
来源:深圳梦综合自深圳特区报、广东统计信息网、广东统计、艾媒网
版权申明:内容来源网络,版权归原创者所有。除非无法确认,我们都会标明作者及出处,如有侵权烦请告知我们,我们会立即删除并表示歉意。谢谢!
近日,广东省统计局公布2019年上半年广东经济运行情况和2019年2季度广东各市生产总值,其中,深圳市2019年上半年完成的地区生产总值(GDP)达到了12133.92亿元,增长7.4%。
陈如桂向市人大常委会报告上半年经济发展情况
共同努力把深圳建设得更加美好
7月25日上午,深圳市人大常委会召开上半年经济发展情况报告会。市长陈如桂在会上通报了我市上半年经济发展情况,市人大常委会主任骆文智主持会议。部分市人大常委会组成人员,部分在深的全国、省、市人大代表等参加会议。

陈如桂表示,今年上半年,全市上下认真落实习近平总书记对广东重要讲话和对深圳重要批示指示精神,在省委省政府和市委的坚强领导下,认真落实市委“1+10+10”工作部署,坚持稳中求进工作总基调,落实高质量发展要求,统筹推进稳增长、促改革、调结构、惠民生、防风险等各项工作,实现了经济运行总体平稳,经济增长好于预期,实体经济稳健发展,经济风险总体可控,经济机构不断优化,质量效益持续提升。全市政府系统结合“不忘初心、牢记使命”主题教育,牢记全心全意为人民服务的根本宗旨,按计划推进年初确定的40项民生实事工作,不断提高教育质量和医疗服务水平,努力让市民群众有更多的获得感、幸福感、安全感。希望各位人大代表多提宝贵意见,加强监督,共同努力把深圳这座城市建设得更加安全有序、智慧便利、环境优美、回归自然、充满活力,更加美好。
骆文智充分肯定今年上半年取得的成绩并指出,在市委的坚强领导下,加强对当前经济发展形势的研判,加大科技创新的力度,不断优化营商环境,助力企业高质量发展,进一步提升民生幸福水平,不断满足市民群众日益增长的美好生活需要。
熊建明、张弦、林慧、刘宝瑞等人大代表在会上发言时表示,面对复杂严峻的外部形势,深圳经济实现了平稳健康发展,向高质量发展又迈出了坚实步伐,成绩来之不易,前景催人奋进,对于更加美好的明天充满信心。
市人大常委会领导罗莉、蒋宇扬、乔家华、贺海涛、张文、石岗,市政府秘书长曾湃参加活动。
深圳2019年上半年GDP达到12133.92亿元
2019年2季度广东各市生产总值发布

数据,
分地区来看,深圳、广州两市的经济总量继续领跑全省。其中,深圳市2019年上半年完成的地区生产总值(GDP)达到了12133.92亿元,增长7.4%,总量和增速均位居第一。
广州市也表现亮眼,上半年GDP达到11755.54亿元,增长7.1%。广深两市的GDP总量合计约为2.39万亿元,约占全省的47.3%。
NO.1 深圳 地区生产总值:12133.92亿元
NO.2 广州 地区生产总值:11755.54亿元
NO.3 佛山 地区生产总值:4795.17亿元
NO.4 东莞 地区生产总值:4215.93亿元
NO.5 惠州 地区生产总值:2089.17亿元
另外,广东全省21个城市,GDP总量超1000亿元的城市共11个,除了以上五个城市外,还包括中山、茂名、珠海、湛江、江门、汕头。而河源、汕尾、云浮三个城市的GDP总量均在500亿元以下,在全省排名靠后。
而在GDP名义增速方面,2019上半年,广东全省21个城市中,珠海、广州、深圳、东莞、河源增速位居全省前五名,增速分别为14.15%、10.35%、10.21%、8.98%、8.68%。其中,珠海、广州、深圳3个城市的GDP名义增速在10%以上,经济发展实现稳中增长。

2019年上半年广东经济运行总体平稳
GDP突破5万亿元,增长6.5%
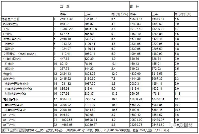
初步核算并经国家统计局核定,上半年,广东实现地区生产总值突破5万亿元,达到50501.17亿元,按可比价格增长6.5%,位于年度目标区间上限。分产业看,第一产业增加值1689.42亿元,同比增长3.6%;第二产业增加值20521.99亿元,增长4.9%;第三产业增加值28289.76亿元,增长8.0%。


2019年2季度广东省生产总值

一、农业生产稳中向好
上半年,广东春(夏)收粮食产量63.64万吨,下降0.3%;蔬菜产量1746.41万吨,增长5.6%;水果产量624.77万吨,增长3.1%;猪肉产量130.72万吨,下降5.3%,禽肉产量71.28万吨,增长7.0%;水产品产量386.33万吨,增长4.8%。
二、工业生产缓中趋稳
上半年,广东规模以上工业增加值同比增长4.8%,增幅与1-5月持平。从经济类型看,民营工业增长7.5%。从支柱行业看,计算机、通信和其他电子设备制造业增长8.9%、电气机械和器材制造业增长7.7%。中高端的工业行业发展较快,上半年,先进制造业增加值同比增长5.8%,占规模以上工业的56.5%,比上年同期提高0.8个百分点;高技术制造业增加值增长8.7%,占规模以上工业的31.6%,比上年同期提高1.5个百分点。部分工业新产品产量增长较快,3D打印设备增长334.5%、新能源汽车增长184.2%、移动通信基站设备增长128.4%、液晶显示屏增长30.8%、智能电视增长11.5%。
三、服务业发挥“稳定器”作用
上半年,广东服务业增加值增速对地区生产总值增长的贡献率达到65.2%。金融业稳中有升,6月末,金融机构本外币存款余额增长11.9%,是近17个月以来的最高增速,贷款余额增长16.2%;保费收入增长21.2%。房地产市场趋稳,上半年商品房销售面积降幅比一季度收窄3.2个百分点。营利性服务业发展质量较高,1-5月营业收入同比增长15.9%;其中,软件和信息技术服务业增长21.3%、互联网和其他服务业增长19.2%。
四、市场销售稳中有升
上半年,广东社会消费品零售总额20680.41亿元,同比增长7.7%,增幅比一季度提高0.8个百分点。6月,社会消费品零售总额增速比上月加快2.9个百分点。按经营单位所在地分,城镇消费品零售额增长7.4%;乡村消费品零售额增长9.2%。按消费类型分,餐饮收入增长9.0%;商品零售增长7.5%。消费升级类商品销售增长较快,上半年,限额以上单位文化办公用品类和通讯器材类商品同比分别增长10.9%和14.8%,增速分别快于社会消费品零售总额3.2个和7.1个百分点。
五、投资保持平稳增长
上半年,广东固定资产投资同比增长10.5%,高于年度目标1.5个百分点。基础设施投资同比增长24.3%;其中,电力、燃气及水的生产及供应业增长26.0%,铁路运输业投资恢复性增长17.7%,水利、环境和公共设施管理业增长34.2%。教育医疗等民生投资快速发展,上半年,教育业投资增长37.0%;卫生和社会工作投资增长40.8%,粤东西北地区共有17家医院的整体搬迁、易地扩建项目完成投资超过1亿元。
六、进出口增速回升
上半年,广东货物进出口总额32806.8亿元,同比增长1.3%,增幅比一季度提高2.3个百分点。其中,出口19792.9亿元,增长3.9%;进口13013.9亿元,下降2.5%。贸易方式结构进一步优化,一般贸易进出口增长4.5%,占进出口总额的比重为50.2%,比上年同期提高1.5个百分点。6月份,进出口总额5730.0亿元,同比增长0.4%。其中,出口3523.0亿元,增长3.5%;进口2207.0亿元,下降4.3%。
七、价格涨势温和
上半年,广东居民消费价格同比上涨2.5%,其中城市上涨2.5%,农村上涨2.6%。工业生产者出厂价格同比上涨1.0%,涨幅比一季度扩大0.1个百分点。工业生产者购进价格同比上涨0.2%,涨幅与一季度持平。
八、就业形势总体稳定
6月末,广东城镇登记失业率2.23%,同比下降0.18个百分点,控制在目标范围内。截至6月末,城镇新增就业、失业人员再就业、就业困难人员实现就业分别完成年度任务的64.5%、56.0%和77.6%。
九、居民收入稳定增长
上半年,广东居民人均可支配收入为20322元,同比增长8.6%,增速与上年同期持平。其中,人均工资性收入同比增长7.6%。分城乡看,上半年,城镇常住居民人均可支配收入25161元,同比增长8.3%。农村常住居民人均可支配收入为9645元,同比增长8.7%。城乡居民人均可支配收入比值为2.61,比上年同期缩小0.01。

文章转载自:鹏城智库观察(ID:sz-drc)
如有侵权请联系作删除处理

