大数跨境
0
0

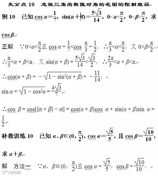
高考数学:易失分点20个知识点

高考数学:易失分点20个知识点 百师联盟技术研究院
2017-02-27
2
导读:看完后这高考数学20个失分点,大家都弄懂了吗?觉得哪一个最容易失分?


看完后这高考数学20个失分点,

大家都弄懂了吗?

觉得哪一个最容易失分?

百师联盟 | 全国著名高中教育联盟

质量监测与评价 | 课题研究与实践 | 强化训练与提高

知识总结 | 备考策略 |生涯规划 | 高考动态 | 教学方法

专注教研    服务教学 

                           

  长按二维码加为关注,获取最新信息



【声明】内容源于网络
0
0
百师联盟技术研究院
百师联盟教育成立于2006年,自成立以来专注于教育领域,始终秉持着“整合优质教学资源,促进教育均衡发展”的信念。现公司旗下业务发展已覆盖资源网站、教育培训、试卷研发、软件开发等诸多领域。
内容 938
粉丝 0
百师联盟技术研究院 百师联盟教育成立于2006年,自成立以来专注于教育领域,始终秉持着“整合优质教学资源,促进教育均衡发展”的信念。现公司旗下业务发展已覆盖资源网站、教育培训、试卷研发、软件开发等诸多领域。
总阅读180
粉丝0
内容938