
编者按
Late Breaking Oral Abstract Session 2
anakinra+硫酸锌vs. 激素治疗重症酒精型肝炎:一项随机对照试验
酒精性肝炎(AH)是一种一种由酒精导致的、潜在威胁生命的急性肝损伤,临床表现可从无症状的肝脏生物化学紊乱到暴发性肝衰竭或死亡,在世界范围内具有较高的发病率和病死率,但有效的治疗方法却非常有限。在2022美国肝脏研究协会(AASLD)年会上,美国印第安纳大学Samer Gawrieh等报告了重组人白介素(IL)-1受体拮抗剂——anakinra+硫酸锌(A+Z)治疗方案对比标准的激素在重症酒精性肝炎(SAH)患者的安全性和有效性。
研究背景
SAH作为酒精性肝病中的危重症,患者并发症多, 病死率高。糖皮质激素是目前重要的治疗药物,既往研究表明,激素治疗虽然可改善SAH患者的30天生存率,但却未能显著改善90天生存率。
anakinra是一种有效的抗炎药,与糖皮质激素治疗相比,其在关节炎患者中的感染率较低。在败血症和巨噬细胞活化综合征患者的治疗中已被证明是安全的。anakinra在既往II期临床研究中已显示出一定的疗效,但尚未有大型随机对照研究将anakinra与标准的激素治疗进行比较。因此,美国国家防止酒精滥用与酒精中毒研究所(NIAAA)于2020年7月至2022年8月在美国8家临床中心联合进行了该项随机、双盲、安慰剂对照试验(RCT)。
研究方法
研究纳入MELD评分20-35的成年SAH患者,随机分为两组:1)A+Z组(n=74),每日皮下注射anakinra 100 mg,持续14天,联合每日口服ZnSO4 220 mg,持续90天;2)对照组(n=73),每日口服强的松40 mg,持续30天,另给予患者与对应组相匹配的安慰剂。主要研究终点为90天的总生存率;通过log-rank检验对两个治疗组进行比较。
研究结果
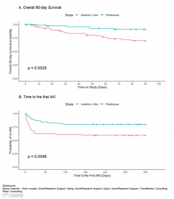
所有SAH患者平均基线MELD评分(25.0±3.6),年龄(44.7±9.9)岁,BMI(29.6±7.0)kg/m2,肌酐(0.8±0.3)mg/dL。中期分析显示,A+Z组患者90天总生存率显著低于对照组,分别为69.9% vs. 91%(P=0.0025,图1A),因而研究提前终止。A+Z组中4名患者接受了肝移植,而对照组有1名受试者进行了肝移植。A+Z组的无移植存活率显著低于对照组(P=0.0007)。

图1. 两组患者90天总生存率和无AKI生存时间的比较
安全性方面,A+Z组49名(66.2%)受试者发生严重不良事件(SAE),对照组41名(56.2%)受试者出现SAE(P=0.14)。A+Z组30名(41%)受试者发生急性肾损伤(AKI),而对照组仅15名(21%)受试者发生AKI(P=0.0046,图1B)。大多数AKI发生在研究的前30天。最终,A+Z组中15人(79%)受试者死于AKI。A+Z组23人(31%)感染新冠肺炎,对照组20人(27%)感染新冠肺炎(P=0.6)。研究期间仅发生1例(A+Z组)非致命真菌感染。
研究结论
该项研究结果显示,A+Z治疗的SAH患者90天生存率和显著低于对照组,而AKI发生率则显著高于对照组。A+Z组和对照组的90天存活率均高于SAH先前的治疗试验报告。
专家点评
原文链接:Samer Gawrieh, Srinivasan Dasarathy, Wanzhu Tu, et al. anakinra Plus Zinc Versus Prednisone for Treatment of Severe AlcoholAssociated Hepatitis: A Randomized Controlled Trial. AASLD 2022 Abstract 5007
往期回顾
AASLD五分钟丨尚佳教授:慢性乙型肝炎抗病毒治疗的“新知”与“争议”
AASLD中国之声丨华西陈恩强教授团队:两项慢乙肝真实世界研究入选,关注NA长期治疗的安全性
AASLD速递丨袁孟峰教授:乙肝新药Bepirovirsen在NA经治的CHB患者中的疗效和安全性
AASLD 2022丨脂肪肝领域成果斐然,成为本届美肝会最大亮点
先声夺人!“中国之声”唱响2022美国肝病研究学会年会
2022美肝会将至!那些不容错过的重磅研究

声明:本文仅供医疗卫生专业人士了解最新医药资讯参考使用,不代表本平台观点。该信息不能以任何方式取代专业的医疗指导,也不应被视为诊疗建议,如果该信息被用于资讯以外的目的,本站及作者不承担相关责任。
(来源:《国际肝病》编辑部)

