
众所周知,非酒精性脂肪性肝病(NAFLD)是成人心血管代谢疾病的一个主要危险因素,那么健康儿童的肝脏脂肪负担是否也与心血管代谢风险因素有关?目前尚不能确定。近日,Hepatology杂志上发表了荷兰鹿特丹大学医学中心Geurtsen ML等人的相关研究,结果提示:肝脏脂肪含量高与心血管疾病风险因素的相关性在儿童期就已出现,疾病预防需从娃娃抓起。
这项基于人口的前瞻性队列研究共纳入3170名10岁儿童,研究者对儿童期的肝脏脂肪堆积和非酒精性脂肪性肝病是否已经与心血管代谢风险因素相关进行分析。通过磁共振成像测量肝脂肪分数,将NAFLD定义为肝脏脂肪分数≥5.0%。测量儿童体质量指数(BMI)、血压,以及胰岛素、葡萄糖、脂质和C反应蛋白水平。心血管代谢集群被定义为具有三个或更多如下风险因素:内脏脂肪量高、血压高、低高密度脂蛋白胆固醇或高甘油三酯,以及胰岛素水平高。
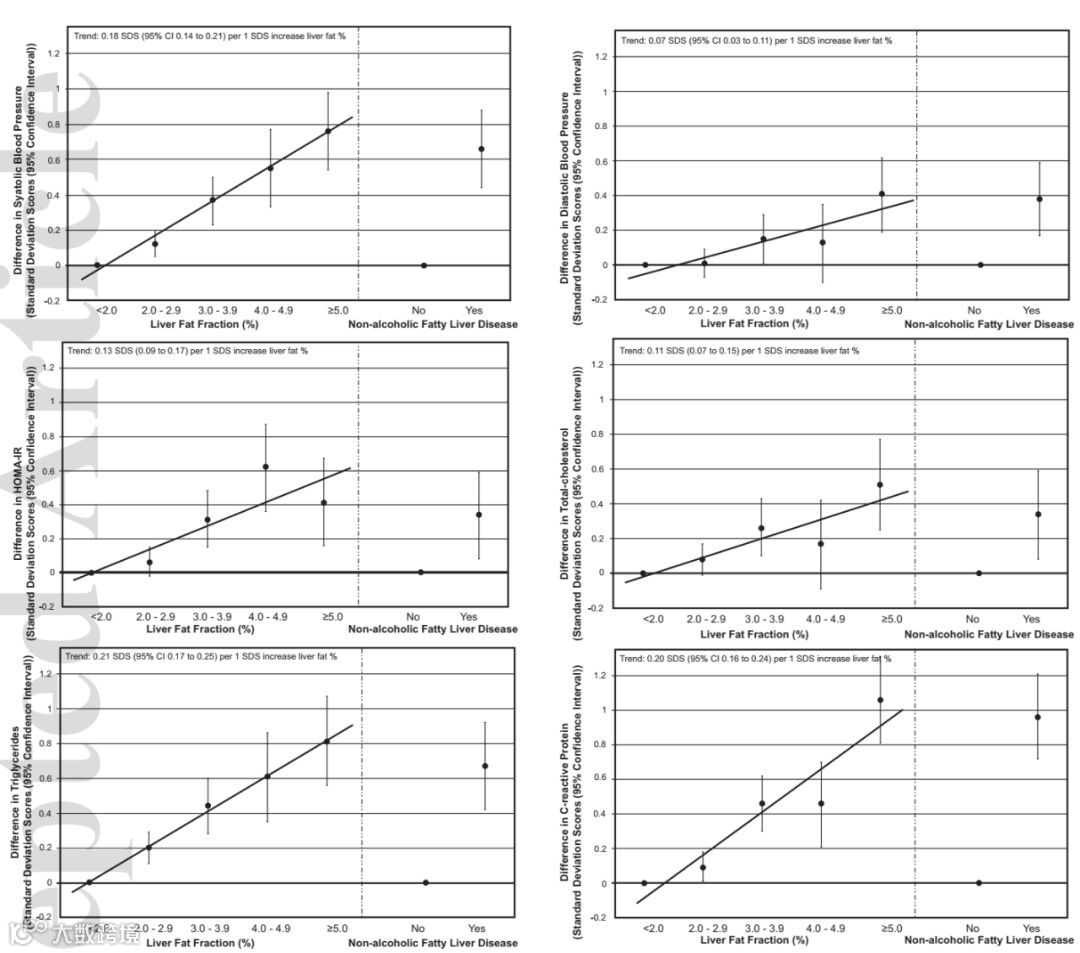
正常体重、超重和肥胖儿童中NAFLD的患病率分别为1.0%、9.1%和25.0%。NAFLD和正常范围内的肝脏脂肪量较高(肝脏脂肪分数<5.0%),均与血压升高、胰岛素抵抗、总胆固醇、甘油三酯和C反应蛋白浓度相关(P值<0.05),详见图1。与肝脏脂肪分数<2.0%的儿童相比,肝脏脂肪分数≥5.0%的儿童发生心血管代谢集群的概率最高[比值比为24.43(95%CI:12.25~48.60)]。在调整了体重指数之后,这种相关性仍然相似,并且在超重和肥胖儿童中趋向于更强。
因此,研究者认为:在儿童期,肝脏脂肪含量较高就已经与心血管代谢风险因素存在相关性,这种相关性与BMI无关,在超重和肥胖儿童中往往更强。所以,未来着重于改善成年人或老年人心血管代谢结局的预防策略,可能需要关注学龄儿童期就已出现的肝脏脂肪代谢问题。

图1.学龄儿童中肝脏脂肪分数和NAFLD与心血管代谢风险因素的相关性
(图引自发表文章)
原文链接:Geurtsen ML, Santos S, Felix JF, et al. Liver Fat and Cardio‐metabolic Risk Factors among School Age Children. Hepatology. 2019 Nov 4.
(来源:《国际肝病》编辑部)


