
各位专家同道好,本期CHESS月评(第四十一期)将分享上月PubMed发表的门静脉高压诊疗领域6篇文献(诊断监测6篇)。本期特邀月评专家:中国医科大学附属第一医院放射科刘屹教授、中山大学附属第五医院感染病科黄明星教授和中山市人民医院检验医学中心检验科王伟佳教授。


Hamesch K, Guldiken N, Aly M, et al. Serum keratin 19 (CYFRA21-1) links ductular reaction with portal hypertension and outcome of various advanced liver diseases. BMC Med 2020
角蛋白家族(Ks)为组织特异性蛋白质。其中K19是应用最广泛的胆管反应(DR)标志物,存在于胆管细胞和肝祖细胞中;K18在肝细胞中产生,基于K18的血清片段是常用的肝病预测因子。而通过CYFRA21-1检测的基于K19的血清片段已确定为肿瘤标志物,但尚未成为肝脏疾病的标志物。DR反映了肝病的潜在严重程度,因此,Hamesch K等人的研究系统评估了CYFRA21-1在不同肝病严重程度和病因中的预测价值,相关内容发表在近日出版的BMC Medicine杂志上。
该研究分析57例慢性肝病(队列1)患者的肝脏组织胆管角蛋白(K7/K19/K23)的表达。对333名不同病因的接受肝静脉压梯度(HVPG)测量的晚期慢性肝病(ACLD)的奥地利患者(队列2),231名酒精性肝硬化的法国患者(队列3)和280名住院的各种病因导致的失代偿期肝硬化的德国患者(队列4)进行血清CYFRA21-1水平测量。
结果发现,F0~F3期患者肝组织中K19水平相当,但在肝硬化患者中升高。肝脏K19 mRNA水平与其他DR特异性角蛋白的水平密切相关。在ACLD患者中,血清中CYFRA21-1的增加与存在临床显著性门静脉高压(CSPH,HVPG≥10 mmHg)[OR=5.87(2.95~11.68)]和死亡率[HR=3.02(1.78~5.13)]相关;患者中位随访22个月。在酒精性肝硬化患者中,血清CYFRA21-1水平的升高表明长期(平均随访73个月)死亡/肝移植[HR=2.59(1.64~4.09)]和HCC[HR=1.74(1.02~2.96)]的风险增加。在失代偿期肝硬化患者中,较高的血清CYFRA21-1水平可以预测患者90天的死亡率[HR =2.97(1.92~4.60)],其准确度中等(AUROC 0.64),与已建立的预后评分无关。
因此,肝硬化患者中肝K19 mRNA和血清CYFRA21-1水平升高。CYFRA21-1水平升高与CSPH的存在有关,并独立于常规的肝生化指标或评分系统,可预测患者的短期和长期死亡率。血清CYFRA21-1表达可成为一种与DR相关的新型标志物,在具有不同背景的晚期肝病患者的预后预测中有意义。

简评丨祁小龙团队
兰州大学第一医院门静脉高压研究所(中心)
胆管反应可以反映肝脏疾病的严重程度。K19是细胞角蛋白家族的成员之一,是应用最广泛的胆管反应标志物(Toivola DM, et al. Curr Opin Cell Biol 2015)。既往研究表明,K19细胞的数量与肝脏疾病的严重程度和预后相关(Sancho-Bru P, et al. Hepatology. 2012; Wendum D, et al. Hepatology 2018)。然而,这些研究仅评估了肝组织切片中胆管反应特异性角蛋白的数量,反映胆管反应程度的血清标志物是否能作为无创预测肝脏疾病的严重程度和预后的有效工具仍是当前研究关注的热点。通过CYFRA21-1检测的基于K19的血清片段已被认为是一种主要用于检测肺癌的肿瘤标志物(Guida F, et al. JAMA oncology 2018),但尚未成为肝脏疾病的标志物。
研究团队创新性地探究CYFRA 21-1与门静脉高压和各种晚期肝病预后的关系,评估了CYFRA21-1在不同肝病严重程度和病因中的预测价值。对57例不同病因肝病患者和13例健康对照的肝脏组织DR特异性角蛋白表达进行对比分析,发现肝组织K19水平在肝硬化患者中显著升高;对三个代表性晚期慢性肝病队列患者进行血清CYFRA21-1水平测量,分析发现:①肝硬化患者中血清CYFRA21-1水平升高;②CYFRA21-1水平与是否伴有临床显著性门静脉高压相关;③CYFRA21-1水平升高独立于常规的肝生化指标或评分系统,可预测患者的短期和长期死亡率。
本研究最大的亮点在于:CYFRA21-1升高与预后的相关性不受病因学、疾病严重程度和潜在混杂因素影响,在调整MELD评分、Child-Pugh评分和ACLF评分后,相关性仍然显著,表明其相对于经典评分系统的稳定的增量效益。考虑到CYFRA21-1已经广泛应用于临床常规,这个发现可能会影响临床实践。同时,本研究在以下方面值得进一步探索:①需要在特征良好的不同病程(早期/晚期)慢性肝病患者队列中研究K19肝脏表达与血清CYFRA21-1水平的相关性;②需要进一步的前瞻性研究来确定血清CYFRA21-1在不同病程(早期/晚期)慢性肝病患者队列中的诊断价值;③需要更严谨的实验设计,排除非肝源性K19的影响。
Paternostro R, Bardach C, Hofer BS, et al. Prognostic impact of sarcopenia in cirrhotic patients stratified by different severity of portal hypertension. Liver int 2020
门静脉高压(PH)和肌肉减少症在晚期慢性肝病(ACLD)患者中十分常见。但是,对于ACLD患者,PH和肌肉减少症之间的相互作用及其对患者预后和死亡率的特定和独立影响尚待系统研究。近日,来自维也纳医科大学的Paternostro R等人在Liver International杂志上发表了相关文章。
该研究连续纳入了203例ACLD且肝静脉压梯度(HVPG)≥10 mmHg且CT/MRI检查符合要求的患者[68%为男性,年龄:55±11,MELD:12(9~15)]。患者肌肉减少症的定义是在第三腰椎水平上,男性的横向腰大肌厚度(TPMT)小于12 mm/m,女性小于8 mm/m。随访期间记录了患者的肝脏失代偿和死亡率。
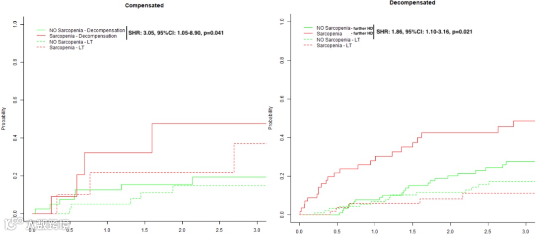
结果显示,患者中肌肉减少症的发生率为37.9%(77名),HVPG≥20 mmHg的患者有98名(48.3%)。TPMT和HVPG之间无相关性(r=0.031,P=0.66),有肌肉减少症和无肌肉减少症的患者中位HVPG并无差异(P=0.211)。在代偿期(SHR:3.05,P=0.041)和失代偿期(SHR:1.86,P=0.021)患者中,肌肉减少症与首次/进一步失代偿显著相关。此外,肌肉减少症是死亡率的重要预测指标,与HVPG无关(HVPG <20-SARC:SHR:2.25,P=0.021;HVPG≥20-SARC:SHR:3.33,P=0.001)。在对年龄、HVPG和MELD的多因素分析中,肌肉减少症是死亡率的独立危险因素(aHR:1.99,95%CI:1.2~3.3,P=0.007)。
因此,肌肉减少症对代偿和失代偿ACLD患者的临床预后都有重要影响。肌肉减少症的存在使患者死亡风险增加了一倍,而与PH的严重程度无关。

简评丨刘屹
中国医科大学附属第一医院放射科
以往研究表明肌肉减少症(肌少症)是肝移植患者预后的主要决定因素,因此本文采用第3腰椎水平腰大肌厚度(TPMT-L3)做为评价指标,通过门静脉高压程度(HVPG)分层,系统地研究了肌少症对患有不同程度临床显著性门静脉高压(CSPH)的晚期慢性肝病(ACLD)患者死亡率的影响。
研究结果表明:采用 TPMT-L3做为评价指标是评估肌少症的一种容易获得的临床方法,肌少症是ACLD患者死亡率的一个重要预测因子,而与门静脉高压的严重程度无关,即使经过年龄、门静脉压力和终末期肝病模型(MELD)等分层分析,肌少症仍然是ACLD患者死亡率的独立危险因素。
该研究结果揭示了ACLD患者的预后可能是多因素、多维度条件下共同作用的结果,因此临床监测和干预方法也应该是有针对性的多方面、多角度进行,这样才可能获得一个更科学更完善的疾病应对管理系统。
但是研究中仍然存在几个不足,除外作者本人提出的几个研究缺陷,该研究只进行了肌少症对不同程度门静脉高压的ACLD患者预后的相关性分析,并没有进行与影像成像相关的致病机制研究,在讨论部分简单提及了低睾酮这一可能性因素的作用。致病机制的研究是最终找到疾病治疗方案的决定性因素,是针对疾病的有效治疗措施研发的根本,因此临床影像学发展除去疾病的诊断、监测、预后方面的研究以外,还应该追加与影像成像相关的致病机制的研究,使影像数据能够真正成为疾病应对管理系统的不可或缺的重要参考因素。
Elkrief L, Lazareth M, Chevret S, et al. Liver stiffness by transient elastography to detect porto-sinusoidal vascular liver disease with portal hypertension. Hepatology 2020
窦性血管性肝病(PSVD)是门静脉高压症的罕见原因。当前PSVD仍然经常被误诊为肝硬化,PSVD的诊断策略需要进一步改进。在PSVD中使用瞬时弹性成像进行肝脏硬度测量(TE-LSM)的数据十分有限。近日,来自日内瓦大学的Elkrief L等人评估了TE-LSM在鉴别门静脉高压患者PSVD和肝硬化中的准确性,相关内容发表在Hepatology杂志上。
该回顾性多中心研究共纳入155例PSVD患者和273例肝硬化患者,根据VALDIG标准,比较了PSVD患者的TE-LSM与经活检证实的代偿性酒精性肝硬化(n=117)、丙型肝炎病毒(HCV)感染(n=110)或非酒精性脂肪性肝病(NAFLD)(n=46)患者的不同。入组的所有患者至少有如下的一种门静脉高压症状:胃食管静脉曲张、脾肿大、门体侧支循环建立、腹水史或血小板计数<150×109/L。
结果发现,测试队列中77名PSVD患者的中位TE-LSM值(7.9 kPa)低于酒精、HCV和NAFLD相关性肝硬化患者(分别为33.8 kPa、18.2 kPa和33.6 kPa,P<0.001)。与肝硬化患者相比,临界值10 kPa对PSVD的诊断具有97%的特异性,阳性预测值为85%。临界值20 kPa排除PSVD的敏感性为94%,阴性预测值为97%。94%的患者分类正确。在包括78名PSVD患者的验证队列中获得了更好的结果。
因此,研究证明TE-LSM<10 kPa强烈提示门静脉高压患者存在PSVD。相反,当TE-LSM>20 kPa时,PSVD的可能性很小。

简评丨黄明星
中山大学附属第五医院感染病科
窦性血管性肝病(porto-sinusoidal vascular liver disease,PSVD)是由血管性肝病兴趣组(Vascular Liver Disease Interest Group,VALDIG)提出的一种描述一组罕见的引起门静脉高压的肝血管病变,传统被称为特发性非肝硬化门静脉高压。PSVD的诊断依赖肝活检,但门静脉高压大多源于肝硬化而非PSVD,因此PSVD常被误诊为肝硬化。然而PSVD患者的治疗管理与肝硬化患者不同,PSVD的临床诊断非常重要。因此,亟需探索无创的快速鉴别PSVD和肝硬化的技术。
目前利用瞬时弹性成像(FibroScan)测量肝脏硬度(TE-LSM)TM是常规用于慢性肝病的诊断方法,也常用于评估临床显著性门静脉高压。TE-LSM小于10 kPa与临床显著性门静脉高压的低风险相关,并且TE-LSM高于20~25 kPa提示有临床显著性门静脉高压,特异性大于90%。目前尚未有TE-LSM值与PSVD中是否存在门静脉高压的研究报道。
本研究通过对酒精性肝硬化、HCV相关肝硬化和非酒精性肝硬化病例中的TE-LSM与PSVD相关性分析发现,TE-LSM<10 kpa可提示门静脉高压患者存在PSVD,而当TE-LSM>20 kPa时,患者存在PSVD的可能性很小。本研究为临床鉴别PSVD和肝硬化提供了方便快捷的方法。但本研究也存在一定局限性,如:对于恢复期肝硬化与PSVD的鉴别具有一定困难,因为PSVD的组织学特征包括不完全分隔性肝硬化,而恢复期肝硬化也有类似的改变。因此尚需TE-LSM在PSVD和肝硬化中的相关数据进一步证实。
Simbrunner B, Semmler G, Stadlmann A, et al. Vitamin A levels reflect disease severity and portal hypertension in patients with cirrhosis. Hepatol Int 2020
肝脏在脂溶性维生素的储存、代谢和体内平衡中起着关键作用。近日,来自维也纳医科大学的Simbrunner B等人研究了维生素(Vit)A/D/E的血清水平与肝病严重程度和门静脉高压(PHTN)之间的关系,相关内容发表在Hepatology International杂志上。
该研究共纳入了234例晚期慢性肝病患者[ACLD,即肝静脉压梯度(HVPG)≥6 mmHg],其中男性153名(65%),中位年龄为57.6(49.7~64.5)岁,HVPG 6~9 mmHg的患者32例(14%),10~15 mm Hg的患者66例(28%),≥16 mmHg的患者136例(58%)。患者行Vit A/D/E血清水平评估。排除存在肝细胞癌、肝前/后PHTN、TIPS或肝移植的患者。
结果发现,133名患者(57%)存在Vit D缺乏症(25-OH-Vit-D <50 nmol/L),相对于Child-Turcotte-Pugh(CTP)-A和B的患者,CTP-C患者的患病率更高(分别为47%、66%和85%;P<0.001)。Vit D水平与肝功能障碍和PHTN呈显著但微弱的相关性。227名患者(97%)的Vit E水平正常与肝功能不全或PHTN无相关性。63名患者(27%)的Vit A水平正常(>1.05 μmol/L),而58名(25%)患者轻度缺乏(0.70~1.04 μmol/L),71名患者(30%)中度缺乏(0.35~0.69 μmol/L),42名患者(18%)严重缺乏(<0.35 μmol/L)。
Vit A与HVPG(Rho=-0.409)、CTP评分(Rho=-0.646)和血清胆汁酸水平(Rho=-0.531,P均<0.001)相关。失代偿ACLD(dACLD)的患病率随Vit A缺乏的严重程度而持续增加(无:40% vs.轻度:51% vs.中度:67% vs.严重:91%患有dACLD,P<0.001)。CTP评分(每分,OR:2.46,95%CI:1.80~3.37,P<0.001)、年龄(每年,OR:0.95,95%CI:0.92~0.98,P=0.001)和胆汁酸水平升高(>10 μmol/L,OR:3.62,95%CI:1.61~8.14,P=0.002)分别与Vit A缺乏独立相关。
因此,ACLD患者存在Vit A和Vit D缺乏,但Vit E缺乏不多见。Vit A缺乏与肝功能不全、PHTN和胆汁酸水平密切相关,并与代偿性ACLD相关。

简评丨王伟佳
中山市人民医院检验医学中心检验科
肝脏在脂溶性维生素(VitA/D/E/K)的储存、代谢和稳态中起着十分关键的作用。虽然饮食摄入是各种维生素的重要(甚至是唯一)来源,但脂溶性维生素需要胆汁酸(BA)的调节来促进肠道摄取。本项研究探讨了前瞻性招募的ACLD患者维生素A、D和E缺乏症的患病率,并确定其与肝病和门静脉高压(PHTN)严重程度的关系。此外还评估了以前未报道的胆汁酸和纤维化标志物水平的关系。
本研究采用大型前瞻性队列设计,共纳入234例具有门静脉高压的晚期慢性肝病患者,首次同时描述上述患者的血清VitA/D/E状态。其发现73%的患者VitA缺乏,且患病率随着Child-Pugh分期增加而提高,并与失代偿性ACLD有关。同样,57%的患者出现VitD缺乏症,也显示出与肝病严重程度的明显关联。相反,只有3%的VitE血清水平低,且未观察到VitE水平与肝功障碍或门静脉高压严重程度相关。此外,通过探讨脂溶性维生素与血清胆汁酸水平及ELF评分之间的关系提供了新的数据,有可能为纤维化诊断的非侵入性替代参数。
该研究提示相当大比例的ACLD患者出现血清VitA和VitD缺乏,而VitE缺乏则很罕见。VitA和VitD缺乏与肝功能障碍密切相关,可能是由于晚期纤维化和/或合成功能障碍,影响这些维生素的摄取、储存和代谢。本文对未来进一步评估VitA的预后价值及其在肝病进展中的作用提供了很好的借鉴作用。

简评丨 刘屹
中国医科大学附属第一医院放射科
该研究旨在研究在不同病因肝纤维化的门静脉高压(PHTN)小鼠动物模型中,双参数双频肝脏磁共振弹性成像(MRE)预测门静脉压力的价值。研究采用剪切刚度(SS)和体积应变(VS)生成四种带有双频和单频参数的预测模型,并计算各模型预测门静脉压力的相关系数,采用受试者工作特征曲线评价四种门静脉压力预测模型的预测精度。结果显示双频测量的SS和VS预测模型在两种不同病因肝纤维化的门静脉高压小鼠动物模型中具有较高的诊断精度(AUC>0.9),而单频预测模型仅与实际门静脉压力具有较好的相关性(AUC分别为0.83和0.78)。所以,双参数双频MRE可定量评估不同病因肝纤维化情况下的门静脉压力,有助于对慢性肝病患者PHTN的初步评估和风险分层。
该研究设计的主要优点在于:①使用了双频模式进行MRE方法,探讨SS和VS在高低不同频率模式下预测门静脉压力的价值,具有一定的技术创新性。②使用了两种不同病因的门静脉高压动物模型,这减少了单一致病因素所致肝脏疾病进展过程中和肝纤维化之间的相互关系的潜在偏倚。
但是其临床应用的可行性存在以下几点尚待解决的问题:①该研究采用银针固定肝脏用以确保肝脏运动方向,在临床应用中采用何种措施进行模拟;②SS与肝硬化疾病进程具有相关性变化,在肝硬化早期主要是肝脏血流动力学改变导致SS升高,而在肝硬化晚期主要是肝脏纤维化导致SS升高,所以采用SS预测门静脉压力的临床应用价值和应用时机还需进一步研究。③在两种PHTN动物模型中,VS在低频(80 Hz)时均显著降低,然而其他临床研究结论认为VS与门静脉高压无关,所以VS的临床实用性尚待进一步证实。
Gupta I, Fenkel JM, Eisenbrey JR, et al. A Noninvasive Ultrasound Based Technique to Identify Treatment Responders in Patients with Portal Hypertension. Acad Radiol 2020
次谐波辅助压力评估(SHAPE)是基于超声造影微泡的次谐波幅度与环境压力之间存在的反比关系。近日,来自美国德雷塞尔大学的Gupta I等人研究了SHAPE监测门静脉高压患者疾病进展方面的准确性,相关研究内容发表在Academic Radiology杂志上。
使用带有4C curvi-linear探头的改进型Logiq 9扫描仪(GE,Waukesha,WI)通过Sonazoid (GE Healthcare, Oslo, Norway; FDA IND 124 465)获取患者的SHAPE数据(分别在2.5和1.25 MHz上进行发送和接收)。按照肝静脉压力梯度≥10 mmHg的标准,在178例患者中确定了21例患者存在有临床显著性门静脉高压(中位年龄59岁,12名男性)。每6.2个月重复进行一次SHAPE检查。通过肝功能检查和临床相关指标确定患者的治疗反应。
结果发现,在21名门静脉高压患者中有11名进行了成功随访,平均随访时间为6.2个月。与单一无反应组患者相比,归为治疗反应组的患者中(n=10; -4.01±3.61 dB),SHAPE信号的减少更为明显(2.33 dB;P<0.001)。该结果与终末期肝病(MELD)评分模型、改善门静脉高压的根本原因、肝功能检查改善和腹水减少的临床结果相对应。
因此,SHAPE可用于监测门静脉高压患者的病情进展,有助于临床医生对患者进行日常管理,但尚需更大规模的研究进一步验证该结论。

简评丨黄明星
中山大学附属第五医院感染病科
临床显著性门静脉高压是指肝静脉压梯度(HVPG)>10 mmHg,其与静脉曲张、食管出血、肝失代偿、术后失代偿和肝细胞癌的风险增加有关。直接测量HVPG是门静脉高压诊断的金标准,但需要特定的专业知识,且需要一定花费,难于做到在临床实践中动态监测。无创超声测量肝脏硬度弹性与测量脾脏大小和血小板计数相结合,对临床显著性门静脉高压的初步诊断具有高度预测性,但对治疗过程中HVPG变化的监测价值尚不确定。因此,临床上亟需一种可靠的、经济有效的、无创性的评估门静脉压力的方法来监测门静脉高压的治疗效果。
本研究采用SHAPE超声检查技术,旨在评估门静脉高压患者在利用SHAPE技术监测门静脉高压治疗效果中的敏感性。SHAPE新技术不依赖常规成像参数,而是利用超声造影剂的次谐波发射与环境压力之间的逆线性关系,有可能作为一种节省成本、高效的门静脉压力监测工具。
尽管SHAPE技术存在优势,本研究也有一定的局限性,如:研究随访患者仅11例,且跟踪随访患者每6个月需重复一次检测,这需要患者具有良好的依从性。总之,研发一种能够动态监测门静脉压力改变的无创技术很有前景,对于临床上治疗门静脉压力的药物研发和应用具有重要意义。
扫描二维码
浏览往期文章

(来源:《国际肝病》编辑部)


