搜索
首页
大数快讯
大数活动
服务超市
文章专题
出海平台
流量密码
出海蓝图
产业赛道
物流仓储
跨境支付
选品策略
实操手册
报告
跨企查
百科
导航
知识体系
工具箱
更多
找货源
跨境招聘
DeepSeek
首页
>
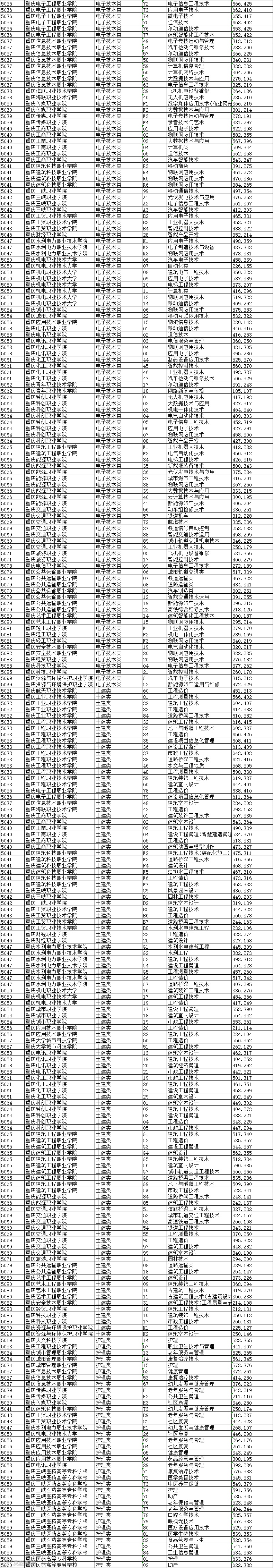
录取信息表 | 重庆市2020年高职分类考试招生录取信息表 高职对口专科批
>
0
0
录取信息表 | 重庆市2020年高职分类考试招生录取信息表 高职对口专科批
青云汇
2020-08-05
1
导读:高职对口专科批
批次:高职对口专科批 日期:2020-08-05
来源:
重庆
招考
【声明】内容源于网络
0
0
青云汇
为学生及家长提供生涯资讯、选科指导、志愿填报、生涯实践、专家咨询等服务的生涯教育综合服务平台。
内容
3171
粉丝
0
关注
在线咨询
青云汇
为学生及家长提供生涯资讯、选科指导、志愿填报、生涯实践、专家咨询等服务的生涯教育综合服务平台。
总阅读
74
粉丝
0
内容
3.2k
在线咨询
关注