▲2023年录取分、往年录取分、征集志愿院校名单、就业数据、大学课件、…暑假大礼包,扫码立即免费领
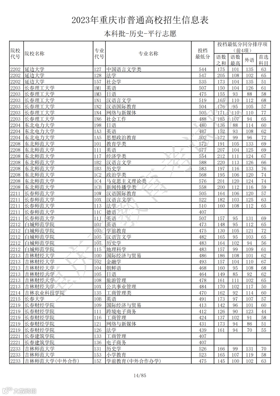
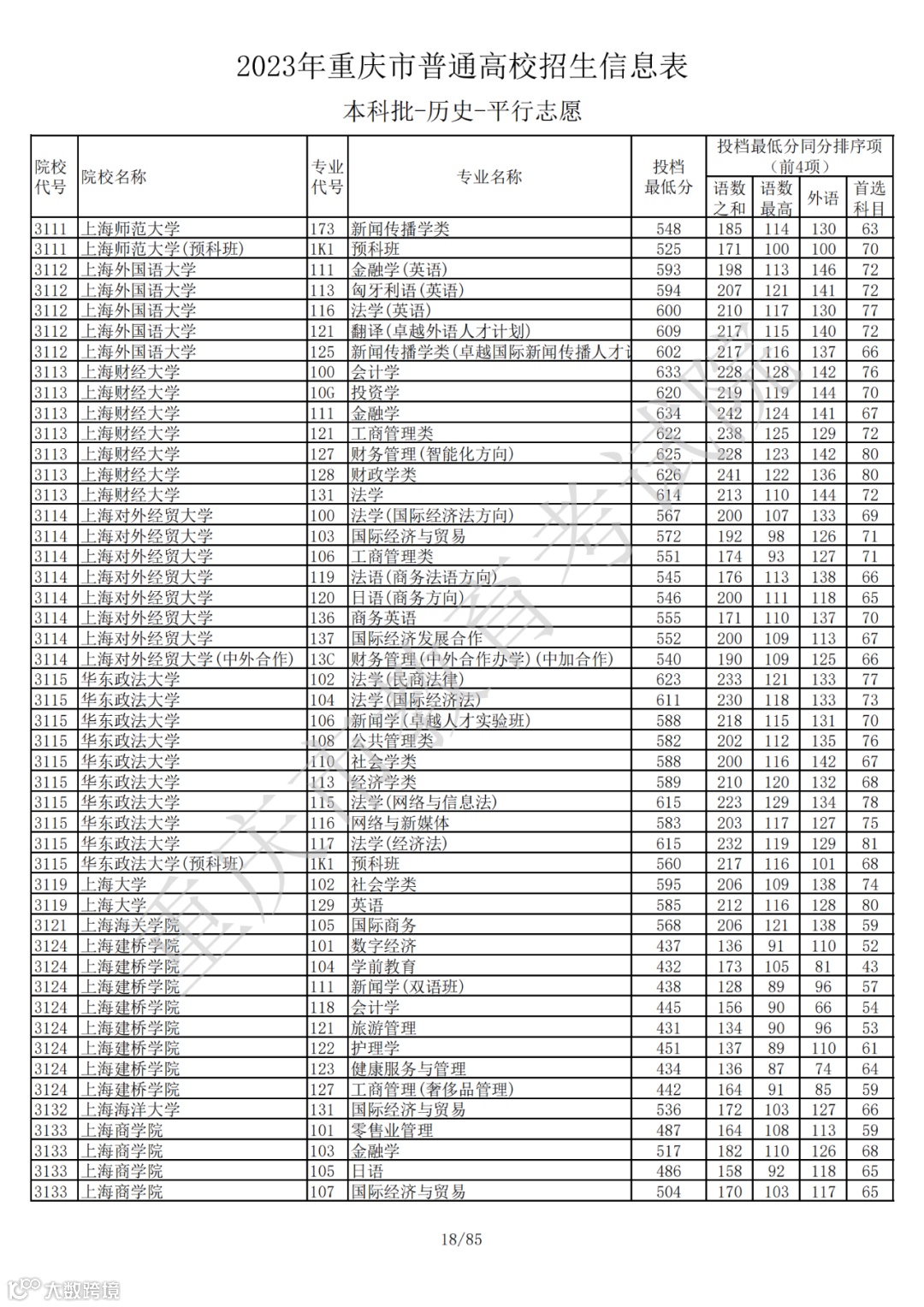
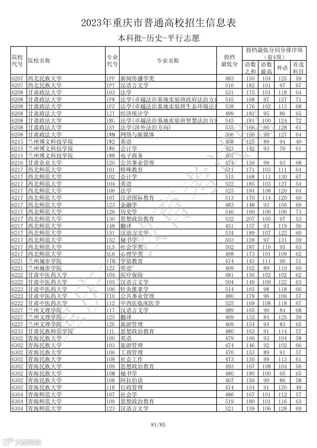
按照市教育考试院发布的征集志愿日程表,普通类本科批第1次征集志愿的时间为2023年7月27日 15:00-7月28日 10:00
填报本批次的考生先查询高考录取结果,再根据最新缺额计划和参考录取分填报征集志愿。
👉关注|重庆高考录取时间、进度和12个常见问题,转给需要的考生!






















































































青云汇
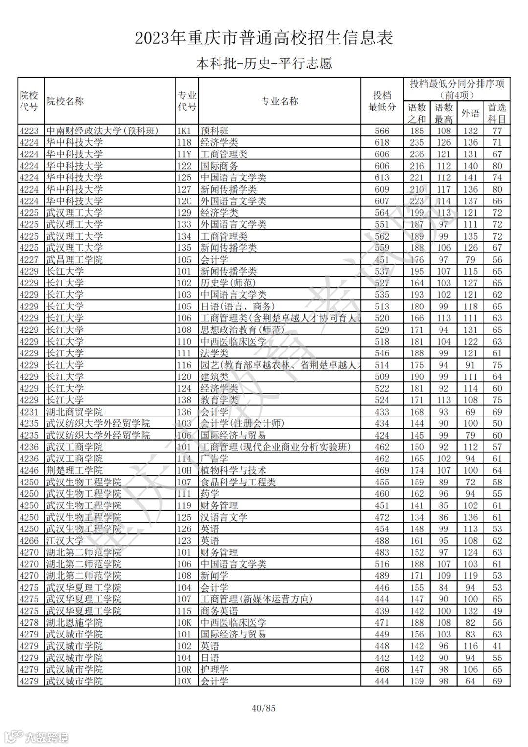
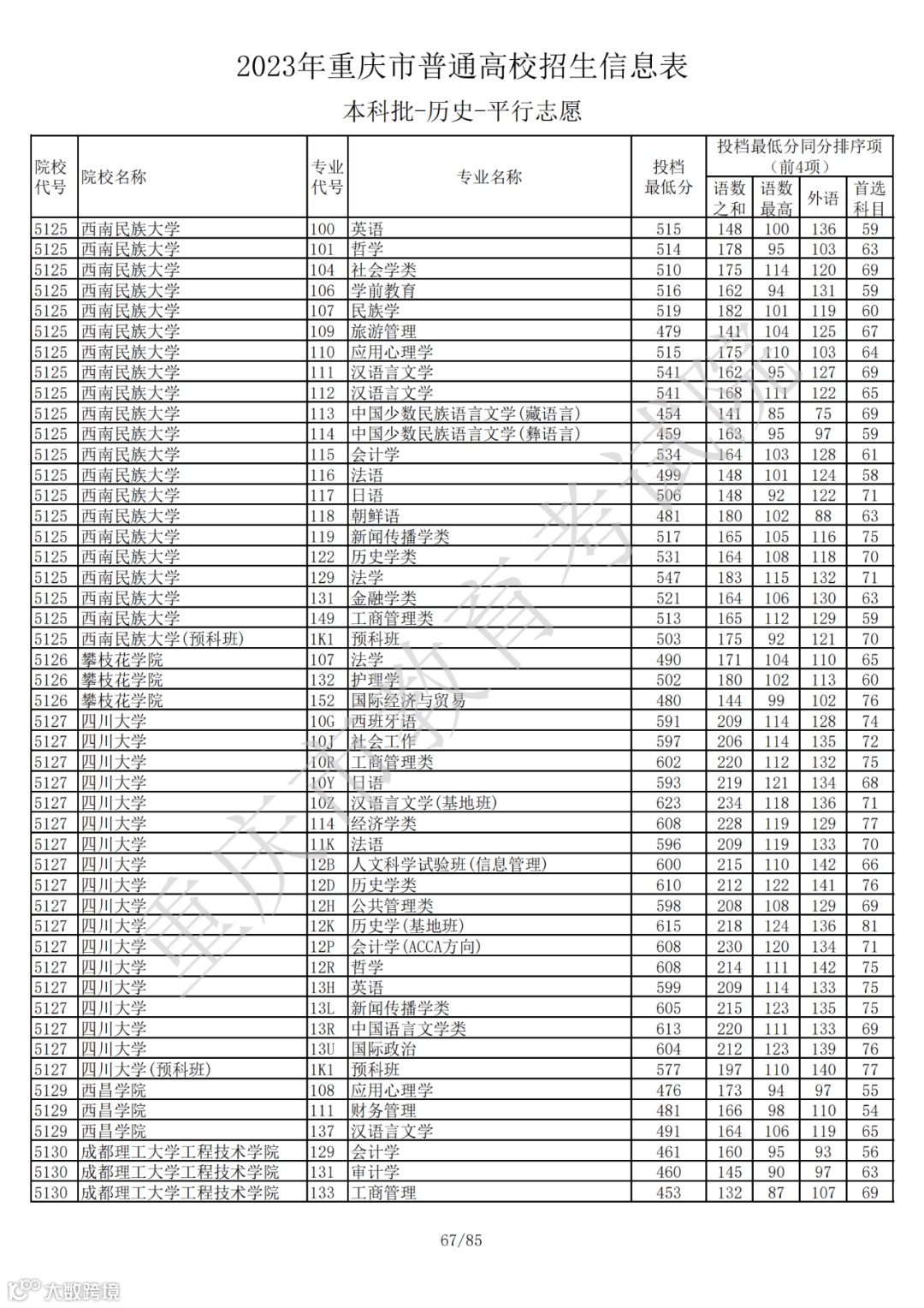
按照市教育考试院发布的征集志愿日程表,普通类本科批第1次征集志愿的时间为2023年7月27日 15:00-7月28日 10:00
填报本批次的考生先查询高考录取结果,再根据最新缺额计划和参考录取分填报征集志愿。
👉关注|重庆高考录取时间、进度和12个常见问题,转给需要的考生!





















































































