点击上方蓝字关注“科拓恒通”
《Probiotic Lactobacillus casei Zhang (LCZ) alleviates respiratory, gastrointestinal & RBC abnormality via immuno-modulatory, anti-inflammatory & anti-oxidative actions》(Lactobacillus casei Zhang (干酪张)通过抗炎与抗氧化等免疫调节途径,缓解呼吸系统病症、肠道病症以及红细胞异常等反应)论文已发表于最新一期的《Journal of Functional Foods》
Probiotic Lactobacillus casei Zhang (LCZ) alleviates respiratory, gastrointestinal & RBC abnormality via immuno-modulatory, anti-inflammatory & anti-oxidative actions. Journal of Functional Foods 2018, (3)44, 235–245.
为验证 Lactobacillus casei Zhang(干酪张)对呼吸道炎症,肠道功能紊乱的预防作用,在马来西亚开展了为期一年的随机双盲实验,实验共招募健康成年志愿者与老年志愿者共137人(年龄18-81周岁)。在成年人群中Lactobacillus casei Zhang(干酪张)缓解一系列包括鼻、咽在内的呼吸道感染症状,与安慰剂组相比,一般流感与呼吸道疾病的症状发生率与程度均显著降低(P<0.05)。这主要归因于激活的T细胞和B细胞和抗炎的特性,实验观察到,与安慰剂组相比,益生菌Lactobacillus casei Zhang(干酪张)的摄入,可降低血浆促炎性细胞因子(IL-1),增加全血抗炎细胞因子(IL-4、IL-10)、CD4、CD8、CD44、CD27和CXCR5表达量上调(P<0.05)。在老年受试者中,相比于安慰剂Lactobacillus casei Zhang(干酪张)减少鼻腔症状的持续时间,增加每周排便率,通过调节TBA和CD4的免疫性能来稳定全血MCHC和ESR参数,进而缓解红细胞异常(P < 0.05)。目前对于益生菌对宿主健康促进的关键证据迫切需求,使得我们开展了以成年人群与老年人群为受试者的人群实验,用以评价Lactobacillus casei Zhang(干酪张)在对抗呼吸系统疾病与胃肠道疾病中的潜在性能。
参加随机双盲实验137名志愿者的详细信息
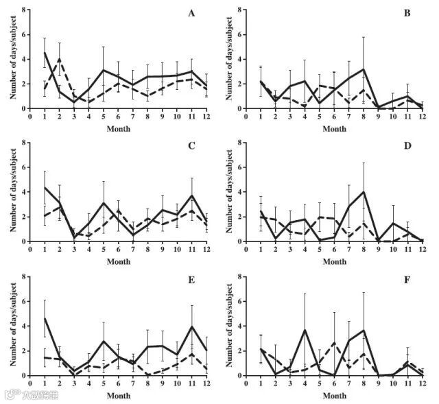
上图为益生菌Lactobacillus casei Zhang(干酪张)在一年的实验期中各症状的影响数据,Lactobacillus casei Zhang(干酪张) (- - -) 安慰剂组 (–)。A 成年人组鼻腔症状的天数(流鼻涕、鼻堵塞,流鼻涕、打喷嚏)记录(M: P=0.379, T: P=0.021, TxM: P=0.211);B 老年人组鼻腔症状的天数(流鼻涕、鼻堵塞,流鼻涕、打喷嚏)记录(M: P=0.116, T: P=0.029, TxM: P=0.128)。C 成年人组咽部症状天数(喉咙痛、痛)记录(M: P=0.125, T: P=0.022, TxM: P=0.137);D老年人组咽部症状天数(喉咙痛、痛)记录(M: P=0.124, T: P=0.172, TxM: P=0.120)。E 成年人组(呕吐、食欲不振、身体疼痛、疲劳、头痛、发烧)发生天数记录(M: P=0.186, T: P < 0.001, TxM: P=0.118);F 老年人组(呕吐、食欲不振、身体疼痛、疲劳、头痛、发烧)发生天数记录(M: P=0.195, T: P=0.440, TxM: P=0.072)。M:时间影响;T:益生菌治疗或安慰剂效应;TXM:时间与治疗的相互作用。结果用平均值与SEM表示;n=137。结果反应出,在摄取Lactobacillus casei Zhang(干酪张)的人群中,呼吸道以及消化道的病症发生次数明显低于安慰剂组。
上图为益生菌Lactobacillus casei Zhang(干酪张)在一年的实验期中病症发生的数据统计,Lactobacillus casei Zhang(干酪张)(- - -) 安慰剂组 (–)。A 成年人组胃肠道疾病发生次数记录(M:P=0.183, T: P=0.079, TxM: P=0.214);B 老年人组胃肠道疾病发生次数记录 (M: P=0.364, T: P=0.719, TxM: P=0.328)。C 成年人组每周正常排便次数(M: P=0.300, T:P=0.254, TxM: P=0.504); D 老年人组每周正常排便次数(M: P=0.726, T: P=0.038, TxM: P=0.682)。M:时间影响;T:益生菌治疗或安慰剂效应;TXM:时间与治疗的相互影响。结果用平均值与SEM表示;n=137。结果反应出,摄取Lactobacillus casei Zhang(干酪张)能够降低胃肠道病症发生次数,改善老年人每周的排便频率。
上图为Lactobacillus casei Zhang(干酪张)为期一年实验中对人体免疫因子分泌的影响统计,LCZ(□),安慰剂(■)。A C E为成年人组IL-4, IL-10, IL-1的分泌水平统计,B D F为老年人组IL-4, IL-10, IL-1的分泌水平统计。结果用平均值与SD值表示,n=80。结果可发现,Lactobacillus casei Zhang(干酪张)能够提高人体抑炎因子的分泌水平,同时抑制促炎因子的分泌,进而抑制炎症的发生频率。
上图为Lactobacillus casei Zhang(干酪张)为期一年实验中的对血液指标的影响,Lactobacillus casei Zhang(干酪张)(□)或安慰剂(■)。A 成年人组红细胞平均血红蛋白浓度(MCHC; g/L),B 为老年人组红细胞平均血红蛋白浓度(MCHC; g/L)。C 成年人组红细胞沉降率(ESR, mm/h),D 老年人组红细胞沉降率(ESR, mm/h)。结果用平均值与SD值表示,n=80。E 为TBA与MCHC斯皮尔曼相关性分析,F 为CD4基因表达量与血ESR的斯皮尔曼相关性分析Lactobacillus casei Zhang(干酪张) (●; ––) and placebo (○;—)。
摄入Lactobacillus casei Zhang(干酪张)增强免疫系统标记物关系网络。T细胞和B细胞前体在骨髓中发起,在造血干细胞发育成淋巴祖细胞,然后迁移到胸腺通过抗原独立选择成熟的胸腺细胞功能的T细胞(一)。I类和II类主要组织相容性复合体(MHC)转为正选择T细胞CD8 +细胞毒性细胞和CD4 + t-helper-cells,分别为(一)。在这一点仍然是那ïVE T细胞迁移到淋巴器官,通过外周循环搜索的抗原提呈细胞(APC;B)。CD4+ T细胞被激活时遇到的APC,表达高水平的CD44和IL-2随后启动活化的CD4 + T细胞识别相同的抗原克隆扩增(C)。活化的CD4 + T细胞信号CD8+T细胞转变为成熟的细胞毒性T淋巴细胞(CTL)导致感染的靶细胞的细胞溶解(D)。活化的CD4 + T细胞也诱导巨噬细胞活化和炎症反应(e)。一旦感染被清除,大部分活化的T细胞发生凋亡,剩下的细胞变成记忆T细胞,保持CD44(f)的高表达。因此,CD44是一个标记,指示先前的免疫反应。同时,造血干细胞分化成B,B和未成熟的B细胞(一)。未成熟的B细胞到达脾经外围进一步发育为成熟B细胞。部分活化的CD4 + T细胞分化成为t-follicular-helper(TFH)细胞窝藏一个归巢受体CXCR5,成熟的幼稚B细胞(MNB)与TFH(G)。B细胞活化后不久,激活B细胞接受卵泡通路或滤泡外途径。通过性途径,长寿的血浆细胞产生高亲和力抗体的记忆B细胞表达CD27将产生(H)。滤泡外途径会产生短暂的血浆细胞产生低亲和力的抗体(I)。
Lactobacillus casei Zhang (干酪张)是2002于内蒙古锡林郭勒大草原43份传统发酵酸马奶样品中的243株乳酸菌中筛选出的1株益生菌,具有降血脂、免疫调节、抗氧化、拮抗肠道病原菌生长等益生功能。也是我国第一株完成全基因组测序的乳酸菌,标志着我国益生乳酸菌的研究进入了基因组时代。
科拓恒通推出的益适优系列益生菌产品,复合多株经严格科学验证的益生菌种,是国家队运动员备战保障产品,国家队运动员每天都在补充的益生菌,产品安全有保障。益适优中含有的核心菌株分离来源清晰、研究数据翔实、临床功效显著,益适优的专利加工技术可以保障产品在货架期内功效不受影响,产品功效有保障。
天猫搜索“益适优”或直接点击下方蓝字即可购买哦!
点击蓝字
立即购买
扫描上面二维码关注我哦!

