湖南科技学院化学与生物工程学院 湖南南岭地区植物资源研究开发湖南省工程研究中心 湘南优势植物资源综合利用湖南省重点实验室
弧菌是一类广泛存在于全球范围内的细菌,其引发的弧菌病暴发和流行不仅对海水养殖业造成了巨大的经济损失,同时也严重威胁着人类的健康。溶藻弧菌(Vibrio alginolyticus)是一种嗜盐性革兰氏阴性短杆菌,隶属于弧菌科(Vibrionaceae)下的弧菌属(Vibrio),其数量居海水类弧菌之首,在全球范围内的海水及河口处广泛分布,是一种常见的海洋致病菌,能够引起海水鱼类、虾类、贝类的大量死亡。在自然生境中,弧菌属的细菌几乎都能形成具自我保护功能的生物被膜(bacterial biofilms),这种生物被膜不仅让细菌更容易抵御外部环境的压力,同时也提供了一个理想的平台,使它们能够更容易地入侵和感染其他生物体。
细菌生物被膜是由细菌群落分泌能够包裹自身的胞外基质(包括胞外多糖,蛋白质和eDNA)和细菌所组成的结构性细菌群落,它的形成可使细菌抵御宿主免疫系统和抗菌药物杀伤作用,从而产生对抗菌药物的高度耐药性,导致感染难以清除。目前,关于细菌生物膜防治已成为研究的热点之一,然而由于细菌生物被膜的特点导致其具有较高的耐药性,要想根本上清除细菌,药物不仅需要对细菌具有杀灭作用,还需要能够通过生物被膜且不被生物被膜所阻挡或者中和,但是目前能达到这样效果的药物较少。在应对这一挑战时,传统的治疗方法和抗生素使用日益受到限制。因此,研究寻找新的、可持续的方法来控制溶藻弧菌的生长和感染具有重要意义。其中,中药的潜力引起了广泛的兴趣。我国是中草药资源大国,中药使用历史悠久、来源和功效明确,在抗菌药物筛选和研究中有着得天独厚的资源优势。与合成抗生素相比,从中药中提取的活性成分含有大量结构类型独特多样的小分子化学成分,有巨大的治疗潜力和较小的副作用,因而为寻找新作用机制的抗生物被膜药物提供了广阔的空间。本研究选取19种中药作为研究对象,采取不同的溶剂进行提取,研究其提取物对海洋溶藻弧菌生长和生物被膜形成的影响,为研发中药抗生物被膜形成的药物提供指导。


生物被膜状态下的细菌不仅对抗生素的耐受性显著提高,而且致病菌的致病能力也变得更强,因此,传统的抗生素治疗细菌生物被膜感染受到极大的限制。目前关于细菌生物膜防治成为了研究热点。大量研究表明植物提取物及其活性成分具有抗细菌生物被膜感染的能力,且有成本低、加工方便、抗菌性好、细菌不易产生耐药性的优点,因此,探寻合适的植物提取物及其活性成分将成为防治细菌生物被膜感染的有效策略。
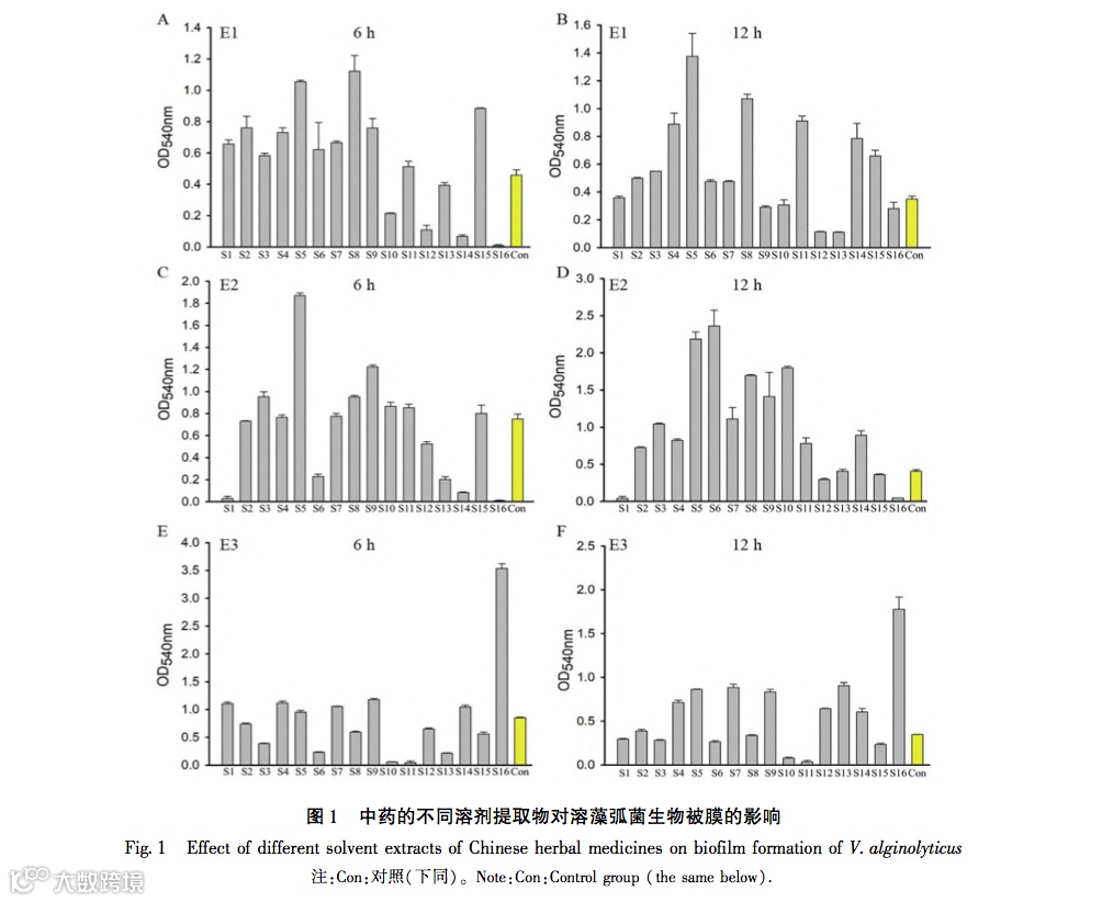
本研究选取19种中药,采用不同溶剂进行提取,研究其提取物对海洋溶藻弧菌生长和生物被膜形成的影响,结果发现19种中药的不同溶剂提取物对溶藻弧菌表现出不同的抑菌活性,其中12种中药的水提物有抑菌活性,17种中药的乙醇提取物有抑菌活性,15种中药的乙酸乙酯提取物有抑菌活性。19种中药的不同溶剂提取物中,大部分提取物对溶藻弧菌生物被膜的形成有促进作用,而公丁香水提取物、重楼和知母乙醇提取物、桃金娘和连翘乙酸乙酯提取物对溶藻弧菌生物被膜的形成有明显的抑制作用。
公丁香是经过干燥处理的桃金娘科蒲桃属植物丁香的花蕾,被广泛用作香料和药材。Chen等利用沸水煎煮法进行药物提取研究了100种中草药对溶藻弧菌的抑菌效果,结果发现在药液pH值调至中性后,公丁香能够有效抑杀溶藻弧菌,公丁香的MIC值达到125mg/mL。本研究采用回流萃取法以及不同溶剂进行药物提取,结果发现公丁香的3种溶剂提取物均有明显的抑菌效果,水提取物MIC达到50mg/mL,药物活性成分的提取效果明显得到了提高,且有机溶剂提取的公丁香具有更强的抑菌活性,乙醇提取物和乙酸乙酯提取物MIC分别达到1.6mg/mL和3.1mg/mL,推测这与它含有的抑菌成分的化学性质密切相关。公丁香富含丁香酚、乙酰丁香酚、丁香烯、水杨酸甲酯、甲基正戊基酮以及苯甲醛等,其中丁香酚是最主要的抑菌成分,因而相比于公丁香的水提取物,有机溶剂提取物具有更高的抑菌活性。此外,公丁香水提物还表现出明显的抑制溶藻弧菌生物被膜形成的作用,公丁香醇和乙酸乙酯提取物在较低的工作浓度(0.8mg/mL)对溶藻弧菌生物被膜形成前期仍有明显的抑制作用。因此,公丁香无论是作为抑菌剂还是抗生物被膜制剂都具有很高的利用价值。
重楼为百合科重楼属植物的总称,目前已从中分离鉴定出241种化合物,如甾体皂苷类、五环三萜类、甾醇类、黄酮类、多糖类、生物碱类等,具有镇痛、止血、抗肿瘤、抑菌等活性,其中甾体皂苷有136种,是重楼的主要活性成分。本研究发现重楼的乙醇提取物和乙酸乙酯提取物均有较强的抑菌活性,MIC均为12.5mg/mL,且乙醇提取物对溶藻弧菌生物被膜形成有明显的抑制作用,而水提取物既无抑菌活性也无抗生物被膜活性,这是因为重楼的主要活性成分甾体皂苷不溶于水,易溶于甲醇、乙醇、氯仿、乙醚等有机溶剂,因而乙醇提取物具有更好的抑菌和抗生物被膜效果。
中药炮制后活性成分、功效及毒性均会发生变化。知母为百合科植物知母的干燥根茎,主要含有甾体皂苷类、黄酮类、多糖类、木脂素类、有机酸类和双苯吡酮类等活性成分,其中甾体皂苷是知母中最具有生物活性的成分。Bai等对比研究了知母炮制前后的皂苷类、黄酮类及多糖类成分含量的变化,结果发现知母经盐炙后,多种单体皂苷、芒果苷和多糖类成分含量均升高;经酒炙后,知母皂苷I、知母皂苷AIII、芒果苷、新芒果苷、异芒果苷和多糖类成分含量均升高;经炒制后,菝葜皂苷元、知母皂苷I、芒果苷和多糖类成分含量均升高。本研究比较分析了知母及其3种炮制品盐知母、酒知母和炒知母的不同溶剂提取物对溶藻弧菌生长和生物被膜形成的作用,结果发现炮制方式不同,其抑菌活性存在差异,但对溶藻弧菌生物被膜形成的影响呈现出一定的相似性,推测其活性的变化与知母炮制后化学成分的变化密切相关,但与化学成分之间的对应关系还需进一步研究。
植物提取物及其活性成分的研究在抗细菌生物被膜方面展现了广阔的应用前景,开发抗细菌生物膜制剂的研究对致病性弧菌引起的水产动物疾病防治具有重要的参考意义。接下来的研究我们将进行中药提取物活性成分的鉴定,进而解析其对致病性弧菌生物被膜形成的抑制机制,从而开发安全、有效的抗细菌生物膜制剂。该研究成果发表在《天然产物研究与开发》2024年第6期,欢迎引用(点击左下方“阅读原文”可查看全文)。

引用格式:李百元,张叶敏,夏晶晶,等.19种中药提取物对海洋致病溶藻弧菌生长和生物被膜的影响[J].天然产物研究与开发,2023,36:1013⁃1021. Li BY,Zhang YM,Xia JJ,et al.Effects of 19 Chinese herbal medicines extracts on the growth and biofilm formation of Vibrio alginolyticus[J].Nat Prod Res Dev,2023,36:1013⁃1021.

点击阅读原文可查看全文