已公示分数线:
特别提醒
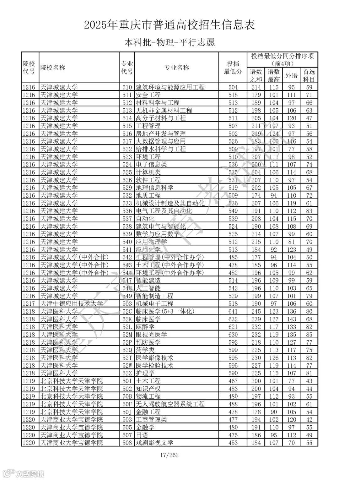
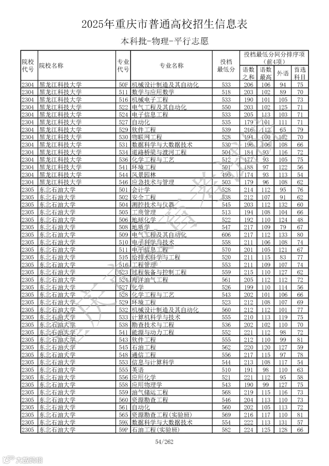
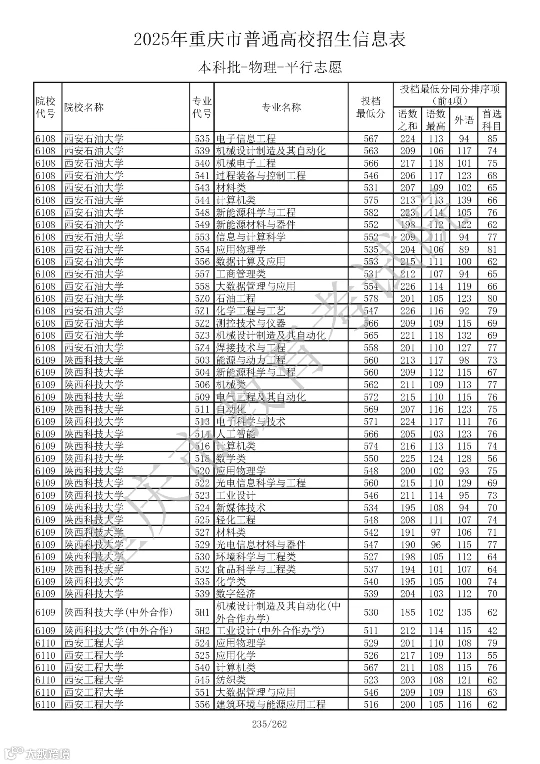
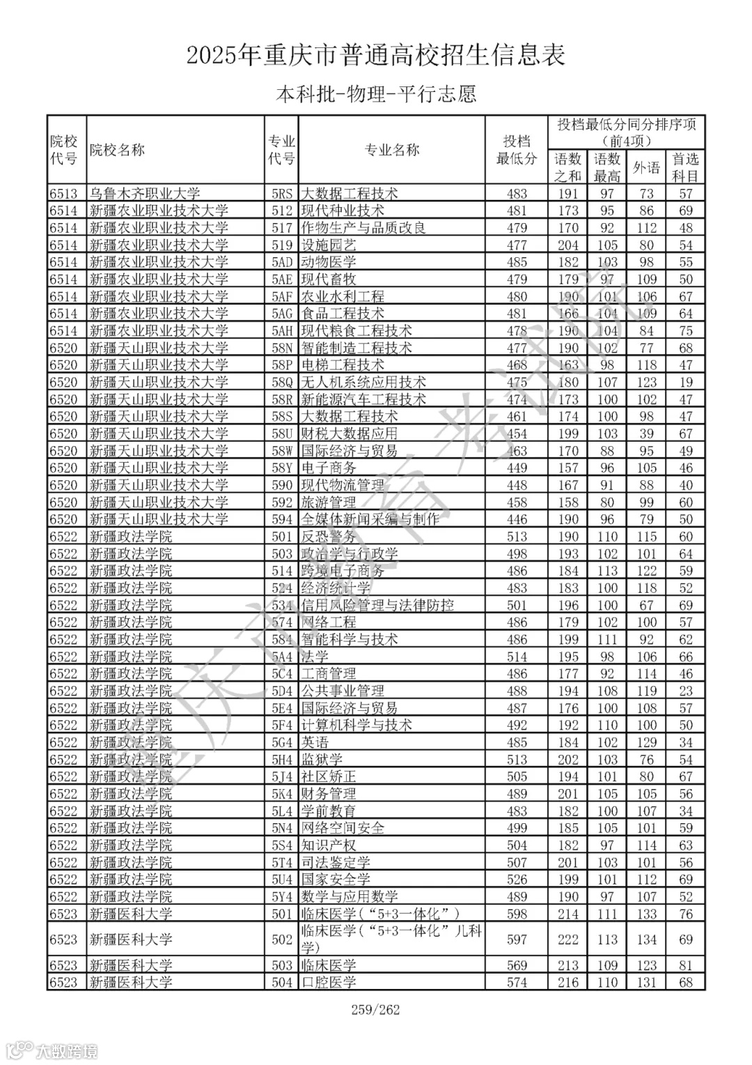
普通类本科批
物理类↓
6月27日-30日填报本科批(物理类)重庆考生投档信息↓↓
征集志愿时间安排表如下:
在重庆高校招生录取过程中,重庆市教育考试院和高校会向考生提供录取信息公开查询及申诉渠道,并按规定将有关录取结果向社会公示。考生和家长可以通本市招办和高等学校所提供的途径查询和确认本人的录取结果。
一般有以下几种途径查询:
(1)重庆市教育考试院和重庆招生信息网首页找到综合查询入口,凭考生号和高考报名时设置的密码查询录取轨迹;
(2)录取高校招生官方网站。
重庆考生可根据自己填报的
志愿批次录取时间段,
切换菜单栏,
到时间将会出现“录取轨迹”入口
↓↓↓
温馨提示:考生须在根据自己所填批次对应录取时间,找到查询录取轨迹入口,还没投档的考生无录取轨迹入口或显示“暂无录取信息”。(录取轨迹入口显示时间参考上文征集志愿时间表)
去年某考生录取轨迹查询结果如图:
青云汇特别提醒广大考生和家长:
1.高考进入录取阶段,考生和家长们一定要多加注意,及时通过重庆教育考试院的综合查询系统、高校官网考试信息网、了解录取相关信息,谨防上当受骗。
2.7月—8月期间,如果有关于高考录取的相关事项,可以致电信访电话:023-67869200咨询。
3.如果重庆考生在录取中需个性问题在线答疑的,扫下方二维码进群了解。


