搜索
首页
大数快讯
大数活动
服务超市
文章专题
出海平台
流量密码
出海蓝图
产业赛道
物流仓储
跨境支付
选品策略
实操手册
报告
跨企查
百科
导航
知识体系
工具箱
更多
找货源
跨境招聘
DeepSeek
首页
>
2021年普通高等学校招生全国统一考试模拟考试卷及答案(数学)
>
0
0
2021年普通高等学校招生全国统一考试模拟考试卷及答案(数学)
新课改研修平台
2021-01-23
0
导读:【八省联考试卷含答案】2021年普通高等学校招生全国统一考试模拟卷(数学)
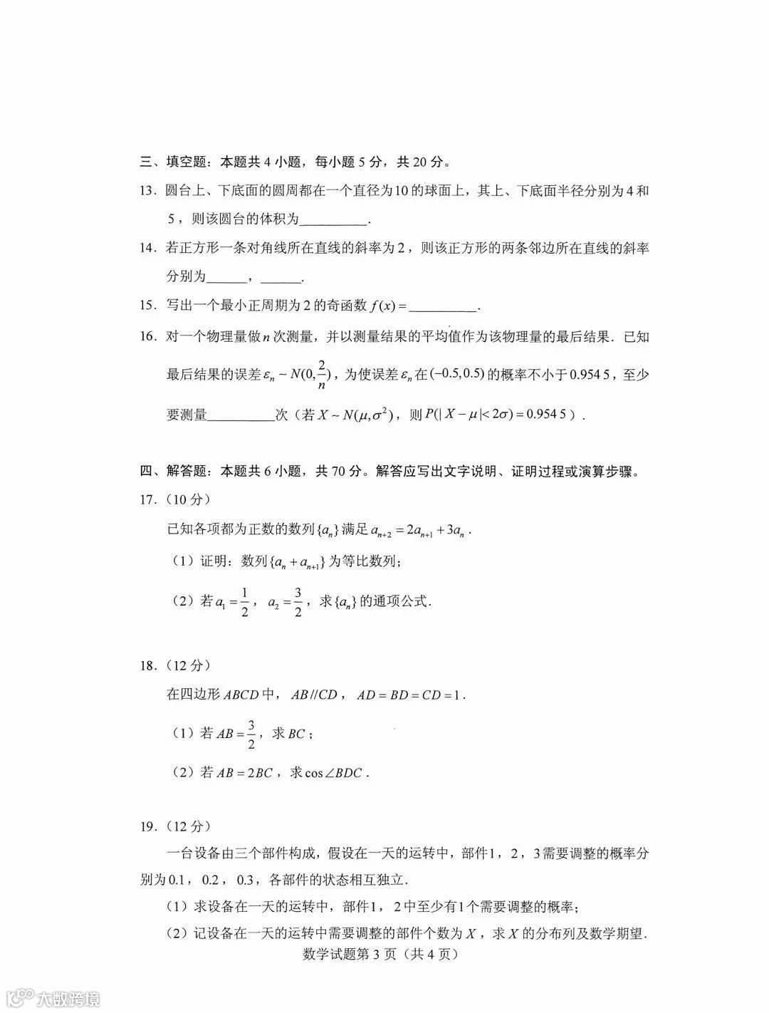
数学试题
点击下方图片了解"新高考备考优质资源"
↓↓↓
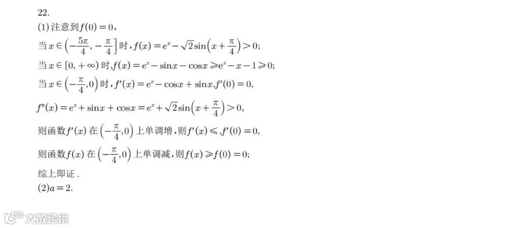
数学答案
接下来还有2天考试,具体安排如下:
最后,祝愿考生考出风格,考出水平,考出成绩
!
【声明】内容源于网络
0
0
新课改研修平台
秉承“服务教师,心系未来”的理念,聚焦新课程、新教学、新高考领域,依托国家课标组核心专家团队的师资资源和研究成果,提供”核心素养教学“领域的优质资源,为湖南省基础教育阶段的学校量身定做全面的一站式教育解决方案。
内容
194
粉丝
0
关注
在线咨询
新课改研修平台
秉承“服务教师,心系未来”的理念,聚焦新课程、新教学、新高考领域,依托国家课标组核心专家团队的师资资源和研究成果,提供”核心素养教学“领域的优质资源,为湖南省基础教育阶段的学校量身定做全面的一站式教育解决方案。
总阅读
40
粉丝
0
内容
194
在线咨询
关注