高考倒计时28天,你现在的成绩水平如何?和目标大学之间还有多大差距?你估算过要上重点大学各科至少要达到多少分吗?下面随小编一起对照自己目前的学习情况,来看看哪些科目已达标/未达标。
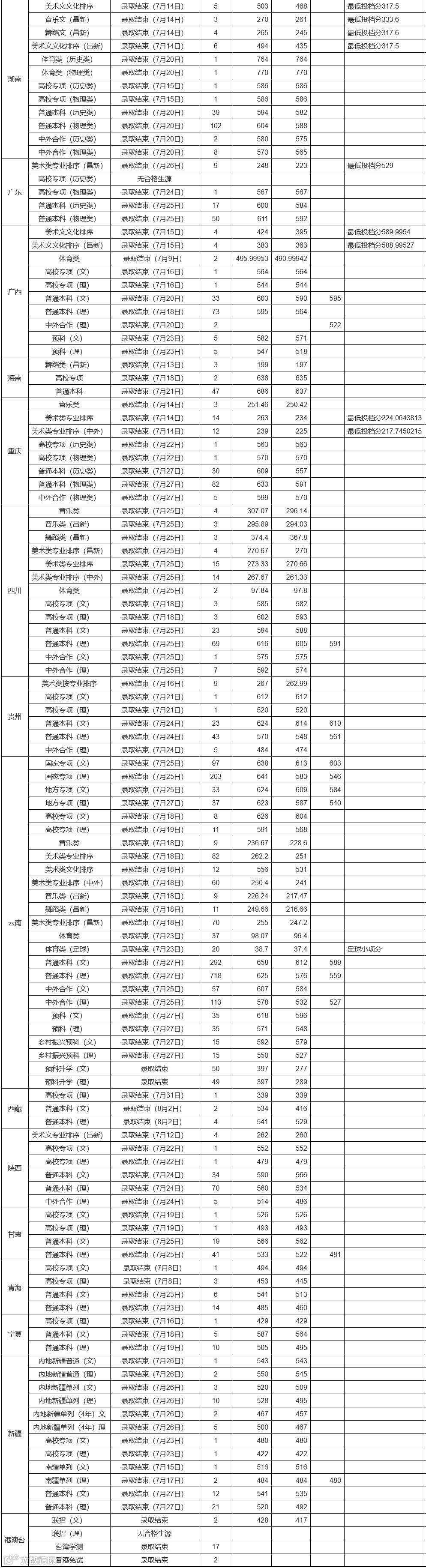
先来看2021年部分重点高校在各省市的最低录取分数👇
北京大学
北京大学创办于1898年,初名京师大学堂,是中国第一所国立综合性大学。

清华大学
清华大学的前身清华学堂始建于1911年,1912年更名为清华学校。目前,清华大学共设21个学院、59个系,已成为一所设有理学、工学、文学、艺术学、历史学、哲学、经济学、管理学、法学、教育学和医学等11个学科门类的综合性、研究型大学。

中国人民大学是第一所新型正规大学,是一所以人文社会科学为主的综合性研究型全国重点大学,直属于教育部,由教育部与北京市共建。
(上下滑动查看)


中央民族大学坐落于北京学府林立的海淀区,南邻国家图书馆,北依中关村科技园,校园环境典雅,古朴幽美,人文氛围浓郁,具有鲜明的民族特色。
(上下滑动查看)

大连理工大学是教育部直属全国重点大学,是国家“211工程”和“985工程”重点建设高校,也是世界一流大学A类建设高校。
(上下滑动查看)
主校区(含开发区校区)

盘锦校区

复旦大学校名取自《尚书大传》之“日月光华,旦复旦兮”,始创于1905年,原名复旦公学,1917年定名为复旦大学,是中国人自主创办的第一所高等院校。
(上下滑动查看)
复旦大学(10246)


复旦大学上海医学院(19246)

厦门大学,简称厦大,由著名爱国华侨领袖陈嘉庚先生于1921年创办,是中国近代教育史上第一所华侨创办的大学,也是国家“211工程”和“985工程”重点建设的高水平大学。
(上下滑动查看)


东南大学坐落于六朝古都南京,是享誉海内外的著名高等学府。学校是国家教育部直属并与江苏省共建的全国重点大学,是国家“985工程”和“211工程”重点建设大学之一。
(上下滑动查看)

华南理工大学地处广州,是直属教育部的全国重点大学,校园分为五山校区、大学城校区和广州国际校区,是首届“全国文明校园”获得单位。
(上下滑动查看)

哈尔滨工业大学(深圳)由哈工大与深圳市政府合作共建的一个校区,哈工大(深圳)以全日制本科生与研究生教育为主、非全日制教育为辅,是首所进驻深圳招收本科生的中国九校联盟(C9)成员、国家“985工程”建设高校和“双一流”建设A类高校。
(上下滑动查看)

四川大学是教育部直属全国重点大学,是国家布局在中国西部的重点建设的高水平研究型综合大学。四川大学地处中国历史文化名城——“天府之国”的成都,有望江、华西和江安三个校区,占地面积7050亩,校舍建筑面积269.4万平方米。
(上下滑动查看)



东北大学始建于1923年4月26日,是一所具有爱国主义光荣传统的大学。学校是国家首批“211工程”和“985工程”重点建设的高校,2017年9月,经国务院批准,进入一流大学建设高校行列。
(上下滑动查看)

湖南大学位于中国历史文化名城长沙,校区坐落在湘江之滨、岳麓山下,享有“千年学府,百年名校”之誉。学校办学历史悠久、教育传统优良,是教育部直属全国重点大学、国家“211工程”“985工程”重点建设高校、国家“世界一流大学”建设高校。
(上下滑动查看)

云南大学始建于1922年,时为私立东陆大学,1934年更名为省立云南大学,1938年改为国立云南大学,是我国西部边疆最早建立的综合性大学之一。
(上下滑动查看)


西北农林科技大学地处中华农耕文明发祥地、国家级农业高新技术产业示范区——陕西杨凌,是教育部直属、国家原“985工程”和“211工程”重点建设高校,首批入选国家“世界一流大学和一流学科”建设高校。
(上下滑动查看)


中国农业大学作为教育部直属高校,是我国现代农业高等教育的起源地,其历史起自于1905年成立的京师大学堂农科大学。
(上下滑动查看)
表中各省分数为一志愿录取最低分:




(上下滑动查看)
普通一本招生录取分数线:




自强计划录取分数线:

国家专项计划录取分数线:

马克思主义理论录取分数线:


艺术类录取分数线:

民族班录取分数线:

港澳台录取分数线:

单设投档单位录取分数线:

2021年本科招生普通批次录取分数线:

华中科技大学是国家教育部直属重点综合性大学,由原华中理工大学、同济医科大学、武汉城市建设学院于2000年5月26日合并成立,是国家“211工程”重点建设和“985工程”建设高校之一,是首批“双一流”建设高校。
(上下滑动查看)



越是难考的高校,对各科的综合成绩要求就更高。有些同学在这几个科目考得好,但也难免被另几个科目拖后腿,这个时候,了解自己的优弱势科目就尤为重要。
综合历年高考情况来看,考生今年高考想要考上重点本科,各科至少需要达到以下水平(满分750分):
语文:不低于110分
数学:不低于125分
外语:不低于120分
物理/化学/生物:各科不低于80分
历史/政治/地理:各科不低于75分
百师联盟卷2022重点模考的各科有效分,大家可以参照各批次分数线对应的科目分数,了解自己当前哪些科目表现良好,哪些科目仍需努力(仅供参考):


百师联盟
助力师生提升自身能力
方便查阅各地中高考试卷
为教学提供更多精品导学案
只需登陆微信小程序百师云
支持免费下载哦

