| 特殊类分数 | 445 |
| 特殊类人数 | 32570 |
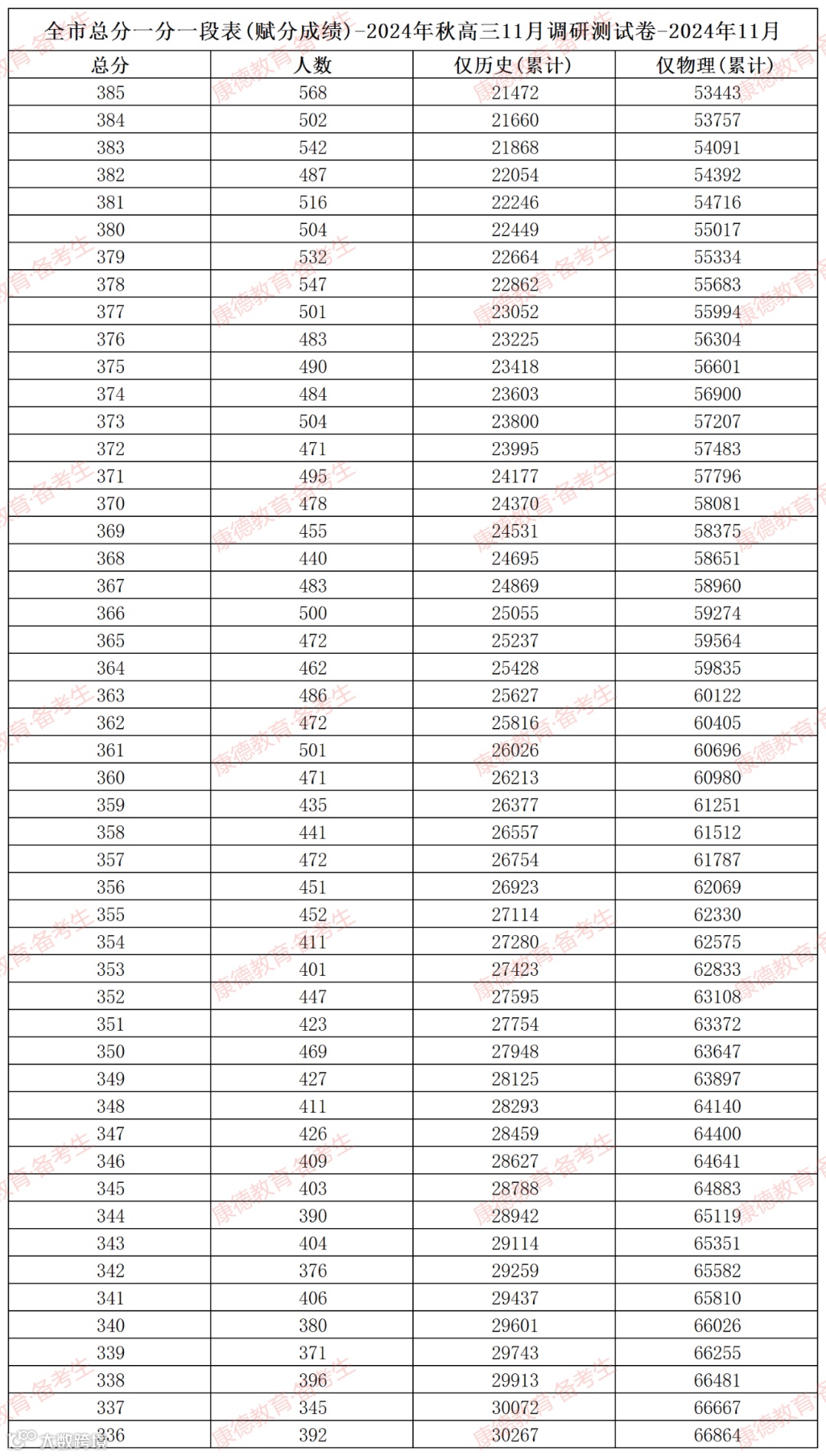
| 本科批分数 | 367 |
| 本科批人数 |
26390 |
| 本科批累计人数 | 58960 |
| 总分平均分 | 421.6 |
| 总分最高分 | 685.5 |
| 特殊类分数 | 457 |
| 特殊类人数 | 8634 |
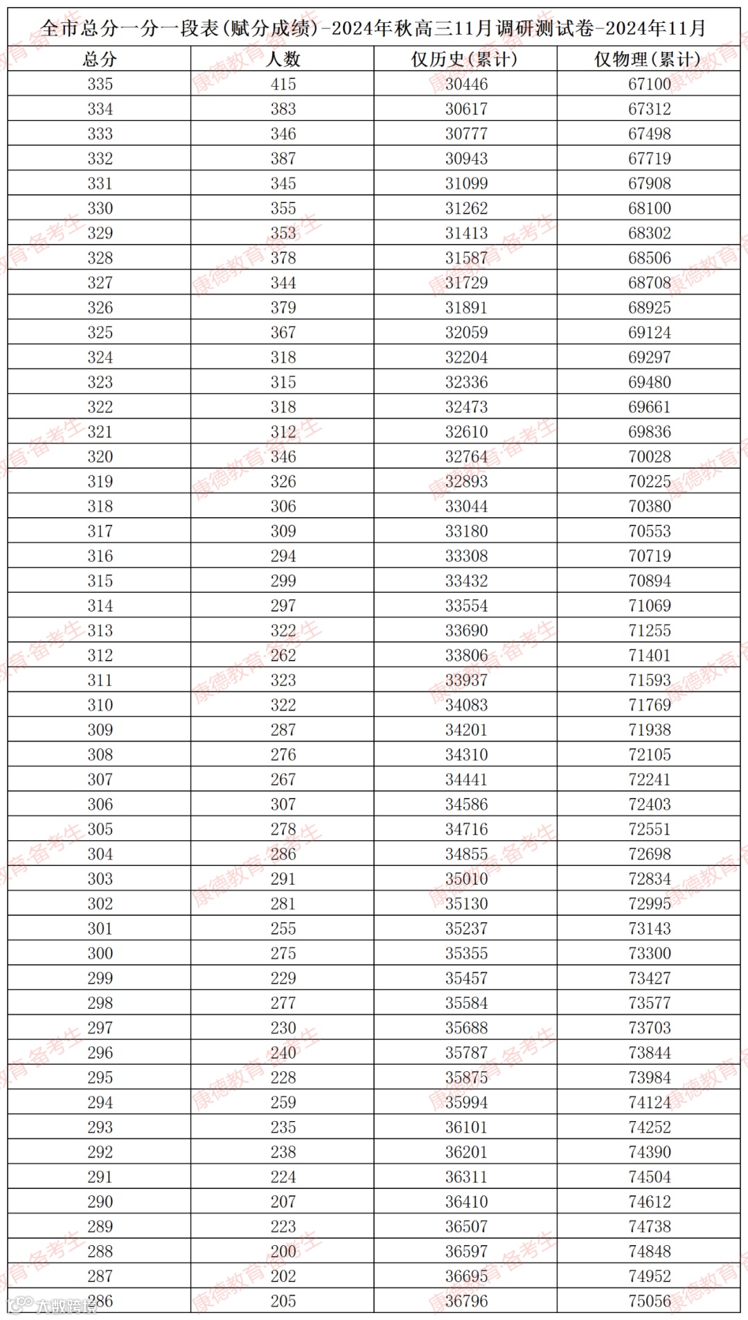
| 本科批分数 | 392 |
| 本科批人数 |
11478 |
| 本科批累计人数 |
20112 |
| 总分平均分 |
388.3 |
| 总分最高分 |
672.5 |




点击关注,才能及时收到推送哦

来源丨康德教育
青云汇| 特殊类分数 | 445 |
| 特殊类人数 | 32570 |
| 本科批分数 | 367 |
| 本科批人数 |
26390 |
| 本科批累计人数 | 58960 |
| 总分平均分 | 421.6 |
| 总分最高分 | 685.5 |
| 特殊类分数 | 457 |
| 特殊类人数 | 8634 |
| 本科批分数 | 392 |
| 本科批人数 |
11478 |
| 本科批累计人数 |
20112 |
| 总分平均分 |
388.3 |
| 总分最高分 |
672.5 |




点击关注,才能及时收到推送哦

来源丨康德教育