


【学院国标代码】14246
【在渝招生代码】5067
【办学类型】公办普通高等院校
【培养层次】高职(专科)


一、普高类
1.招生对象:普通高中毕业生或具有同等学力者。
二、中职类
(1)高职专科对口招生:中等职业学校毕业生。
(2)中高等职业教育贯通培养项目转段招生:中职与高职(专科)贯通培养项目(含“五年制”、“三·二分段制”)。



重庆商务职业学院始建于1962年,是由重庆市人民政府举办、市商务委与市教委共建的全日制公办普通高等院校,是重庆市“优质高等职业院校”建设立项单位。
学校位于生态环境优美、文化氛围浓郁、科技产业发达的重庆大学城,雄踞渝蓉高速要塞,背倚缙云秀峰。学校占地580余亩,建筑面积24.5万平方米,在校学生11000余名,教学仪器及实训设备8000余万元,馆藏各类图书60余万册。
学校名师荟萃,英才云集,教职工近600人,其中具有教授、副教授职称的专任教师占30%,硕士、博士研究生学历教师占75%,“双师素质”教师占85%,聘请100余名行业高技能人才担任实训教师。海外留学经历教师占10%,省(部)级以上劳模、教学名师、行业领军人物等30余名。
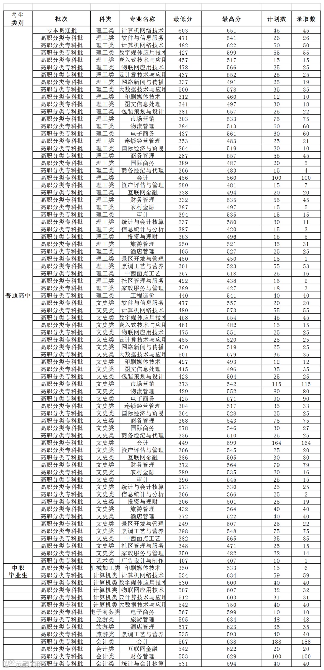
学校立足地方经济社会发展需要,依托行业资源优势,对接国家“一带一路”、长江经济带及重庆现代商贸服务业等发展战略设置专业,形成了财会金融、工商管理、电商物流、餐饮旅游、出版传媒、信息技术等六大专业群,35个招生专业,建有重庆市商贸人才培训基地、印刷包装职业培训基地、餐饮高技能人才培训基地,共建“京东校园实训中心”“苏宁易购校园店”等开放性技能实训平台80余个,致力打造商贸产教融合创新创业示范基地。
学校积极开展对外交流合作,先后与韩国、泰国、加拿大、马来西亚、荷兰等国家10余所高校签订合作办学协议,目前我校有南非和泰国留学生近100人。
学校秉承“商行天下,学润德才”的校训,弘扬“忠诚、自强、合作、创新”的精神,坚持“行诚信正道,育商务英才”的办学理念,朝着建设特色鲜明、优势突出、在行业有重要影响力的优质高职院校和最终建成应用型本科院校不懈奋进。

重庆是西部大开发重要战略支点,“一带一路”和长江经济带的联结点,成渝经济发展圈重要组成部分。在习近平总书记指示下,重庆谋划实施内陆开放高地建设行动计划,建设国际化大都市,急需大量高技能商贸类人才。学校秉承“行诚信正道,育商务英才”的办学理念,依托行业优势,以培养商贸类高技能技术人才为己任,开设专业紧扣国家及重庆市战略规划需要,涉及商贸、财经、传媒、餐饮、智能化等众多热门领域,毕业生就业前景十分广阔。
学校高度重视学生职业素养的培养,毕业生在管理、技术、服务等岗位上均有较强的胜任力,深受企业欢迎。学校为保障每一位毕业生就业,制定了相应政策,建立了帮扶机制,凝结全校教职工力量,通过心理辅导、就业指导、困难帮扶、精准推送岗位等措施帮助毕业生充分就业。

1.国家层面:国家奖学金8000元/年,国家励志奖学金5000元/年,国家助学金:一等助学金4300元/年、二等助学金3300元/年、三等助学金2300元/年。
2.学校层面:一等奖学金1500元/年(3%),二等奖学金1000元/年(8%),三等奖学金500元/年(15%)。
3.其他层面:学校对贫困学生有学费部分或全部减免、临时困难资助、勤工助学、爱心助学基金等资助方式。
联系我们


