
赋分制是新高考中最难懂也是最重要的政策,关系到选科策略。熟悉相关政策可以扬长避短,更好发挥考生优势。
“3”指的是:语文、数学、外语,这三门科目考试参加统一高考,由教育部考试中心统一命题,以原始成绩计入考生总成绩;
“1”指的是:物理和历史,考生必须从物理和历史两个科目中选择一科,由各省自主命题,以原始成绩计入考生总成绩;
“2”指的是:考生从化学、生物、地理和政治四门科目中选两门,选考由各省命题,通过等级赋分的方式,将赋分后的成绩计入考生总成绩。
考生总成绩由全国统一高考的语文、数学、外语3个科目成绩和考生选择的3科普通高中学业水平选择性考试科目成绩组成,满分为750分。即通常所说的“3+1+2”模式。
为增加考生和院校双向选择机会,考生志愿将采取“专业(类)+学校”的组合方式。选择考科目理论上有12种组合,具体组合如下:
“思想政治、地理、化学、生物学4门科目每科原始成绩为100分,转换后赋分成绩满分依然为100分,赋分起点为30分。”
转换时将各科目考生原始成绩从高到低划分为A、B、C、D、E共5个等级,各等级人数所占比例分别约为15%、35%、35%、13%和2%。
各科目成绩计入考生总成绩时,将A至E等级内的考生原始成绩,按照事先确定的比例,依照转换公式,分别转换到100~86、85~71、70~56、55~41、40~30五个分数区间,得到考生的赋分成绩。转换基数为实际参加该科目选择考的人数。
具体等级比例和赋分区间为:

目前,四川、陕西、河南、宁夏、青海、内蒙古等第五批8省启动新高考改革,将从2022年秋季入学高一年级开始实行,2025年首次按新方案进行高考,采用“3+1+2”考试模式。
值得注意的是,高考改革此轮已是第五批。方案和模式与此前第三、第四批省市相比,最大的特点就是总的方案基本没有变化。也就是说目前高考改革方案基本完善,也稳定下来了,实施风险几乎可以忽略了。
截止目前,仅有新疆、西藏因故仍然保留老高考,全国其他省市全部进入新高考周期。这也意味着以分类考试、综合评价、多元录取为主要方向的新高考体系基本形成。
等级赋分制,是新高考规定选考科目设等级性考试下,成绩按等级赋分 (3+3地区是全部6个选考科目,3+1+2地区是思想政治、地理、化学、生物共4个科目),对应这些科目卷面分满分为100分,根据考生分数排名的百分比而非卷面分数来计算成绩的一种方法。目前,等级赋分制只用于选考科目的成绩统计,使用范围为29个新高考改革省市。
新高考下实行等级赋分,让选择同一科的同学进行对比,然后赋分,这样有利于解决因试题难度不同而导致的不公平。
那么,新高考下赋分是什么样的?又该怎么计算?
★新高考实行后,高考的总成绩构成是:
总成绩(满分750分)=统一高考科目成绩(450分)+选考科目成绩(300分),具体如下图:

可见,思想政治、地理、化学、生物这4门再选科目是按【等级赋分】计入高考总成绩的。也就是说,这4门科目的卷面原始分数,未必是最终计入高考总成绩的分数。那么,等级赋分怎么计算?等级赋分受哪些因素影响呢?
★等级赋分使用的科目:思想政治、地理、化学、生物
★等级赋分的基本思路是:
将每门选考科目的同一类型考生成绩按照分数高低依次排序。排序中,根据人数比例划分不同等级,按照公式赋予不同等级分。
★等级赋分的含义和赋分办法是:

具体换算过程:
1.固定的比例及对应的等级、赋分区间。
以实际参加该科选考人数的成绩为基数,将各考生原始成绩从高到低划分为A、B、C、D、E共5个等级,各等级人数所占比例分别约为15%、35%、35%、13%和2%。

以上的5个等级及各等级对应的比例及赋分区间是事先设定的固定规则,转换后赋分成绩满分为100分,赋分起点为30分。
例1
某学科原始分前15%的考生最高分为100分,最低分为95分,则该学科A等级的原始分区间为【100~95】。
已知A等级赋分区间为【100~86】分(固定不变),
也就是说,原始分【100~95】的考生为A等级,赋分后最终成绩为【100~86】分。
例2
某学科考试成绩最后2%的考生最高分为20分,最低分为5分,则该科目E等级的原始分区间为【20~5】。
已知E等级赋分区间为【40~30】分(固定不变),
也就是说,原始分【20~5】的考生为E等级,赋分后最终成绩为【40~30】分。
极端地讲,假设这个区间某考生原始分为5分,赋分后也能拿到30分。
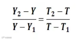
2.等级转换的具体公式:

其中:
Y1、Y2分别表示原始分区间的下限和上限;
T1、T2分别表示转换分区间的下限和上限;
Y表示原始分;
T表示转换分。
考虑到高考分数都以整数呈现,故上述公式的计算结果需要进行“四舍五入”处理。
例1
假设小淘同学政治学科原始分为75分,
再假设政治学科B等级原始分区间为【82~61】,
则小淘同学政治学科为B等级;
下面进行赋分换算:
B等级的赋分区间【85~71】(固定不变),
那么小淘同学赋分后分数为:

解得,T≈80.33;四舍五入后小淘同学政治学科最终赋分成绩为80。

例2
假设小淘同学地理学科原始分为75分,
再假设地理学科B等级原始分区间为【88~75】,
则小淘同学地理学科为B等级;
下面进行赋分换算:
B等级的赋分区间【85~71】(固定不变),
小淘同学考了B等级原始分区间的最低分,
所以小淘同学地理学科最终赋分成绩为71。
注意
▲等级赋分制不是按照考生的卷面分数来计算成绩。而是遵循“原始分数——百分比例——等级——转化分数”的等级赋分路径。
▲等级赋分制只适用于选考科目的成绩计算。即浙江、上海、北京、天津、山东、海南6个省市的物理、化学、生物、政治、历史、地理6个选考科目采用等级赋分制;河北、辽宁、江苏、福建、湖北、湖南、广东、重庆、黑龙江、甘肃等23个省市的化学、生物、政治、地理4个选考科目采用等级赋分制。
▲等级赋分由相关主管部门自动完成,大家在查询到自己的高考成绩时,看到的已经是赋分后的分数,不需要自行换算。
以目前已经启动新高考改革的29个省市等级赋分制方案来看,总体可分为5个类型:
1、北京把学生每门科目的原始成绩按照分数高低进行排名,再按照排名将1%-15%,16%-50%、51%-84%、85%-99%、99%以下划分成A、B、C、D、E五个等级。A、B、C、D四个等级内又按照不同的比例分成5个小的等级。根据学生卷面分数的排名和报考科目的总人数,确定学生属于哪个等级内,再根据每个等级对应的分数给予赋分。

2、天津按照实际参加当次考试学生总数(成绩为零分的学生除外)的相应比例划分等级,位次由高到低分为A、B、C、D、E五等。等级性考试成绩在计入高校招生录取总成绩时,每门科目成绩由五等细化为A5、A4、A3、A2、A;B5、B4、B3、B2、B;C5、C4、C3、C2、C;D5、D4、D3、D2、D;E共21级,分别占2%、3%、4%、5%、6%;7%、7%、7%、7%、7%;6%、6%、6%、6%、6%;5%、4%、3%、1%、1%;1%。其中,A 为满分100分,E计40分,相邻两级之间的分差均为3分。

3、浙江按照考生各科成绩按等级赋分,以当次高中学考合格成绩为赋分前提,高中学考不合格不赋分。起点赋分40分,满分100分,共分21个等级,每个等级分差为3分。

上海普通高中学业水平等级性考试成绩在计入高考总分时,由五等细化为A+、A、B+、B、B-、C+、C、C-、D+、D、E共11级,分别占5%、10%、10%、10%、10%、10%、10%、10%、10%、10%、5%。其中,A+为满分70分,E计40分。相邻两级之间的分差均为3分。

山东采用5等8级赋分制。等级考试科目原始成绩从高到低划分为A、B+、B、C+、C、D+、D、E共8个等级。参照正态分布原则,确定各等级人数所占比例分别为3%、7%、16%、24%、24%、16%、7%、3%。等级考试科目成绩计入考生总成绩时,将A至E等级内的考生原始成绩,依照等比例转换法则,分别转换到91-100、81-90、71-80、61-70、51-60、41-50、31-40、21-30八个分数区间,得到考生的等级成绩。

实行“3+1+2”新高考的省份统一采用五等级赋分制。等级分是按统一规则,由原始分进行等级划定后,再由等级转换而来的分数。对于某一再选科目(化学、生物、政治、地理),考生该科目的合格性考试成绩达到合格后,转换时赋分起点为 30 分,满分为 100 分。具体转换规则和步骤如下:
第一步,按照考生原始分从高到低划定 A、B、C、D、E 共五个等级,各等级人数所占比例每省各不同。
第二步,将A至E五个等级内的考生原始分,依照等比例转换法则,分别对应转换到100~86、85~71、70~56、55~41和40~30五个分数段,从而将考生的等级转换成了等级分。
海南具体换算的过程为:每个单科,按照原始分对全省同一类别团体的考生进行排名,每名考生都有一个对应的位置,算出每个原始分以下的考生人数占团体考生总数的百分比,即百分等级。再由每个原始分的百分等级在《高考标准分与百分等级对照表》中查出它所对应的分数。
为什么要采取等级赋分制?
等级赋分能够较好解决学科之间分数不等值、学生选考科目分数不能直接相加参加高校招生录取的问题。如果以原始分呈现考试成绩,会带来学科间不公平问题;等级呈现方式则使得不同学科考生因等级划分而保持了成绩相对均衡,学科间试题难易差异等不公平因素可以被较好消除,使得不同科目之间成绩可以相加。
Q:
高考选考科目可以知道卷面的原始分数吗?
高考公布的分数为赋分之后的分数。
Q:
赋分和选考人数有关吗?选考人数越多越容易被赋分?
考虑赋分因素要重点注意以下几类情况︰学霸选考越集中,成为炮灰的可能性越大;试题难易程度:试题难度越简单,学霸区的炮灰就会越多。试题越难,学霸越容易和其他人拉开差距,考上名校。赋分模式下,选择人数越多,赋分结果就越趋于合理,选择人数越少,偶然性就会越大。总而言之,赋分制度下不仅要求考生考虑自身的成绩,还要考虑本省其他竞争者的成绩。
Q:
赋分制下,如果某一门选考人数特别少怎么办?
这一现象在首批试点的浙江省有出现,采取的措施为设置最低保障基数,当选考人数少于“基数”时,则按照基数人数进行赋分。
Q:
新高考改革下,考生交白卷也有60分的成绩?
新高考改革采取赋分制,最高100分,最低30分,如果考生交白卷,实际卷面成绩0分,选科目成绩被排到E等级。那么在等级赋分后,任选科目每科最少也有30分会被计入总成绩,两门任选科目即60分。
Q:
新高考改革,选择纯文组合,除了专业选择受限,赋分会吃亏吗?
纯文组合的专业覆盖率偏低,但是赋分的高低主要跟排名有关系,考生如果文科排名很靠前,也有被赋予高分的可能。
Q:
新高考有赋分,大学录取的分数线会提高很多吗?
不一定,决定大学录取分数线的因素是考生的投档人数,招生计划等因素,新高考中虽然实行了赋分,但是是所有学生都参与赋分,形成的高考总成绩是不影响录取分数线的。
Q:
考生考多少分才能被赋满分?
新高考改革选择等级赋分制,赋分主要看排名,考生排名在前1%,基本上都可以被赋予满分。
Q:
新高考实施赋分制,赋分制的合理之处体现在哪?
一是解决了选考科目之间分数不可比的问题;
二是能够最大限度地保证考生的成绩具有良好的区分度,满足高校人才选拔的需求。
Q:
历史类考985 211的分数,会比物理类的高吗?
不一定,具体的要看每个学校的专业实力,投档人数,招生计划等因素。
Q:
影响考生赋分成绩高低的因素有哪些?
影响考生赋分成绩的因素包括学生排名、选考学生层次、学科及试卷的难易程度、选考人数等。
Q:
为什么新高考后很多文科生考高分?
以往文科因此题目较主观的原因,很难得高分或满分,但赋分之后,将成绩分布在各个区间,成绩整体比以前高。
Q:
选择冷门学科,在赋分上是不是更占优势?
赋分的高低主要受考生排名的影响,选考人数越多,赋分结果就越趋于合理,选择人数越少,偶然性就会越大,冷门学科选考的人数可能较少,但是能不能被赋予高分还是看考生的实际排名,是否有优势无法准确衡量。
※声明:文章来源于网络。以上内容贵在分享,版权归原作者及原出处所有,如涉及侵权请联系删除!
END

百师联盟教育
百师联盟教育成立于2006年,自成立以来一直专注于教育领域,始终秉持着“整合优质教学资源,促进教育均衡发展”的信念。伴随着公司稳步发展,为更好地服务于用户,百师联盟陆续在山东、河南、安徽、四川、贵州、湖南、广东等多个地区成立多个分公司。业务项目涵盖九年义务教育、高中教育、大学教育各个阶层。是一家集教育培训、研讨、文化交流、试卷教辅产品策划及研发、教学资源整合、咨询顾问为一体的专业服务商。
※百师云:
https://www.bslmedu.com/index
※百师联盟官网:
http://bjbslm.cn/index

