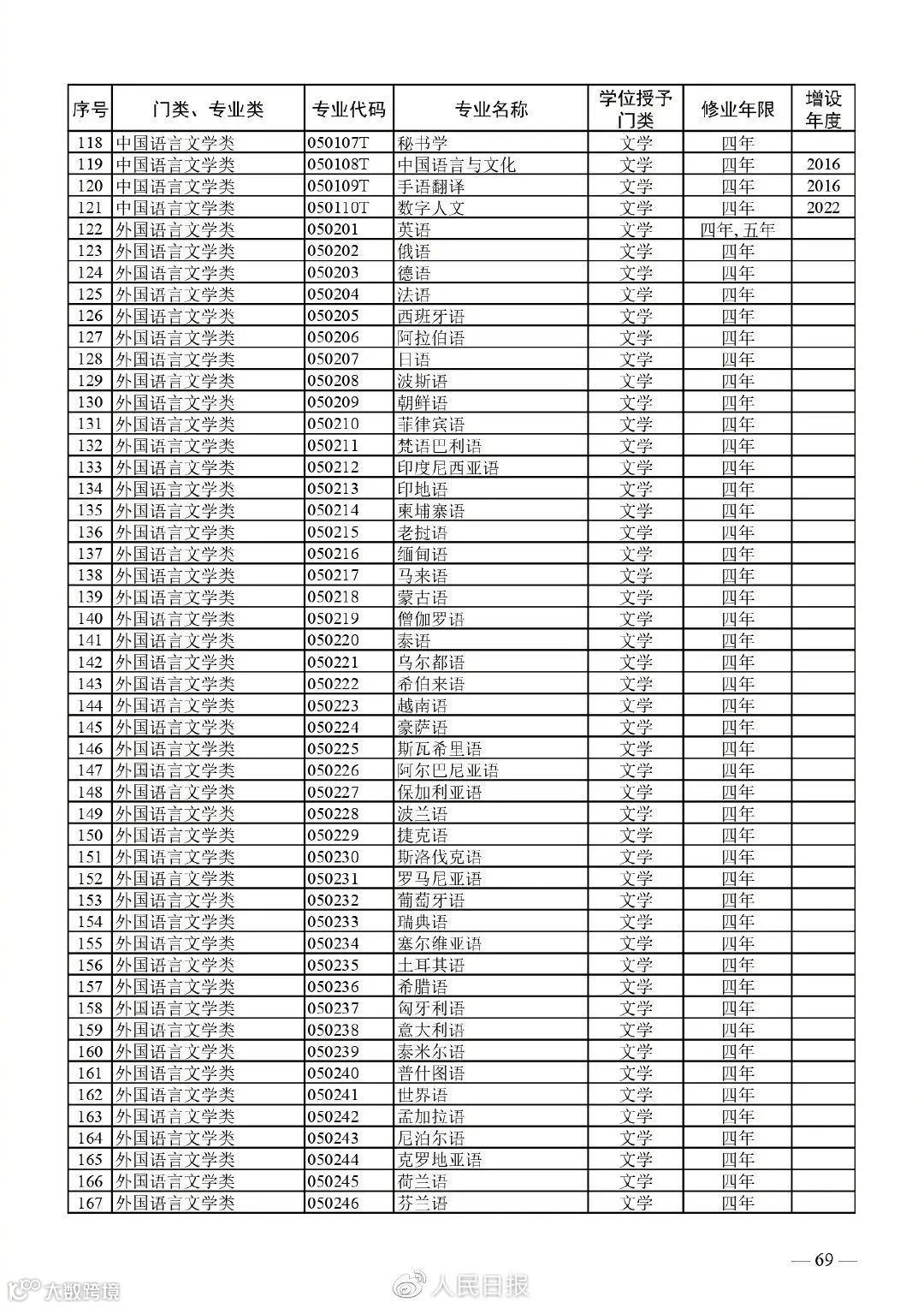
日前,教育部公布了2022年度普通高等学校本科专业备案和审批结果,新增备案专业1641个、审批专业176个(含150个国家控制布点专业和21种、26个目录外新专业),调整学位授予门类或修业年限专业点62个。
本次备案、审批和调整的专业,将列入相关高校2023年本科招生计划。
另对部分高校申请撤销的925个专业点予以备案。
教育部积极引导高校开设国家战略和区域发展急需的相关专业,
此次新增了地球系统科学、生物统计学、未来机器人、安全生产监管、国家公园建设与管理、医工学、乡村治理、家庭教育、无障碍管理等21种新专业
,并正式纳入《普通高等学校本科专业目录》。
为支持高校积极探索推进学科专业交叉融合,培养复合型拔尖创新人才,
首次在工学门类下增设交叉工程专业类。
截至目前,本科专业目录共包含93个专业类、792种专业。
据统计,此次专业增设、撤销、调整共涉及2800余个专业布点,占目前专业布点总数的4.5%。从学科门类看,工学所涉专业数量最多,有1074个;从区域布局看,涉及中西部高校的专业有1503个,占比超过50%。本科专业类型结构和区域布局结构进一步优化,高校主动
服务
经济社会发展的意识和能力进一步增强。
【声明】内容源于网络
0
0
青云汇
为学生及家长提供生涯资讯、选科指导、志愿填报、生涯实践、专家咨询等服务的生涯教育综合服务平台。
内容
3171
粉丝
0
关注
在线咨询
青云汇
为学生及家长提供生涯资讯、选科指导、志愿填报、生涯实践、专家咨询等服务的生涯教育综合服务平台。
总阅读
284
粉丝
0
内容
3.2k
在线咨询
关注