
本文献通过研究实验数据表明,基于COSMO-RS模型的共晶预测具有相对更高的预测准度,在药物开发(特别是盐/共晶药物的开发)中具有更大的应用潜力。
为了更好地助力药物研发,晶云已将基于COSMO-RS原理的COSMOlogic软件预测与实验研究进行有机结合,投入到盐和共晶药物的筛选与开发中,以更为高效、精准地筛选出适合开发的药物分子的优势盐型或共晶。
原文链接
https://pubs.acs.org/doi/abs/10.1021/acs.cgd.3c00683
氯氮平(Clozapine, CLZ, Figure 1)作为一种非典型抗精神分裂症药物,它在缓解耐药性精神分裂症患者的阳性和阴性症状方面均表现出良好的疗效。本品于1958年首次合成,并于1972年以结晶型游离态开始上市,其中CLZ以中性分子存在于晶体结构中,结构中没有分子间氢键作用,因而水溶性较差,属于BCS II类药物。现阶段一些研究尝试通过成盐的方法来改善其溶解度,如二溴盐、马来酸盐等等,同时也发现通过与柠檬酸、草酸、酒石酸等配体成共晶的方法也能有效提高其溶解度。

Figure 1. Structure of clozapine
近年来,随着越来越多的共晶药物上市,人们对其关注度也水涨船高,特别是最近备受关注的LCZ696药物仿制药的获批上市更是掀起了人们对于药物共晶的研究热潮。从药物开发的维度,经过合理设计的药物共晶能够有效改善难成盐药物的溶解度、稳定性、引湿性和溶出速率等多种关键理化性质,提高药物的生物利用度,同时也有改善药物的机械性能、掩味等作用;从专利价值维度,药物共晶设计能从延长专利保护期,或规避原研专利实现提早上市的层面提供潜在的商业价值。
基于经验而言,一般认为API分子与配体分子的ΔpKa>3,则两者更容易形成盐,若两者之间的ΔpKa<3,则可能会形成这种非离子型的共晶。共晶晶格内的共晶组分间作用力非离子键,而为更弱的分子间作用力,比如氢键、范德华力等等。相对于成盐来说,成共晶往往更加困难,传统的共晶筛选往往消耗了大量的人力物力及时间成本却结果不可控。那么,在固态研究这一个板块,是否也可以参考AI在前端药物筛选的应用,通过应用计算机理论计算、建模等方式,来帮助研究人员在早期阶段即可获取准确的预测数据,指导后期的筛选试验设置,进而提高筛选成功率?
现阶段研究中,确实已经开发了一些基于理论或计算模拟预测方法来帮助开展后续共晶筛选试验。本研究中,天大的陈巍课题组和武大的张春桃课题组应用了氢键基序(Hydrogen bonded motifs)、真实溶剂似导体屏蔽模型(COSMO-RS),分子互补分析(MC)和汉森溶解度参数(HSP)等四种预测方法对潜在共晶配体进行了虚拟筛选,同步结合晶体工程方法对46个配体进行了筛选实验验证,获得了8个新的氯氮平盐,不同程度上改善了CLZ的溶解度,并进一步通过晶体结构解析及表面性质分析揭示了CLZ晶体结构性质以及晶体中各组分的相互作用 (Figure 2)。

Figure 2. Crystals of clozapine with improved solubility: A Combined theoretical and experimental strategy on coformer screening and structure−property.
氢键基序(Hydrogen bonded motifs)-分析
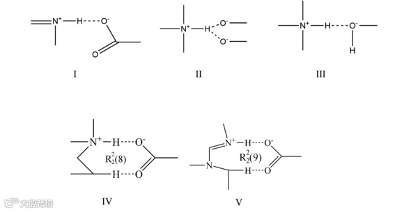
已有研究表明,氢键在有机固体分子中发挥着重要作用。它可以限制结构中单体的取向,影响内部分子排列顺序,从而控制形成的晶体结构的形态、热力学和适应性等性质。比如22年复旦大学的李鹏课题组合成了一种高化学和热稳定性的氢键有机骨架材料(Hyrogen-bonded organic frameworks),通过HOF本身灵活可逆的氢键链接赋予其结晶度高、自修复性、纯化简易等多种性质。研究者从晶体工程的角度分析了CLZ的晶体结构,发现CLZ中最有用的氢键基团为与甲基相连的氨基和七元氮杂环上的两个氨基,可与羧基化合物形成氢键基序 (Figure 3)。因此, CLZ与含有羧基或羟基的配体,如MA、OXA、FA、SUA和CA等更易成盐和共晶,以此初步框定了配体选择范围。

Figure 3. Five possible hydrogen-bonded supramolecular synthons for CLZ.
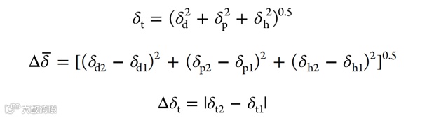
汉森溶解度参数 (HSP)-预测
HSP通常用于分析固体分子水平上的混溶性来预测共晶形成的可能性,具体体现为三种贡献—δd (色散),δp (极性)和δh (氢键):

当Δδ-≤5 MPa2时,两物质存在良好的混溶性;当Δδ <7 MPa2时,共结晶发生;而当Δδ ≥ 7 MPa2时,两物质不混溶,共晶形成的可能性降低。
分子互补分析(MC)-预测
MC是以“紧密堆积原理”的角度衍生的共晶预测工具,侧重于通过CSD中分子形状几何 统计相关性来分析分子相似性(or分子互补性)。形状和极性相似的分子倾向于形成共晶,基于定量结构计算使用了5个与形状(S轴、S/L轴和M/L轴与之相关)和极性(氮氧分数和偶极矩与之相关)相关描述符来评估分析分子互补性。在输出结果中,100%的命中率表示预测结果为共晶形成,而0%的命中率表明预测结果为无共晶形成。
真实溶剂似导体屏蔽模型(COSMO-RS)-预测
COSMO-RS理论结合了统计热力学方法和通过量子化学计算获得的局部相互作用分子描述符的静电理论。在不考虑晶体的长程相互作用的情况下,API共晶混合物被认为是共晶组分的虚拟过冷液体,其相对于纯组分的混合焓的过量焓值Hex被用作共晶形成倾向的描述符。Hex值越负,化合物形成共晶的可能性越大。
其中,纯组分API为A,纯组分共晶配体为B,A和B以m/n的比例混合,形成过冷共晶液体AmBn。在摩尔分为Xm和Xn时,Hpure和HAB代表纯参考态和m/m混合物中的摩尔焓。根据计算结果,用API和共晶体计算出的过量焓能很好地估计出共晶形成倾向。
结合XPRD数据,发现46组湿法研磨实验总共得到了24种新的固态形式。在此次虚拟共晶筛选实验中,以Δδ <7 MPa2、Hex <-1.83 kcal/mol和MC rate =100%来作为本研究中判断共晶是否形成的标准 (Figure 4)。
1)HSP:在所有Δδ <7 MPa2的23组预测实验中,总共真实有12个配体与CLZ形成了共晶,筛选成功率约为52.2%;
2)COSMO-RS:在所有Hex <-1.83 kcal/mol的17组预测实验中,总共真实有14个配体与CLZ形成了共晶,筛选成功率约为82.4%;
3)MC:在所有MC rate =100%的27组预测实验中,总共真实有15个配体与CLZ形成了共晶,筛选成功率约为55.6%。

Figure 4. Predict results of HSP, COSMO-RS, and MC.
由此可见,HSP方法低估了共晶形成区域,MC方法筛选成功率略高于HSP,而COSMO-RS方法的成共晶区域预测精确度最高,运用此种预测方法能够有效地筛选出能与CLZ形成共晶的潜在配体,将会大大提高实际筛选试验阶段的成功率,降低此过程所耗费的时间、人力和物力成本。
为了进一步阐释CLZ新固态形式的晶体结构,研究者同步培养了添加了酸配体的单晶样品,并从不同层面进行数据分析。
据FTIR结果显示,CLZ特征峰的位移、强度和形状上不同程度的变化表明新固态形式的形成(Figure 5)。

Figure 5. FTIR spectrograms of the CLZ, coformers and new salts.
进一步对比图谱发现,CLZ-SUA, CLZ-FA2, CLA-FA1和CLZ-OXA3中游离羧酸的羰基吸收峰消失(Figure 6),这说明质子从酸性配体向CLZ转移,N1是此过程中唯一质子转移的位点;而另外四种配体对应的新晶体羰基吸收峰仍保留,但峰略有偏移。结合单晶数据中显示所有组分的N1-H键参数是一致的,说明在CLZ-CA, CLZ-OXA2, CLA-OXA1和CLZ-MA中可能发生了部分羧基质子转移,以碳酸离子形式成盐,其他的羧基仍保持游离酸状态。总的FTIR光谱结果表明,CLZ-SUA, CLZ-FA2, CLA-FA1和CLZ-OXA3为盐。

Figure 6. FTIR spectra for CLZ salts.
研究者进一步用单晶x射线衍射对8种晶体的结构进行具体解析。对新形成的八种新多组分晶体的C-O键长分布数据分析处理发现,酸配体的羧基基团的C-O键长差异(ΔDC-O)很小(Table 1),结合FTIR分析数据,这些单晶数据支持了8个多组分晶体均以盐的形式存在的结论。

Table 1. Distribution of C−O bond lengths for eight new multicomponent crystals.
为了可视化这些晶体中分子间的相互作用力,研究者使用CrystalExplorer 17.5模拟了晶体赫希菲尔德表面(3D可视化图形)。红色区域表示由于短距离原子间接触而导致的高电子密度;蓝色区域表示低电子密度和长距离接触;白色区域代表中等电子密度,接触距离在范德华半径。从这些图中可知,CLZ的氮原子作为氢键位点,因此在其周围出现了红色区域 (Figure 7)。

Figure 7. Hirshfeld surfaces of CLZ in eight salt crystals: (a) CLZMA, (b) CLZ-OXA 1, (c) CLZ-OXA 2, (d) CLZ-OXA 3, (e) CLZFA 1, (f) CLZ-FA 2, (g) CLZ-SUA, and (h) CLZ-CA.
通过绘制其二维指纹图谱进一步获得晶体中不同分子间作用力的百分比,如下图所示 (Figure 8)。

Figure 8. Top: 2D fingerprint plots for CLZ in 2 salt crystals about different features characteristic of some key intermolecular contacts, a) CLZ-MA, b) CLZ-OXA 1;Bottom: percentage contributions to the Hirshfeld surface for some various intermolecular contacts of 8 salt crystals, a) CLZ-MA, b) CLZ-OXA 1, c) CLZ-OXA 2, d) CLZ-OXA 3, e) CLZ-FA 1, f) CLZ-FA 2, g) CLZ-SUA, h) CLZ-CA.
A. 引湿性评估:通过动态水分吸附试验,发现较其他新形成的盐型晶体而言,CLZ本身无引湿性,但因本身富含羧基等极性基团的配体加入而导致对应的盐的引湿性有不同程度的增加。
B. 溶解度评估:测试CLZ游离态和不同盐在25 oC下水中的溶解度发现,通过成盐的方式是CLZ溶解度显著提升,除CLZ-FA1外,其余盐型在溶解度上有100~9000倍的提升 (Table 2)。究其原因,CLZ-FA1在其主晶体表面只有一个氨基,没有羟基和羧基等其他亲水基团;而CLZ-CA表面暴露出多个亲水基团,对应于良好的溶解度和较高的引湿性。
Table 2. Solubility of CLZ and eight multicomponent crystals in water at 298.15 K material CLZ solub.
C. 稳定性评估:在加速条件下(40 oC/75% RH)监测了8种盐的稳定性,结果显示CLZ-MA、CLZ-FA1、CLZ-OXA3和CLZ-SUA在测试期间内(3个月)晶型稳定,CLZ-FA2、CLZ-OXA1、CLZ-OXA2和CLZ-CA发生转晶。结合DVS和溶解度数据,推测如果晶体表面有更多的亲水基团暴露(如OXA、FA和CA),它们与水分子形成更强的氢键将会导致晶型转变。另一方面也可能是氢键能较小,内外力导致晶体分子间相互作用的不同排列和堆积 (Figure 9)

Figure 9. PXRD patterns of CLZ and 8 salts before and after solubility experiments (SE), the detailed meaning of each curve is explained by the label.
研究者基于量子化学原理,对CLZ盐的晶体结构进行AIM分析和MEP分析,以此来解释DVS、溶解度和稳定性测试中的不同情况。从氢键强度层面(AIM分析)最强的氢键能(EH)MAX排序如下表所示 (Table 3),和前面的评估试验结果一致,CLZ-CA的氢键能(EH)MAX最弱,对应稳定性差、吸水性强,水中溶解度高。因此对于新形成的盐,溶解度虽有提升,但需注意防潮以及稳定性较差的风险。

Table 3. The strongest hydrogen bonding values in multicomponent crystals (𝐸𝐻)𝑀𝐴𝑋 (kJ/mol).
通过MEP分析,发现每个酸配体的局部最大MEPs值足够大,以至于当其与CLZ接触时,足以完成它们的质子转移并最终形成盐。(Figure 10)。

Figure 10. Surface maps of molecular electrostatic potential of CLZ and coformers (the unit of electrostatic potential value is kcal/mol).
总的来说,这是一篇非常“丰满”、扎实的工作。研究者从前期的预测、试验实施验证,再到“堪称完美”的一整套结构解析、量子力学分析方法的理论支撑,从多个角度阐述了CLZ游离态及其盐晶体的结构及其对物质性质的影响,例如稳定性、溶解度等等。并以实验验证了基于COSMO-RS理论的预测方法的高精准度,对于方法更多的其他应用具有一定的参考意义。
晶云药物就拥有这样一套用于共晶筛选预测的成熟体系来助力药物高效研发—COSMOlogic(详见推文引用——晶云快讯 COSMOlogic投入使用),它是基于COSMO-RS和量子力学预测任意组分混合溶液的热力学性质,包括:过剩焓、溶解度、分配系数、pKa、活度系数、蒸气压等。除了文章开头所提到的为人工筛选提供指导,提高共晶筛选效率外,COSMOlogic还可以进一步通过预测溶解度来指导结晶工艺中溶剂的选择,找到合适的最优溶剂并尽可能避免生成溶剂合物,辅助研发人员进行API提纯等,为结晶工艺开发提出更多可行性建议。
晶云药物研发团队在共晶筛选、结晶工艺开发、化合物固态性质研究方面已积累了多年实践经验,助力超过2000个化合物分子、全球超1000家企业的药物研发工作。伴随着COSMOlogic的投入使用,虚拟与实践的结合,晶云也已为多个化合物提供了更加优质高效的药物晶型研发技术方案,希望未来能与全球合作伙伴展开更多相关合作与交流。
参考文献
CRO事业部 - 专注药物晶型研发服务
18934597532 / 18934597535
collaboration@crystalpharmatech.com
关于晶云药物
晶云药物是国内首批专注于药物晶型研究服务的技术驱动的创新型企业,致力于为您的小分子提供量身定制的晶型和制剂方案。
在过去的12年里,凭借创新技术和扎实的科学能力,晶云药物为全球1000多家制药企业超过2000个新药化合物提供了晶型研究、制剂研发及生产服务:
• 在中国排名前20的创新药企业里,有19家选择晶云药物的晶型研究服务。
• 在全球排名前10的制药企业里,有8家是晶云药物的客户。
晶云药物为小分子新药客户提供晶型+制剂“First-Time-Right”的解决方案,针对每一个药物分子,量身定制其最优晶型和最佳制剂策略和配方,从而最大限度地帮助客户提升其新药分子在同类靶点和疾病领域的竞争力,最大化实现其商业价值。
我们期待成为您的合作伙伴,帮助您加速新药研发,一起创造一个更加健康的世界。
http://www.crystalpharmatech.com.cn
contact@crystalpharmatech.com

