与其在别处仰望,不如在这里并肩。青云汇升学交流群,关注高中升学途径、学业规划、大学区域择校策略、重庆政策解读、志愿填报等。

扫码进群获一诊成绩专家解读
一诊考试已经结束一段时间了,每次成绩公布总会有几家欢乐几家愁,但是没关系,今天我们给大家分享一诊成绩,扫码进群听专家讲座,了解怎样规划进入排名更靠前的大学,希望能帮助到正在迷茫中的你。
2022重庆高三一诊数数-重新划线进群问,物本科355历391
01
模拟划线(一)

各学科赋分等级区间表

区域:半数以上主城区学校、部分直属校及绝大部分区县学校。考生人数:约15.34万人。
02
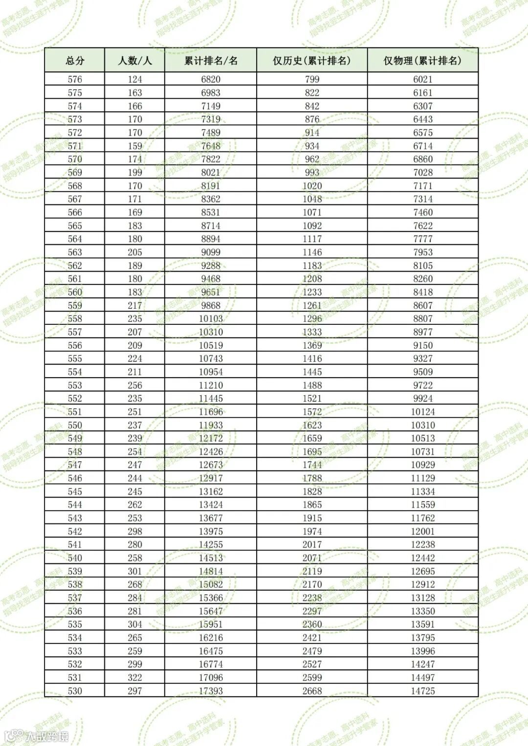
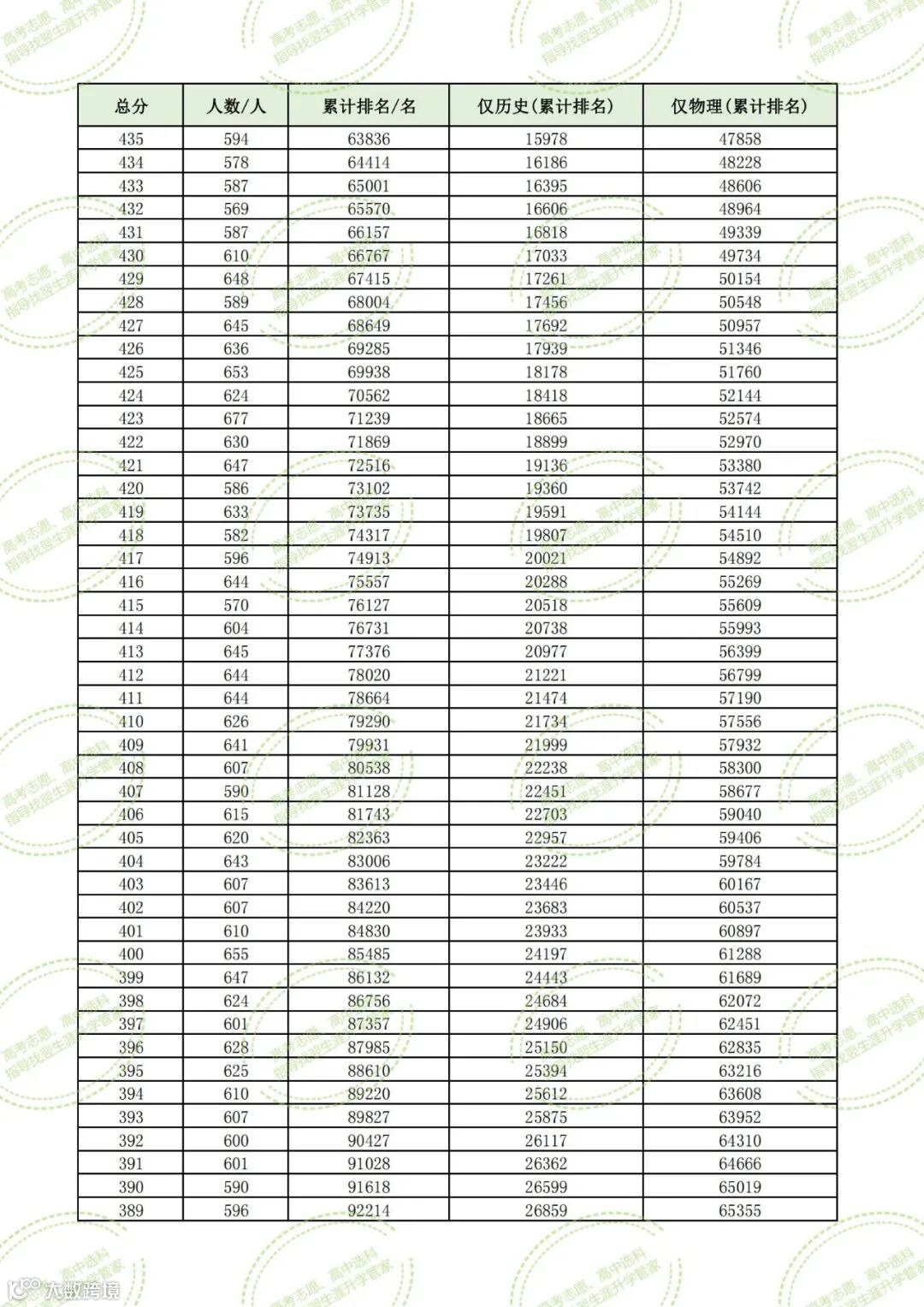
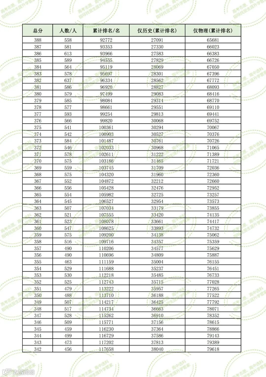
总成绩一分段表














数据来源:本无网络(康德教育)
一诊考后定位,搞懂志愿填报
1、志愿填报的基本原则和方法
2、看行业、晓就业、挑专业
3、模拟96个志愿填报全流程
4、一诊考试后、每位家长应该做什么
5、高考多路径升学
2022年1月25日
星期二 19:30—20:30
群内直播
立即扫码入群↓↓↓

活动时间
2022年1月25日—2022年1月27日
活动奖品
领取方式
入群听讲座,发朋友圈集赞即可领取
一诊活动专属福利
*福利具体内容和领取方式以群内发布为准


