
栏首语
“住房问题既是民生问题也是发展问题,关系千家万户切身利益,关系人民安居乐业,关系经济社会发展全局,关系社会和谐稳定。”我国住房建设已经从解决“有没有”转向解决“好不好”的发展阶段,建设“好房子”是满足人民群众对优质住房新期待、构建房地产发展新模式的重大举措。中国建研院面向“好房子”建设,多措并举强化科技创新,解决关键技术问题,近期将围绕安全性能提升、环境品质提升、低碳转型发展、数智技术赋能、综合示范应用五个方面,集中展示在助力“好房子”建设过程中形成的典型科技成果。
“好房子”之
— 环境品质提升篇 —

聚焦环境高品质
提升居住幸福感

在追求高品质生活的今天,环境品质已经成为衡量“好房子”的关键因素之一。优质的环境是打造理想居住空间的基础,直接关系到居住者的生活质量、身心健康以及建筑的长期价值。中国建研院面向新时代人民群众对住房的新需求,聚焦美好生活总目标,围绕声、光、热、湿及室内空气品质提升等方面进行了大量的科技研发与攻关。通过不断技术创新和实践探索,取得了一系列显著科技成果,有效保障“好房子”的环境品质,为居民提供更加健康、舒适、节能的居住环境。以下为中国建研院部分助力“好房子”环境品质提升的典型成果介绍。
一
气密性与室内空气品质不可兼得?
近零能耗住宅给你最佳答案
——基于实验平台的建筑能耗与室内空气品质双目标优化解决方案
01
技术简介
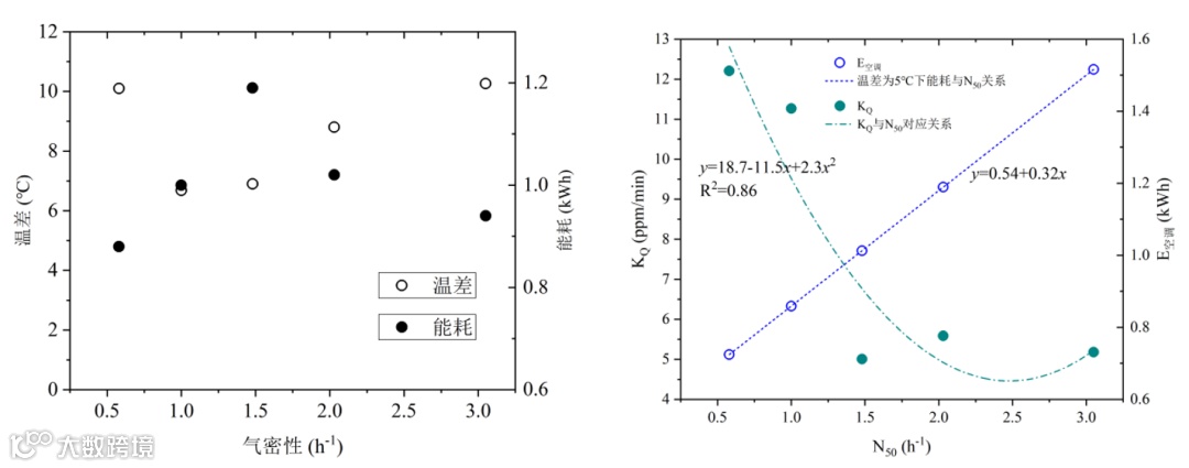
借助中国建研院全尺寸、长时间的未来建筑实验平台,通过设计实验得到近零能耗住宅实际运行过程中气密性与室内空气品质以及建筑能耗关系曲线,其中以人体、家具、室外三种主要代表污染物函数表征室内空气品质函数,通过实验平台各部分能耗计量求和得到建筑能耗函数,进一步在实验数据基础上拟合得到气密性与室内空气品质和建筑能耗的函数关系,以及建筑能耗和室内空气品质双目标函数下建筑气密性的最佳平衡点。
技术亮点
02
近零能耗住宅的建筑能耗和室内空气品质与建筑气密性密切相关,研究提出了将单位建筑能耗得到的室内空气品质值这一指标作为各气候区气密性最佳平衡点的评价指标,并在此基础上给出了我国各区近零能耗围护结构气密性控制指标的建议参考值,提出未来建筑实验平台的最佳气密性值取N50=1.43h-1。研究针对目前气密性研究多从理论推导而缺少基于实测数据得到相关结论的现状,借助实验平台得到实际运行的可信数据,解决了实际工程中缺少针对我国气密性控制指标和限值要求的困境。该研究在国内率先将建筑整体气密性与室内空气品质及建筑能耗进行耦合特性研究,有利于近零能耗建筑外保温系统的质量控制以及建筑室内空气品质的提高。
03
成果应用
该研究成果应用于国家“十三五”重点研发计划项目“近零能耗建筑技术体系及关键技术开发”,有效支撑了近零能耗建筑基础性理论研究。依托该研究成果,编制了《建筑整体气密性检测及性能评价标准》T/CECS 704-2020,于2020年11月1日正式实施。标准的实施规范了建筑整体气密性检测及评价方法,为近零能耗建筑的推广应用提供了技术保障。

△各设计工况点主要参数之间的关系与建筑气密性最佳平衡点
二
净化材料定义“双保险”,
为好房子“定制”好空气
——室内空气净化材料检测关键技术
01
技术简介
围绕室内空气净化材料分类、净化效果和检测方法、材料本身有害物质以及净化材料使用过程中的二次污染等方面,研究提出了室内空气治理材料有害物质释放量“脱附率”概念,建立了室内空气净化材料高温脱附率的检测方法,开发了气袋法检测净化材料、净化性能的检测技术。
技术亮点
02
该研究对室内空气净化材料产品有害物质及二次污染进行了研究,明确了其具体的检测项目、检测方法和指标限量值,提出了净化产品甲醛净化效果的气袋测试方法,发布了《室内空气净化材料净化性能及有害物质限量标准》T/CADBM 18-2019,为空气净化材料的净化效率、持久性及脱附率的检测评价提供了依据。
03
成果应用
该研究成果已开发出甲醛净化性能检测装置,解决了气袋法检测净化性能的技术难题,成熟应用于日常检测工作,实现了超950万平方米的工程应用,为“好房子”建设提供了空气净化样板。

三
室内空气近零“污染+气味”,
开启健康品质生活新篇章
——室内空气污染全过程管控关键技术
01
技术简介
围绕室内装饰装修污染“源头控制、过程监管、验收复查”的管控要求,提出了室内装饰装修“预设计+选材+过程监控+节点测评+验收”五大环节全过程污染控制技术,构建了主要装饰装修材料有害物释放率计算模型,建立了材料优选方法及测评体系、室内气味评价措施,发布了民用建筑室内空气气味评价方法标准。
技术亮点
02
该管控体系核心点在于“预设计及选材环节”,针对预设计,通过采集大量的典型装饰装修材料释放有害物质随时间、温度、换气率变化的测试数据,分析量化规律,建立装饰装修用材料释放有害物质的空气污染设计计算函数,开发出一套设计模型软件。“过程监控”中全程参与装饰装修工程,抽检材料、复查资料,及时调整管控要求。“节点测评”中及时上报装饰装修关键节点的室内空气质量情况,建设单位即刻调整落实措施。室内气味评价则利用符合条件的多人权重计算方法,综合评估室内气味的可接受程度、气味强度以及气味浓度,可有效解决室内因个人差异带来的不同感受评价却无评价依据的困难,为室内空气品质的“好”与“不好”提供了理论依据。
03
成果应用
该技术已应用到雁柏山庄、栖湖饭店、领秀城H3地块养老院项目、绿发集团酒店和住宅等项目中,应用面积超过20万平方米,解决了传统装饰装修设计阶段无污染管控预处理带来的后期污染不合格、进一步造成改造费用投入巨大的难题,实现了设计选材及源头污染预控制、过程施工质量有保障、验收合格能落地的全过程解决方案。

四
检测技术“靶向定位”,
让室内空气有机化合物“无处遁形”
——室内空气有机化合物来源识别关键技术
01
技术简介
围绕室内空气中挥发性有机化合物(VOCs)的组成成分、便携无损检测设备与“微环境测试舱”测试方法以及污染物来源识别等技术难点,提出了一种新的总挥发性有机化合物的定量计算方法,提高了室内空气中总挥发性有机化合物定量准确度;研制出一种新型现场采样“微环境测试舱”装置,建立了一套污染物识别方法,实现了室内空气污染来源精确识别。
技术亮点
02
该研究成果将《民用建筑工程室内环境污染控制规范》GB 50325-2010(2013版)中挥发性有机化合物的定量准确度提高了5%,分析出了新装修室内醛酮化合物中甲醛、乙醛、丙酮三种物种占比60%以上的重要结论;利用“微环境测试舱”现场无损采集各种材料释放的样品,利用每种材料释放物质具有特征性,分析室内空气中挥发性有机化合物的来源。结合材料使用量,利用该技术可以对室内空气中关注的有害物质进行来源贡献分析,准确识别出污染主要来源,针对性进行既有污染源的改造以降低污染治理的成本。
03
成果应用
该研究成果已应用于部分标准的修订、北京壹号院、雁柏山庄、栖湖饭店、长江三峡集团(武汉)总部、成大商务中心、绿发集团某酒店等项目中,应用面积超过10万平方米。该技术能够准确识别出室内空气中主要污染物的来源,解决了原有技术不能无损识别的难题,实现了室内装饰装修材料污染的精准“靶向定位”和室内污染“对症下药”。


END
文章供稿:公司科技标准部 魏兴 朱娟花
往期回顾:
3.“好房子”之安全性能提升篇② | 中国建研院筑房屋安全屏障,让群众居有所安
如果需要改进,请联系我们。可通过新浪微博@中国建研院,或发送邮件至ydb@cabr.com.cn。
更多精彩期待您的参与!

