

目前,各大临床实践指南均推荐合适的慢性乙型肝炎(CHB)患者将功能性治愈或临床治愈(定义为HBsAg清除,伴或不伴抗-HBs血清学转换)作为理想的治疗终点。近年来,中国CHB功能性治愈研究的证据不断积累。2019年7月,由重庆医科大学第二附属医院任红教授担任客座编辑,Journal of Viral Hepatology(Volume 26,Issue S1)专刊发表了“中国治愈乙肝的最新研究和展望”系列文章。
https://onlinelibrary.wiley.com/toc/13652893/2019/26/S1
任红教授:根除慢性乙肝之路
在过去的30年里,随着抗HBV治疗的发展,以及强效低耐药药物,如替诺福韦(TDF)和恩替卡韦(ETV),被推荐为一线治疗方案,乙肝病毒的复制和肝脏炎症得到了有效控制。
然而,对于大多数接受TDF或ETV治疗的患者来说,因为cccDNA的存在不能轻易终止治疗。因此,治疗的主要目标是提高生存率和生活质量,降低肝细胞癌(HCC)发生风险。目前,所有权威临床实践指南均建议符合条件的患者应追求功能性治愈作为理想的治疗终点,即HBsAg清除,伴或不伴HBsAg血清学转换。HBsAg清除后显示HBV复制、蛋白质表达得到有效抑制,同时降低了疾病进展和HCC发展的风险。
在开发新药的同时,现阶段新的治疗策略显得更为实用。近50年来干扰素(IFN)因为其完全不同于核苷(酸)类似物(NA)的免疫机制,成为抗病毒治疗的基石。在过去的5年里,有大量研究对IFN和NA的初始联合策略或NA治疗后IFN序贯/联合策略进行了探索,这些研究显示IFN和NA联合可提高功能性治愈率,改善肝脏组织学和肝纤维化。这些有益的经验可以使我们坚定目标,朝根治乙肝的目标迈进。
第1篇:聚乙二醇干扰素-α治疗对慢乙肝患者获得功能性治愈和预防肝癌发生风险的效果
任红教授等综述了基于PegIFN-α的治疗方案对CHB患者获得功能性治愈和降低HCC发生风险的效果。
国内外临床实践指南均推荐PegIFN-α单药治疗作为CHB患者的一线治疗方案,尤其适合于期望限定疗程的年轻患者。临床研究表明,HBeAg阳性CHB患者应用PegIFN-α治疗48周,停药后24~48周时,HBsAg清除率为1.2%~6.3%,停药后3年时,HBsAg清除率为3%~8%;HBeAg阴性CHB患者应用PegIFN-α治疗48周,停药后1年、3年和5年时的HBsAg清除率分别为5%、9%和12%。将PegIFN-α的疗程延长至96周,可以进一步提高HBsAg清除率。
对于应用NA长期治疗,已经获得病毒学抑制的患者,加用或序贯PegIFN-α治疗,可能促使HBeAg血清学转换和HBsAg下降或清除。应用NA治疗的HBeAg阳性患者获得病毒抑制,HBeAg水平较低或发生HBeAg清除,并且HBsAg水平<1500 IU/mL或1000 IU/mL者,加用或序贯PegIFN-α治疗,可以获得较高的HBsAg清除率(22.2%~41.7%)。对于NA治疗后获得病毒抑制的HBeAg阴性患者,基线HBsAg水平<3 log IU/mL和PegIFN治疗12周时HBsAg下降,可以预测HBsAg清除。
荟萃分析表明,应用包含IFN的方案治疗后,CHB患者的HCC发生风险降低34%~41%,特别是对于高风险患者,基于PegIFN-α治疗方案预防HCC的效果优于NA。
参考文献:Ren H, Huang Y. Effects of pegylated interferon-based therapies on functional cure and the risk of hepatocellular carcinoma development in patients with chronic hepatitis B. J Viral Hepat. 2019; 26(Suppl. 1): 5-31.
第2篇:应用干扰素-α治疗获得HBsAg清除的HBeAg阴性慢乙肝患者维持功能性治愈的预测因素
CHB患者经抗病毒治疗后达到HBsAg清除,可认为是获得了功能性治愈,然而,尚不清楚停止治疗后功能性治愈的持续性。首都医科大学北京地坛医院谢尧、李明慧等在该期杂志上发表的一项研究表明,对于应用干扰素治疗获得HBsAg清除的HBeAg阴性CHB患者,巩固治疗时间≥12周和产生抗-HBs水平较高,为停药后持续功能性治愈率较高的预测因素。
该项前瞻性研究纳入应用(Peg)IFN-α治疗,获得功能性治愈,治疗结束后12周之内的176例HBeAg阴性CHB患者,在48周随访期间,每3个月进行HBV标志物和临床生化指标检测,对功能性治愈的持续性进行评估。
结果,随访48周时,患者的持续功能性治愈率为86.63%,累积HBsAg复阳率和HBV DNA复发率分别为12.79%和2.33%。获得HBsAg清除后,巩固治疗时间≥12周与<12周的患者相比,维持功能性治愈率显著提高(90.00%对比76.19%,P=0.022),HBsAg复阳率显著降低(9.23%对比23.81%,P=0.014)。产生抗-HBs者维持功能性治愈率显著高于未产生抗-HBs的患者(89.86%对比73.53%,P=0.012)(图1)。巩固治疗时间≥12周[OR:16.478(95% CI:2.135~127.151;P=0.007)]和抗-HBs水平较高[OR:8.312(95%CI:1.824~37.881;P=0.006)]为获得持续功能性治愈的独立预测因素。

图1:(A)巩固治疗时间和功能性治愈的持续性。巩固治疗时间≥12周和<12周的患者相比,持续功能性治愈率显著较高,HBsAg逆转率显著较低(P值均<0.05);(B)抗-HBs血清学转换和功能性治愈的持续性。发生抗-HBs血清学转换和仅发生HBsAg清除、未发生抗-HBs血清学转换的患者相比,持续功能性治愈率显著较高(89.86%对比73.53%,P=0.012),HBsAg逆转率显著较低(P<0.05)。
(图引自正式发表文章)
参考文献:Li M-H, Yi W, Zhang L, et al. Predictors of sustained functional cure in hepatitis B envelope antigen-negative patients achieving hepatitis B surface antigen seroclearance with interferon-alpha–based therapy. J Viral Hepat. 2019; 26(Suppl. 1): 32-41.
第3篇:核苷(酸)类似物长期治疗慢乙肝进展期肝纤维化患者加用聚乙二醇干扰素-α治疗的肝脏组织学应答
应用NA长期抗病毒治疗,可以改善CHB患者的肝脏组织学,然而,相当比例的患者仍然难以达到肝纤维化的缓解或逆转。复旦大学附属华山医院张文宏、浙江大学附属第一医院陈智等在该期杂志上发表的一项研究表明,对于应用NA长期治疗的CHB进展期肝纤维化患者,加用PegIFN-α治疗,可以使肝纤维化和炎症显著消退。
该项回顾性研究纳入50例应用NA治疗至少1年,仍然存在进展期肝纤维化或肝硬化(纤维化≥ 3期)的CHB患者,加用PegIFN-α治疗48周前后,进行配对肝活检,基线、治疗24周和48周时以及长期随访期间进行实验室检测,对加用PegIFN-α治疗是否可以促使这些患者的肝纤维化消退进行评估。
在参与本研究的50名患者中,联合PegIFN-α治疗后,34名患者(68.0%)的肝脏纤维化明显减轻,42名患者(84.0%)的炎症明显减轻(图2)。相比组织学无反应者,组织学有显著改善的患者显示HBsAg下降更快,在长期随访期间HBeAg和HBsAg累积清除率更高。

图2.从基线至加用PegIFN-α治疗48周时的组织学变化分布
(图译自正式发表文章)
参考文献:Li G, Zhang Q, Yu Y, et al. Histological responses of peginterferon alpha add-on therapy in patients with chronic hepatitis B with advanced liver fibrosis after long-term nucleos(t)ide analog treatment. J Viral Hepat. 2019; 26(Suppl. 1): 50-58.
第4篇:慢乙肝初治患者对应用核苷(酸)类似物和聚乙二醇干扰素-α联合治疗的组织学应答
CHB患者应用NA单药治疗,可以有效抑制HBV复制和逆转纤维化,然而,血清学应答率并不满意。对应用NA和PegIFN-α联合治疗获益进行评估的研究结果不一,并且主要关注于血清学转归,尚无真实世界的实践研究对联合治疗的组织学应答进行评估。
复旦大学附属华山医院张文宏、张琪然等在该期杂志上发表的一项研究表明,NA和PegIFN-α联合治疗与NA单药治疗组的生化学、病毒学和血清学应答率相似,但在联合治疗组患者的应答更快、更强。这些结果表明,NA和PegIFN-α可用作初治患者的起始治疗。因样本量较小,结果需要进一步研究以确认。
该项回顾性研究纳入40例接受NA单药治疗或NA + PegIFN-α联合治疗的CHB患者,对治疗48周时的组织学应答进行评估,并且对单药治疗和联合治疗组以及组织学应答和无应答组的血清学特征进行分析比较。
治疗48周时复查肝活检,结果显示,单药治疗组和联合治疗组肝脏严重炎症和纤维化的患者比例均显著减少(P值均<0.0001),几乎所有患者的肝脏炎症明显减轻(两组的患者比例均为87.5%),但有一亚组患者无显著减轻或者发生进展(两组的患者比例分别为33.3%和31.2%)。治疗24周和48周时的ALT复常与组织学应答有关(P值分别为0.011和0.049)。
治疗48周时,几乎所有患者均获得ALT复常,并且维持病毒学应答(SVR),单药治疗组和联合治疗组的ALT复常率分别为90%和100%(P>0.999),SVR率分别为87.5%和100%(P=0.262),联合治疗组获得病毒学应答的时间更早,长期随访期间,累积SVR率更高(P=0.0129)。长期随访4年,NA + PegIFN-α联合治疗组的HBeAg累积转阴率高,因样本量小,两组差异无统计学意义(图3)。

图3.治疗期间的累积持续病毒学应答(SVR)和长期随访期间的累积HBeAg清除率和HBeAg血清学转换率:(A)随访1.5年期间的累积SVR率;(B)随访4年期间的累积HBeAg清除率。
(图引自正式发表文章)
参考文献:Zhang Q, Li G, Yu Y, et al. Histological response to combination therapy with nucleos(t)ide analogs and peginterferon alpha in treatment-naïve chronic hepatitis B patients. J Viral Hepat. 2019; 26(Suppl. 1): 59-68.
第5篇:HBeAg阳性慢乙肝儿童患者应用聚乙二醇干扰素长期治疗的效果和安全性
CHB患者应用PegIFNα-2a治疗后的HBsAg清除率高于NA,然而,国内应用PegIFNα-2a治疗CHB儿童患者的研究尚少。云南省第二人民医院刘云华等在该期杂志上发表的一项研究表明,CHB儿童患者应用PegIFNα-2a治疗,安全、有效,可望获得持续应答,有助于更多患者获得“临床治愈”。
2009年2月~2015年2月,该项研究纳入118例CHB儿童患者(2~16岁),79例为男性,应用PegIFNα-2a治疗52周,随访至104周。治疗和随访期间,定期检测ALT、HBV DNA和HBV血清学标志物等指标,对PegIFNα-2a用于治疗CHB儿童患者的效果和安全性进行评估。
结果,治疗结束时,HBeAg清除率和血清学转换率分别为53.8%和49%,随访结束时,HBeAg清除率和血清学转换率均为72.1%,持续应答率分别为98.2%和98%。治疗结束时,HBsAg清除率和血清学转换率分别为48.1%和47.1%,随访结束时,HBsAg清除率和血清学转换率分别为53.8%和52.9%,持续应答率分别为94%和95.9%。治疗结束和随访结束时,HBV DNA检测不出率分别为89.4%和90.4%,持续应答率为97.8%(表1)。
随访期间,2例(2.3%)患者发生病毒学复发,未发生临床复发。对基线ALT水平≤ 2倍正常值上限(ULN)和基线ALT水平> 2 ULN的患者进行比较,治疗结束和随访结束时,两组的HBsAg清除率差异均没有统计学意义[分别为51.3%对比39.3%(P=0.276)和53.9%对比53.6%(P=0.973)]。
单变量回归分析表明,基因B型HBV感染、体重<25 kg或者为25~45 kg以及治疗24周时HBsAg下降>1 log,为随访结束时获得HBsAg清除的独立预测因素。
CHB儿童患者应用PegIFNα-2a治疗的安全性良好,治疗期间,不良事件发生情况与之前的PegIFN临床研究报告相似。
表1. PegIFN-α治疗结束和随访结束时的效果

(图引自正式发表文章)
参考文献:Liu Y, Li H, Yan X, Wei J. Long-term efficacy and safety of peginterferon in the treatment of children with HBeAg-positive chronic hepatitis B. J Viral Hepat. 2019; 26(Suppl. 1): 69-76.
第6篇:干扰素-α治疗慢乙肝儿童患者可获得较高的HBsAg血清学转换率
广州市第八人民医院范慧敏等在该期杂志上发表的一项研究表明,CHB儿童患者应用PegIFNα-2a治疗48周,可获得较高的HBsAg血清学转换率,尤其是低龄儿童(3~6岁)患者的治疗应答效果更佳。
该项回顾性研究总共纳入41例CHB儿童患者,年龄为3~17岁,21例患者应用PegIFNα-2a治疗48周,20例患者未接受治疗,作为对照组,对CHB儿童患者应用PegIFNα-2a治疗的效果进行评估。
结果,应用PegIFN-α治疗48周时,治疗组的HBV DNA检测不出率、HBeAg清除率和HBsAg清除率均显著高于未经治疗的对照组(P值均<0.05)。PegIFN-α治疗组有62%(13/21)的患者达到HBV DNA检测不出,HBeAg清除率为66.7%(14/21),HBsAg清除率高达52%(11/21),47.6%(10/21)的患者产生抗-HBs,以上结果均显著高于对照组(图4)。
进一步分析表明,幼童(3~6岁)和大童(10~17岁)两组患者的抗-HBs阳转率分别为72.7%(8/11)和20%(2/20),表明幼童对PegIFNα-2a治疗的应答效果更佳(图5)。

图4. CHB儿童患者基线(W0)和48周时(W48)的转归情况
(图译自正式发表文章)

图5. CHB幼童(3~6岁)和大童(10~17岁)的基线(W0)情况和48周时(W48)的转归
(图译自正式发表文章)
参考文献:Fan H, Lin L, Jia S, et al. Interferon alpha treatment leads to a high rate of hepatitis B surface antigen seroconversion in Chinese children with chronic hepatitis B. J Viral Hepat. 2019; 26(Suppl. 1): 77-84.
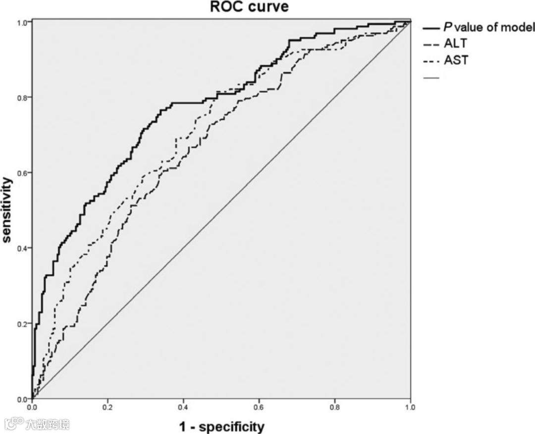
第7篇:应用logistic回归模型可以准确预测ALT水平正常或轻度升高HBeAg阴性慢乙肝患者的肝脏炎症坏死
CHB患者存在肝脏炎症坏死是抗病毒治疗的指征,然而尚无合适的无创性指数用于诊断肝脏炎症坏死。首都医科大学北京地坛医院谢尧教授等在该期杂志上发表的一项研究表明,对于ALT水平正常或轻度升高的HBeAg阴性CHB患者,应用他们建立的logistic回归模型(LRM),有助于诊断肝脏炎症坏死。
该项研究纳入接受肝穿组织学检查、ALT水平正常或轻度升高的HBeAg阴性CHB患者,组织学活动指数≥4定义为肝脏炎症坏死,基于和肝脏炎症坏死独立相关的参数,建立LRM,用于预测这类患者的肝脏炎症坏死。
结果,总共纳入550例ALT水平正常或轻度升高的HBeAg阴性CHB患者,36.73%存在肝脏炎症坏死,ALT水平升高者存在肝脏炎症坏死的患者比例为52.49%,ALT水平用于预测肝脏炎症坏死的受试者工作特征曲线下面积(AUC)为0.655(95%CI:0.609~0.702),联合HBV DNA水平≥2000 IU/mL和ALT水平升高,用于预测肝脏炎症坏死的AUC为0.618。
多变量logistic回归分析表明,ALT、AST、白蛋白(ALB)、碱性磷酸酶(ALP)、γ-谷氨酰转肽酶(GGT)和凝血酶原活动度(PTA)等参数与肝脏炎症坏死独立相关。基于这些参数,建立用于预测肝脏炎症坏死的LRM:Y = 9.871 +0.018 × ALT + 0.033 × AST−0.182 × ALB + 0.016 × ALP + 0.012 × GGT−0.057 × PTA,用于预测肝脏炎症坏死的AUC提高至0.769(95% CI:0.723~0.815),Youden指数为0.519,诊断准确度为75.3%。以LRM≥0.7作为切点值,用于预测肝脏炎症坏死的特异度为97.4%,阳性预测值为85.0%,以LRM<0.15作为切点值,用于排除肝脏炎症坏死的阴性预测值为90.8%(表2、图6)。
表2. ALT、AST和HBV DNA等临床参数以及LRM用于预测ALT水平正常或轻度升高HBeAg阴性CHB患者存在肝脏炎症坏死的准确性

(图引自正式发表文章)

图6:LRM用于预测ALT水平正常或轻度升高HBeAg阴性CHB患者存在肝脏炎症坏死的性能优于ALT或AST水平,ROC分别为0.769对比0.655和0.703。
(图引自正式发表文章)
参考文献:Xie Y, Yi W, Zhang L, et al. Evaluation of a logistic regression model for predicting liver necroinflammation in hepatitis B e antigen‐negative chronic hepatitis B patients with normal and minimally increased alanine aminotransferase levels. J Viral Hepat. 2019; 26(Suppl. 1): 42-49.
第8篇:接种乙肝疫苗后应答的肝移植受者可谨慎停用HBIG和(或)核苷(酸)类似物
长期应用NA和乙肝免疫球蛋白(HBIG)治疗,是HBV相关肝病患者肝移植后预防HBV再感染的标准方案,然而,该方案涉及安全性以及高花费等问题,并且尚不清楚这一预防性治疗方案应该持续多久,接种乙肝疫苗或可作为肝移植受者预防HBV再感染有前景的策略。首都医科大学北京佑安医院段斌炜等在该期杂志上发表的一项研究表明,HBV相关肝病肝移植受者对接种乙肝疫苗产生应答后,谨慎停用HBIG和(或)NA,是安全可行的策略。
该项研究纳入HBV相关肝病肝移植后,应用HBIG和NA预防性治疗至少18个月的肝移植受者,于0、1、2和6个月时,各注射一针(20 μg)乙肝疫苗,应答的定义为抗-HBs滴度升高,超过平均基线水平100%,持续3个月以上,或者血清抗-HBs滴度一直维持较高水平。应答者停用HBIG,部分受者抗-HBs滴度稳定后,停用NA,定期复查肝功能、抗-HBs滴度和HBV DNA水平等,对接种乙肝疫苗应答后停用HBIG和(或)NA策略的安全性和长期效果进行评估。
2005年1月~2016年12月,317例肝移植受者接种乙肝疫苗,78例(78/317,24.6%)为应答者,所有应答者均停用HBIG,其中36例(36/78,46%)继续观察,抗-HBs滴度达到平稳水平时,停用NA,4例患者同时停用HBIG和NA。
2017年12月31日结束随访,4例受者失访,1例受者死于胆道并发症。停用HBIG和NA的平均时间分别为66.6(1~132)和60.4(2~132)个月,时间最长者超过10年。7例受者由于担心HBV再感染,重新开始抗病毒治疗。
在36例停用HBIG和NA的应答者中,4例(11.1%)发生HBV再感染(重新出现HBsAg),检出HBV DNA,应用实时PCR,20例可于外周血单个核细胞(PBMC)和肝内检出HBV DNA和cccDNA,进一步检测表明,发生HBV再感染与逃逸突变有关。仅停用HBIG组无HBV复发,PBMC和肝内未检出HBV DNA或cccDNA。无受者发生死亡或移植肝失功。
参考文献:Duan B-W, Tian L-T, Lin D-D, et al. Long-term consequences of stopping HBIG and/or nucleotide analogues in liver transplant recipients administered hepatitis B vaccination to prevent HBV reinfection. J Viral Hepat.2019; 26(Suppl. 1): 85-89.
第9篇:血清蛋白表达模式检出HBeAg阴性慢乙肝患者的一种新型病毒蛋白
浙江大学附属第一医院陈湖光等在该期杂志上发表的一项研究对HBeAg阴性CHB患者的病毒蛋白表达变化进行分析,结果表明,4140 m/z峰值生物标志物为HBV的关键指标,可望用于HBeAg阴性CHB患者的诊断。
研究人员将160例慢性HBV感染患者分为3组,分别为71例HBeAg阴性CHB患者(A组)、58例HBeAg阴性的非活动性携带者(B组)和31例HBeAg阳性CHB患者(C组),对照组包括22例正常健康个体(D组),应用表面增强激光解析/电离飞行时间的质谱法(SELDI-TOF-MS),对所有血清标本进行检测,分析HBeAg阴性CHB患者的病毒表达变化。
结果表明,HBeAg阴性CHB组的4140 m/z峰值生物标志物明显增加,与HBeAg阴性的非活动性携带者组相比,差异有统计学意义[分别为(1295.55 ± 745.87)对比(896.99 ± 534.86),P=0.013](图7),这一峰值生物标志物与HBV DNA复制密切相关,可能促使HBeAg阴性CHB的发病。

图7.不同分组m/z 4140处峰值强度的比较:从上往下依次为D、A、B和C组。红线代表m/z 4140生物标志物。
参考文献:Chen H, Luo S, Lu W, et al. Serum protein expression patterns in detecting a new viral protein in HBeAg-negative chronic hepatitis B. J Viral Hepat. 2019; 26(Suppl. 1): 90-97.
来源:JVH官网
(来源:《国际肝病》编辑部)


