为大家整理了12大学科门类792个专业汇总及就业去向,高考选专业必备,赶快收藏查看!
哲学类下设哲学、逻辑学、宗教学、伦理学等4个专业。

哲学是一门研究人生终极意义和宇宙万物本源的学科,强调批判性思维和理性思考能力的培养。哲学是公认的就业困难的专业,造成这一现象的根本原因在于哲学的本科教育与行业体系难以衔接,没有直接对口的就业岗位。
(4)企业:可以在大中型企业从事行政、党建、企划、文案、人力资源、秘书、管理等工作。
本次高校本科专业目录增加了:金融审计专业。


本次高校本科专业目录增加了:国际法、司法鉴定学、工会学。


本次高校本科专业目录增加了:家庭教育、孤独症儿童教育。

文学门类下有中国语言文学、外国语言文学、新闻传播学等几类。
本次高校本科专业目录增加了:数字人文。




中国语言文学类专业包括:汉语言文学、汉语言、汉语国际教育、中国少数民族语言文学、古典文献学、应用语言学、秘书学等。毕业生可以到国家机关、企事业单位、大中学校和宣传出版机构从事文秘、宣传和编辑等工作。
外国语言文学类专业包括多个小语种专业及翻译、商务英语等专业,学生毕业后可以到外企、企事业单位、教育、文化、对外贸易等部门从事翻译、管理和经营等工作。
新闻传播学类有新闻学、广播电视学、广告学、传播学、编辑出版学、网络与新媒体、数字出版等专业,其毕业生可以到新闻、宣传出版单位(如报社、杂志社、电台、电视台、网络新媒体等)从事新闻报道、编辑策划、教学科研等工作。

历史学是一门基础学科,与专业直接对口的岗位相对较少,其毕业生可以选择进入高等院校和科研机构从事教学和研究,也可以进入各级党政机关、教育单位、新闻出版和文化事业等部门从事管理和专业工作。
世界史专业毕业生可以选择从事外文翻译、中小学教学和研究、政府部门外事办等工作。
考古学、文物与博物馆学、文物保护技术可以从事考古勘探,文物鉴定,博物馆管理等工作。
总的来说,历史学类专业属于就业冷门专业,社会能提供的对口就业岗位相对较少,工资待遇也相对较低。
理学是研究自然物质运动基本规律的科学,理学专业注重理论研究,其培养目标是科学家。
理学门类下设数学、物理学、化学、天文学、地理科学、大气科学、海洋科学、地球物理学、地质学、生物科学、心理学、统计学等几类。
本次高校本科专业目录增加了:资源化学、地球系统科学、数据科学、生物统计学。


理学专业毕业生的去向主要有以下几个:
(1)科研机构:进入专业对口的研究机构、高等学校从事基础理论及应用研究,继续深造后更有优势。
(2)学校和教育机构:考取教师资格证,进入中小学或培训机构当老师。
(3)政府机关:通过公务员考试,进入专业相关的政府部门从事研究、管理等工作。
工学专业的培养目标是培养能在相应的工程领域从事规划、勘探、设计、施工和管理等方面工作的高级工程技术人才。工学注重实际应用,强调将理论转化为实践,更加需要动手能力。
本次高校本科专业目录增加了:生物材料、电动载运工程、飞行器运维工程、安全生产监管、未来机器人。







工学类专业是12个学科门类中最大的一个专业类,涉及到国民经济建设的各个领域。工学类专业种类繁多,各类专业都有对口的就业行业。
农学门类下有植物生产、自然保护与环境生态、动物生产、动物医学、林学、水产、草学等几类。
本次高校本科专业目录增加了:国家公园建设与管理。


植物生产类专业毕业生可以到农业、园林及植物研究所等单位从事科研、生产及管理等工作。
自然保护与环境生态专业毕业生大多从事水土保持、沙漠治理、野生动物及自然保护区等方面的工作。
动物生产类专业学生可以在与动物科学相关领域和部门从事技术与设计、推广与开发、经营与管理、教学与科研等工作。
动物医学类专业毕业生可以选择到各级兽医防治、科研、生产和管理部门及动物检疫站、商品检验局、生物药品制造及动物食品加工单位工作。
林学专业毕业生主要面向林业基层单位,如国家森林公园、自然保护区等,从事育苗、造林、森林管护、病虫害综合治理、森林资源调查与管理、城乡绿化、林区多种经营、林业技术推广等工作。
草学专业毕业生可在园林、水土保持、环保、人工草场、体育场等部门从事各种类型草坪的建植与管理工作。
本次高校本科专业目录增加了:医工学。


基础医学类专业毕业生可以选择到高等院校和医学科研机构从事教学、医学实验研究等工作。
临床医学和医学技术类专业学生毕业后可以到各级医院从事诊疗和研究等工作。
公共卫生与预防医学类专业毕业生可以到疾病预防部门和卫生检验部门从事疾病预防、食品卫生检验等工作。
口腔医学专业毕业生可以到各级医院或口腔诊所从事牙齿及口腔疾病的诊疗工作。
中医学专业可以到各级医院和康复医院从事中医诊治和科研工作。
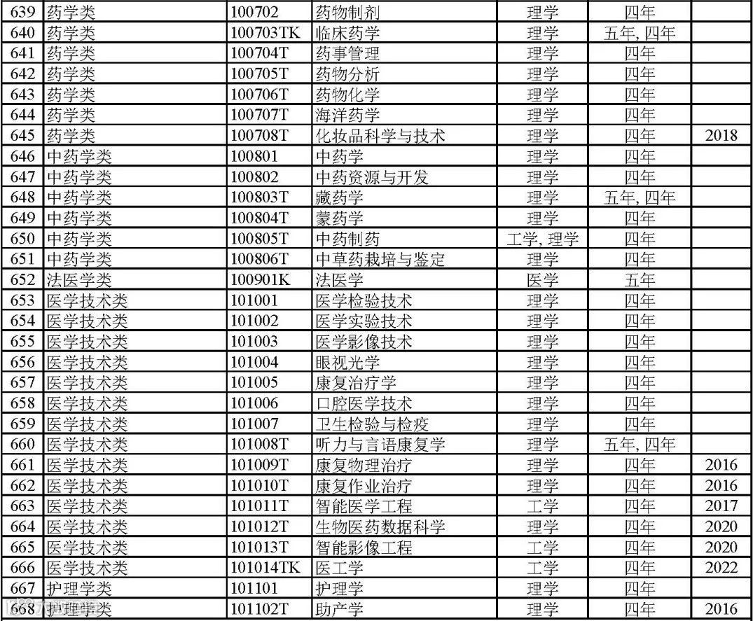
药学与中药学专业可以到制药厂和医药研究所从事各类药物研究、开发和生产等工作。
法医学专业毕业生可以到各级公安、检察机关从事法医学鉴定等工作。
护理学专业的毕业生主要是到各级医院从事护理(护士)工作。
可以说医学类专业是“对口率”最高的专业,但转行和跳槽却不容易。
管理学门类下有管理科学与工程、工商管理、农业经济管理、公共管理、图书情报与档案管理、物流管理与工程、工业工程、电子商务、旅游管理等9类。
本次高校本科专业目录增加了:乡村治理、航空安防管理、无障碍管理。



管理学类专业毕业生主要是在事业单位、政府部门从事各类管理、经营、咨询服务等工作。
管理学类专业也是12个学科门类中较大的一个专业类,有很多分支,每个分支专业的就业领域差异较大。
其中有些专业的就业情况比较理想,如工商管理里面的会计学、财务管理、审计学、人力资源管理等专业。有些专业的就业情况就不是很理想,比如信息管理与信息系统、农林经济管理、档案学等。
管理是一门实践性学科,只有在经历长期的基层历练、积累一定的经验之后才能真正走上管理岗位。


艺术学理论专业毕业生可在学校、各级文化部门、美术馆、博物院、网络媒体、出版社、影视等企事业单位从事与艺术教育、艺术研究等相关的工作。还可以从事文化挖掘、活动策划、文化娱乐、旅游体育等相关的工作。
音乐与舞蹈学、戏剧与影视学专业性很强,学生毕业后可以到各种文化、电视、电影、广播、宣传、文艺团体和部门从事专业相关的工作。
美术学与设计学专业的学生毕业后可以承担普通中学、中等专业学校以及高校的美术教学工作,也可以进入企事业单位从事视觉设计、产品设计、平面设计、网页设计、UI设计等工作。
以上就是各专业的就业方向。当然,现实中不仅仅以上提到的就业/职业方向,还有更多的岗位可供选择,同学们要深思熟虑,谨慎选择!
近年来,我国的本科专业目录持续增加,2020年增加37个,2021年增加31个,2022年增加21个,截至目前,本科专业目录共计792个。当然这792个本科专业并不是都有招生,尤其是新开设的专业,只有少部分大学在招生。
作为高考新选择,“这些新增专业好不好?发展前景如何?要报这些新专业吗?”可能是很多家长的疑问。
从实际来看,报考新增专业确实存在一些顾虑,一方面,没有往年报考数据作为参考;另一方面,往往缺乏对专业培养方式、未来深造、就业等方面的了解,报考参考性较少。
建议各位同学家长在报考新增专业时:
①从个人兴趣和定位出发,充分考虑自身的学科能力、兴趣、特长等因素;
②可以参考院校的优势学科,如果新增专业与院校的办学特色相符合,那么新增专业也具有一定的优势;
③考生还可以参考整体专业的平均值,如已开设此类专业院校学生的发展情况等多方面综合考虑、慎重选择。

文章信息来源网络,如有侵权请联系删除

