刘天福1 杜枭年1 张义福1 张 建1,2*
1 甘肃中医药大学 药学院
2 甘肃省高校中( 藏) 药化学与质量研究省级重点实验室
前言
传统中药穿心莲(Andrograp paniculata (Burm. F) Nees)为爵床科植物,归心、肺、大肠、膀胱经,味苦且性寒。具有清热解毒、凉血消痈等功效。穿心莲内酯(andrographolide,分子式C20H30O5,结构见图1),为白色方棱形结晶,是药用植物穿心莲的主要提取物。研究表明,穿心莲内酯具有广泛的生物活性,如抗感染、保肝利胆、抗癌、抗炎、抗菌、抗疟、免疫调节、抗心脑血管疾病、抗病毒等,临床应用广泛且效果显著。据文献报道,Boorsma小组首次从穿心莲中分离出一种无色晶体,后经 Gorter小组结构鉴定为内酯类化合物,于是被命名为andrographolide 。现代穿心莲内酯提取工艺多采用超声提取法。Gao于2011年通过仿生多烯环化,首次完成了穿心莲内酯的不对称全合成。穿心莲内酯是双环二萜内酯类化合物,为反式稠环半日花烷骨架,由两个椅式构象的稠合六元环与五元内酯环构成,并有C-3位仲羟基、C-19位伯羟基和C-14位烯丙位仲羟基,两个环外双键, 这些基团为穿心莲内酯结构的修饰带来了很多的活性位点。由于穿心莲内酯存在水溶性差,体内稳定性差等缺点,致使其体内生物利用率低,临床使用受到一定的限制,且目前在临床上主要用于抗炎。基于穿心莲内酯本身的性质缺陷和其相对活泼的结构特性,近年来研究者做了大量的结构修饰和活性筛选工作,以期发现更有效的候选药物。本文主要从抗肿瘤、抗炎、抗菌和抗病毒四个方面来介绍穿心莲内酯衍生物的合成以及其活性研究进展。
代表性结果

讨论与结论
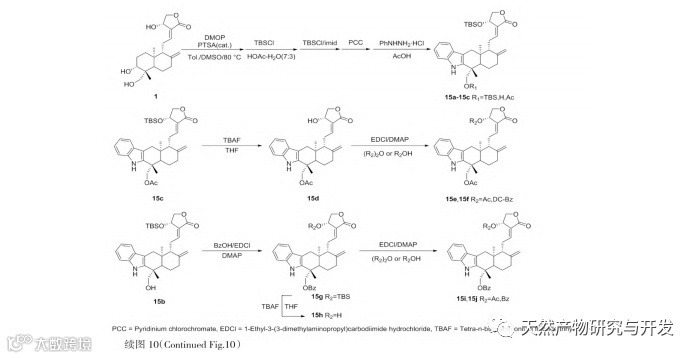
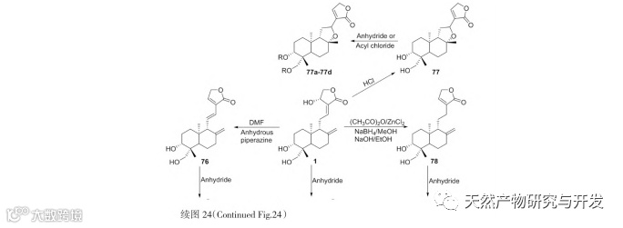
穿心莲内酯衍生物具有广泛的药理活性,各课题组仍致力于以其作为先导化合物,合成一系列活性更好的穿心莲内酯新衍生物。目前,穿心莲内酯的修饰类型多集中在对羟基的酯化、醚化、氧化、酰化、酰胺化、双键的加成、氧化、迈克尔加成反应以及分子内环化反应等,新合成得到的衍生物分子表现出相对较强的抗炎、抗肿瘤、抗菌和抗病毒活性,其中化合物 69因其具有良好的水溶性和低细胞毒性,有望成为治疗炎症的候选药物,化合物94a有望开发为新的抗菌药物。但目前对衍生物分子活性的作用机制大多还未研究清楚,因此多数活性衍生物还 很好地应用于临床。因此,在未来的衍生物合成和活性筛选工作中,要应用计算机辅助药物设计等手段,结合活性验证实验,研究探讨活性衍生物分子的作用靶点,指导化合物的结构修饰工作,从而能使更多的衍生物分子能作为候选药物进入临床研究,甚至开发成新药应用于临床。综上所述,多年来各国科研工作者对穿心莲内酯衍生物的研究从未停止,他们基于前人的研究成果,不断寻求新路线以期合成新的穿心莲内酯衍生物。这些研究,为基于穿心莲内酯作为先导化合物的新药研发工作奠定了坚实的基础。该研究成果发表在《天然产物研究与开发》2022年第12期,欢迎引用(点击左下方“阅读原文”可查看全文)。

引用格式:刘天福,杜枭年,张义福,等.穿心莲内酯衍生物的合成及活性研究进展[J].天然产物研究与开发,2022,34:2142-2161. Liu TF,Du XN,Zhang YF,et al.Research progress on synthesis and activity of andrographolide derivatives[J].Nat Prod Res Dev,2022,34:2142-2161.


长按二维码,关注公众号,获取更多内容
邮箱:re_trcw@clas.ac.cn
官网:http://www.trcw.ac.cn
点击阅读原文可查看全文