信息流通的当下,我们时不时能在各种新闻渠道上看到手机爆炸、小电驴起火、新能源电车自燃的相关报道,这时候,心头难免会升起一团迷雾,电池真的安全吗?这些爆炸自燃的真相又是什么呢?
其实,电池的发展相对已经成熟了,安全性问题倒也不必太过担忧。想想咱们平时常用的手机、笔记本等电子设备是不是都离不开它。


问题来了,纵然集万千优点于一身,但耐不住它性子火爆,偶尔会“炸”一下引起恐慌呀。况且,大多数电子产品电池用久了就一年不如一年,较大程度降低了用户体验感。
那么,限制缘起何处呢?福尔摩斯·小编上线。
常见的锂电池分为锂离子电池和锂金属电池两种类型。其四个重要部分组成—正极、负极、电解质、隔膜形成一个夹心汉堡的模型。



锂电池首次充电时,电极接触到电解质会发生瞬时反应生成固态电解质界面膜(SEI膜)[4] ,锂枝晶就是由高度活泼的锂原子在电极和SEI膜之间不规则电沉积而产生的锂晶体。
除了要先经过成膜阶段,和大多数有机物晶体一样,锂晶体的形成需经过成核和生长两个阶段:锂离子透过SEI膜并结合电子还原为锂沉积到电极表面上形成晶核;锂继续沉积在各晶核点上即形成多种形貌。其中,锂枝晶的尖锐尖端会穿破SEI膜,并进一步生长直至刺破隔膜,将电池的正极和负极材料相连从而导致电池内部短路爆炸。另外,有一些枝晶生长到一定程度会折断,产生“死锂”,从而造成锂的不可逆损失,使电池充放电的实际容量降低。
负极附近的微观锂离子流分布会极大影响锂晶体的沉积方式,从而形成不同形貌,如晶须状、苔藓状、树枝状,如下图所示。

(扫描电镜显微下锂枝晶的不同形貌:左为晶须状[5],中为苔藓状[6],右为树枝状[7]。)
锂枝晶容易在主体上分叉形成枝丫,所以通常报道的锂枝晶形貌往往存在前三种不同表现形式[8]。目前,这三种形貌在学术界还没有严格界定,并且可能存在一定联系。根据BAI's研究团队的观察,初始阶段的锂枝晶呈苔藓状,是由相互交织的晶须组成,生长部位在底部。随后,枝晶转变为树枝状,生长部位转为顶端[9]。

基于1901年sand提出的桑德时间τs概念(研究硫酸铜电极附近氢气的释放时,发现电极附近的Cu2+浓度降至零后产生氢气[10]),它被扩充至锂枝晶研究领域,形成两种理论模型。
充电过程中,锂离子向阳极移动并能不断得到阳极材料的补充,而阴离子不能,只能不断地从阳极到阴极被消耗殆尽。此时,阳极表面阴离子浓度的快速降低产生空间电荷,引起锂枝晶的成核与生长[11]。
电沉积过程中,锂金属负极附近的Li+被迅速消耗,直至τs内浓度降为零。下一时刻产生的强负电场会快速吸收大量锂沉积,引起枝晶的生长。τs即表示锂枝晶开始生成的时间。
结合这两种模型,Brissot和Chazalviel等人提出τs的理论计算公式[12a,b]:

式中,J为电流密度,D为扩散系数,μa和μc为阴离子和阳离子的迁移数,e为电荷常量,zc为阳离子电荷数,Cc0为初始阳离子浓度。
结合起来看,可通过调节相关参数来延缓枝晶初始生长时间,实现有效控制锂枝晶的形成,比如:减小电流密度,增大阳离子迁移数或减缓阴离子迁移或者固定它们(通过设计负极、电解质和SEI膜材料实现)。
第一点,金属的枝晶现象存在于多种金属的电沉积过程中,如铜、锌等。但有研究者发现金属镁电沉积过程中形成无枝晶形貌[9,13]。这是因为Mg-Mg的金属键强于Li-Li键,这意味着金属镁具有更高的表面能,更倾向于形成高维度的二维/三维结构而非一维的晶须结构。同时,锂原子的扩散能垒更高(Li为0.15 eV而Mg为0.02 eV[14]),低表面能和高扩散能垒容易诱导电沉积过程中枝晶的生长。
第二点,研究发现,Li在不同物质上的成核能垒不同(比如Au、Ag、Mg、Cu、C、Si等),若某物质在Li中具有一定的溶解性时,Li在该物质上成核表现出零能垒,该物质具有亲锂属性[15]。因此,Li在电极上均匀成核,实现无枝晶的电化学沉淀。因此,结合一二两点,或许可以考虑在负极材料中引入亲锂性物质,做成锂合金或锂-非金属复合物等。
第三点,温度直接影响着锂枝晶的形成。如下图所示,树突状锂晶体更容易在低温中形成。

这可能是因为,锂离子的迁移速率随温度的降低而降低,导致过电位显著增大以确保电场的形成来加速离子迁移,而传统概念上,过电位大小与晶核尺寸成反比,与晶核数量和密度成正比。因此,温度低,离子迁移速率又低,则容易生成大量小尺寸晶核并在空间上堆积形成枝晶;而温度越高,离子迁移速率又高,则更容易生成均匀致密的沉积层。基于此点呢,可以考虑调节锂电池的自加热系统,设计加热到合适较高温度(比如60 ℃)再激活电池的正常工作。

(成核过电位、实验传质过电位和模拟传质过电位随温度的变化。)

然而,需特别强调,温度并非越高越好。在电池充放电过程中,特别是在某些市场需求的高电流密度的情况下,由于电池材料和结构有限,使得产生的大量热量无法及时消散,导致电池局部内部温度的升高,这种情况也容易造成枝晶的形成。这可能是因为随局部点温度升高,该处的锂沉积速率急剧上升,且显著高于周围较低温度处的锂沉积速率,锂晶体快速生长形成枝晶,引起热失控和电池短路[18]。
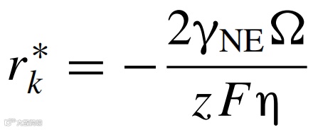
还记得冰晶故事中水的均相/异相成核吗?在锂电沉积的过程中,锂离子需要获取电子还原为锂才沉积到负极表面,且锂电池电极是由粉体颗粒组成的涂层,表面并非光滑(粗糙有助于增加活化面积,提升反应速率),因此被认为是异相成核的过程[19]。较均相成核的成核势垒降低,只是整个反应的吉布斯自由能多了电化学的贡献部分。

只有大于r*k的晶核才会稳定生长直至最终枝晶形貌的形成,否则将会走向消融。
应力,即物体应外力变形,物体内各部分则会产生内力去抵抗外力作用使自己恢复原形。锂枝晶生长与电池内的应力密切相关。应力有内外两种应力,前者是锂电沉积过程中因体积变化和沉积速率不均匀引起的锂金属之间的内应力,后者是相邻固体界面体积变化等产生的外压应力[20]。
SEI膜的形成发生在初始阶段,除了导通锂离子阻隔电子外,还有一个目的就是为了保护活泼电极材料。不断沉积聚集的锂就像是被密封了一层塑料膜,它想冲破这层膜回到原来活泼反应的状态,于是不断在体内积累应力直到达到阈值,破坏SEI膜释放压力。后续的锂金属沉积在冲破处触发,形成晶须,并逐渐发展为树枝状[21]。
Yamaki’s研究团队发现,锂沉积点可能是SEI膜上具有较高锂离子电导率对应的点。因此,若SEI膜不均匀则会导致锂不均匀沉积,致使这部分SEI膜容易被破坏[22]。Selis’s研究团队则发现SEI膜裂纹会诱导锂枝晶的形成[23]。
想要减小内应力的作用,可以考虑改善SEI膜性质。可通过研发人工SEI膜,或者改善电解质性质来得到更均匀、机械性能、柔韧性更好的SEI膜。
不妨猜一猜,对纽扣式电池和软包电池施加一定外压哪一种能改善电池性能?清华大学张强教授给出我们答案:是软包电池[24]。
实验首先以Li|Cu软包电池为例,发现,施加外力的锂负极表面更均匀致密,电池循环寿命有所延长。这说明,在无外压的情况下,低模量电池内部体积变化产生的压力不足以抑制锂枝晶的生长。

(无/有外力情况下Li|Cu软包电池中Li电镀情况的扫描电镜显微图。)
但物极必反的道理在哪儿都是适用的。若施加外压过大,电池内部体积变化过大,聚集起来的锂发生断裂,形成死锂,降低电池的库伦效率;影响了电沉积反应的进行,不利于电池的充放电速率性能。
同时,他们在固定外压的条件下研究电解质弹性模量影响发现,在较低弹性模量下,外压对锂枝晶生长的抑制更明显。他们并提供了外压和电解质模量影响的综合相图,以此可对选择电池的合适电解质和外压起一定指导作用。

(基于施加的外部压力和0.4 mA·h·cm−2电池容量下电解质弹性模量的相图:白色区域表示锂金属负极性能增强,而灰色部分表示外部压力不起作用,Us表示电压源。)
2019年的诺贝尔化学奖颁给了锂离子电池的研究,足以见锂电池对我们人类至关重要。直到现在,获奖者其中之一—97岁高龄的Goodenough老爷子仍然奋战在一线,他现在将目光转移到固体电解质上,希望在防止锂枝晶穿刺和提高离子传导率等性质中找到一个平衡,实现新的突破。
引用老爷子的一句名言作为结尾:我们有些人就像是乌龟,走得慢,一路挣扎,到了而立之年还找不到出路。但乌龟知道,他必须走下去。让我们期待负极锂电池重拾辉煌的那天吧!
[1] 陈志辉. 锂金属负极表面电沉积及枝晶生长抑制研究[D].南京航空航天大学, 2019.
[2] Hou Z, Yu Y, Wang W, et al. ACS Appl. Mater. 2019, 11, 8148.
[3] Whittingham M S. Science, 1975, 192, 1226.
[4] Chen X, Zhang R, Zhao C, et al. Chem. Rev. 2018, 30, 1800561.
[5] Sano H, Kitta M, Matsumoto H J. Electrochem. Soc. 2016, 163, D3076.
[6] Tang C Y, Dillon S J. J. Electrochem. Soc. 2016, 163, A1660.
[7] Chianelli R R. J. Crystal Growth, 1976, 34, 239.
[8] Yamaki J, Tobishima S, Hayashi K, et al. J. Power Sources, 1998, 74, 219.
[9] Bai P, Li J, Brushett F R, et al. Energy Environ. Sci. 2016, 9, 3221.
[10] Sand H J S. Philos. Mag. 1956, 1, 45.
[11] Chazalviel J N. Phys. Rev. A, 1990, 42, 7355.
[12] (a): Brissot C, Rosso M, Chazalviel J N, et al. J. Power Sources, 1999, 81, 925;(b): Rosso M, Brissot C, Teyssot A, et al. Electrochim. Acta, 2006, 51, 5334.
[13] Brissot C, Rosso M, Chazalviel J N, et al. Energy Environ. Sci. 1998, 43, 1569.
[14] Wang R, Yu J, Tang J, et al. Energy Stor. Mater. 2020, 32, 178.
[15] Yan K, Lu Z, Lee H W, et al. Nat. Energy, 2016, 1, 1.
[16] Aryanfar A, Brooks D J, Colussi A J, et al. Phys. Chem. Chem. Phys. 2015, 17, 8000.
[17] Yan K, Wang J, Zhao S, et al. Angew. Chem. Int. Ed. Engl. 2019, 58, 11364.
[18] Gao X, Zhou Y, Han D, et al. Joule, 2020, 4, 1864.
[19] David R E, García R E. J. Electrochem. Soc. 2013, 160, A662.
[20] 丰闪闪,刘晓斌,郭石麟,何兵兵,高振国,陈明洋,龚俊波.锂枝晶的成核、生长与抑制[J].化工学报,2022,73, 97.
[21] Kushima A, So K P, Su C, et al. Nat. Energy, 2017, 32, 271.
[22] Yamaki J I, Tobishima S I, Hayashi K, et al. J. Power Sources, 1998, 74, 219.
[23] Selis L A, Seminario J M. RSC Adv. 2019, 9, 27835.
[24] Yan C, Jiang L, Yao Y, et al. Angew. Chem. 2021, 60, 8521.
苏州晶云药物科技股份有限公司创立于2010年,致力于建立全球领先的晶型研发,制剂开发和生产服务平台,帮助创新药公司加速从临床前候选化合物到上市药物的转化。晶云药物总部位于苏州工业园区生物医药产业园,在美国新泽西州和加拿大多伦多设有分部。
晶云药物以药物晶型研究为核心纵深发展,在新药CMC领域,致力于帮助全球制药公司研发高质量的新药,加速新药研发进程,提早在中美等地区提交新药申请并上市。晶云团队凭借专业高质的服务和快速高效的响应,已与全球超过800家制药企业建立合作,为超过1,500个新药化合物提供了药物晶型研发的专业技术解决方案。
作为全球制药企业国际化及创新药研发的可靠合作伙伴,晶云将一如既往地秉承极致和创新的精神、质量和时间优先、与客户共赢合作共同发展的理念,力求为越来越多的制药公司提供优质高效的药物固态研发,制剂开发和生产解决方案,帮助其降低临床开发风险,缩短研发周期,提高药物申报通过率并建立全面的专利保护壁垒。
联系我们
电话:18934597529;18934597531
邮箱:collaboration@crystalpharmatech.com


