搜索
首页
大数快讯
大数活动
服务超市
文章专题
出海平台
流量密码
出海蓝图
产业赛道
物流仓储
跨境支付
选品策略
实操手册
报告
跨企查
百科
导航
知识体系
工具箱
更多
找货源
跨境招聘
DeepSeek
首页
>
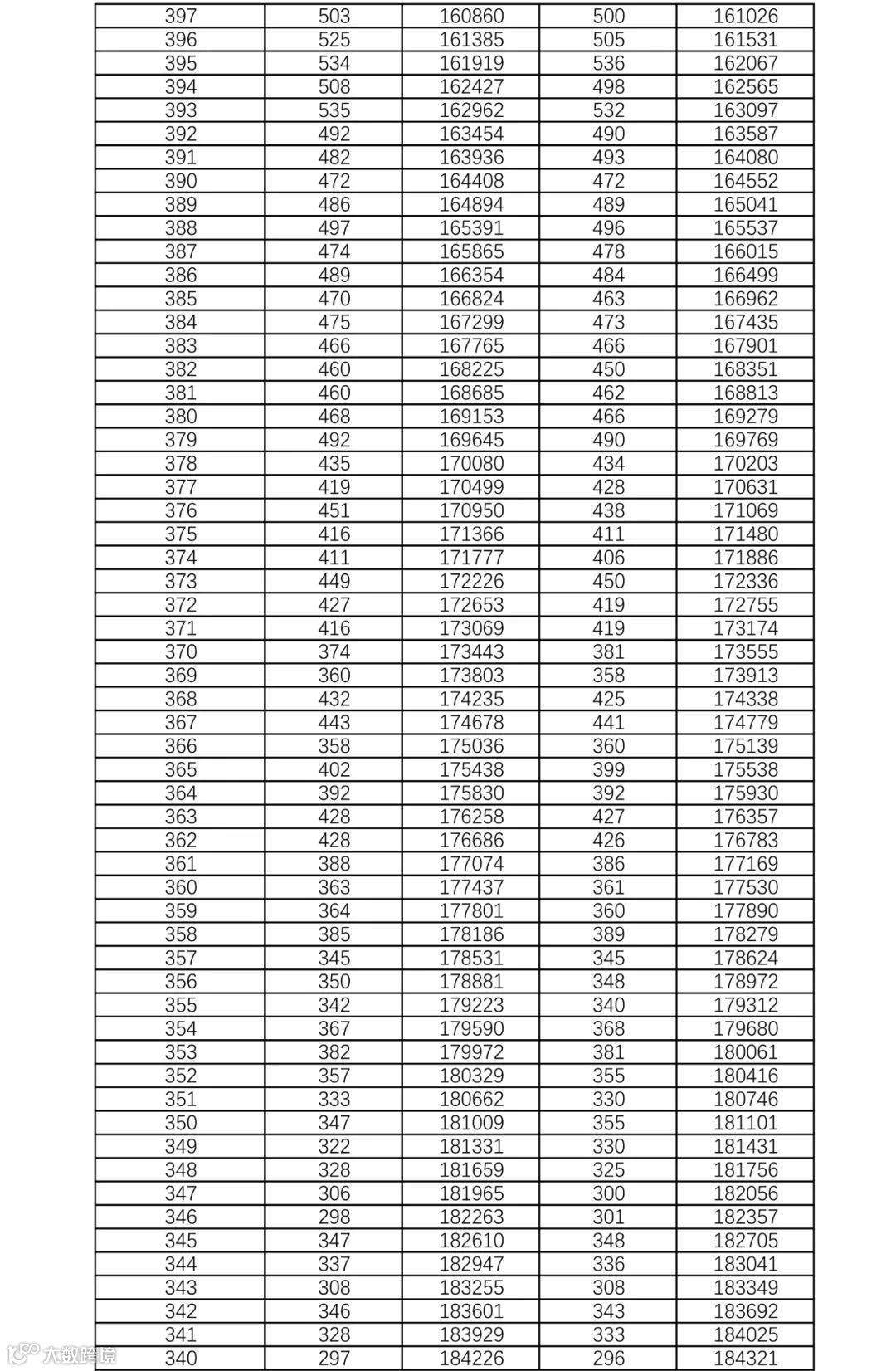
重要|湖南省2021年普通高考档分1分段统计表(物理科目组合)
>
0
0
重要|湖南省2021年普通高考档分1分段统计表(物理科目组合)
湖湘高教考学
2021-06-25
1
关注我们|关注高考
FOLLOW US
(点击可查看大图)
信息来源:湖南考试招生
•如需转载请注明来源•
你
“在看”
我吗?
【声明】内容源于网络
0
0
湖湘高教考学
新高考、单招、专升本
内容
330
粉丝
0
关注
在线咨询
湖湘高教考学
新高考、单招、专升本
总阅读
117
粉丝
0
内容
330
在线咨询
关注