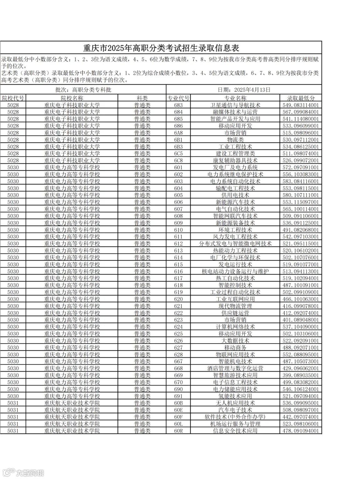
3月高职分类考试在即,为帮助考生了解自己的分数能上的院校/专业,青云汇整理了重庆高职分类考试招生院校2025年各批次及专业录取分数。
专本贯通批
高职对口本科批
高职分类专科批
高职对口专科批


