
药代动力学(PK)的改变可导致药物暴露的变化,从而降低药效或增加毒副作用。通过结合人群水平的PK模型、个体药物浓度和患者/临床因素等,评价药物浓度与时间的关系曲线,有助于最大限度减少毒性和提高疗效[1-3]。近期,一项发表于《抗微生物化疗杂志》(Journal of Antimicrobial Chemotherapy)上的研究提示,哌拉西林的肾毒性可能与药物谷值浓度(Cmin)升高相关[4]。
作为一种β-内酰胺/β-内酰胺酶抑制剂组合的广谱抗生素,哌拉西林/他唑巴坦经常被用于全身感染的危重症儿童,但存在肾毒性风险[5]。由于缺乏哌拉西林浓度与哌拉西林相关急性肾损伤(PTZ-AKI)之间的剂量-暴露-反应数据,哌拉西林/他唑巴坦的不良反应被归类为B型药物不良反应(属于特异性且无法预测的不良反应)[6]。既往一项针对成人的单中心回顾性研究显示,哌拉西林谷值浓度>452mg/L可增加50%的肾毒性风险[7]。
为了进一步确定在危重感染的儿童和年轻成人中,与PTZ-AKI相关的药物浓度和临床因素,该研究评估了儿科ICU收治的107例患者的哌拉西林药代动力学特征,这些患者至少接受了一剂哌拉西林/他唑巴坦治疗。在治疗开始后的24小时内评估哌拉西林血药浓度的时间曲线下面积(AUC)、峰值浓度(Cmax)、谷值浓度(Cmin)。PTZ-AKI定义为:哌拉西林/他唑巴坦治疗后>24小时发生的中重度(KDIGO 2/3期)AKI。使用Naranjo药物不良反应概率量表评价PTZ-AKI的可能性;使用多变量逻辑回归分析以确定PTZ-AKI的患者和临床预测因素。
共有15%(16/107)的患者发生了PTZ-AKI。
相较于无PTZ-AKI患者,PTZ-AKI患者的AUC水平显著更高(2042 vs 1445 mg*h/L,P=0.032),Cmax没有显著差异(282 vs 275 mg/L,P=0.080),而PTZ-AKI患者的Cmax同样显著更高(50.1 vs 1.8 mg/L,P<0.001)。
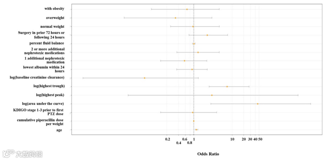
△有或无哌拉西林相关AKI患者的AUC、Cmax、Cmin。符合3个或2个标准是指基线肌酐满足:(i)无慢性肾脏病患者在入住PICU前3个月的最低肌酐值,或慢性肾脏病患者在入住PICU前3-12个月的最低肌酐值;(ii)根据既往文献报道的120 mL/min/1.73 m2(基于床旁Schwartz方程)的基线肌酐清除率估算的肌酐;(iii)住院期间最低肌酐值。
多变量逻辑回归分析显示,在哌拉西林治疗前24小时内,Cmin最高值每增加10倍,PTZ-AKI发生的优势比为5.4(95%CI:1.7-23);年龄每增加1岁,OR为1.13(95%CI:1.05-1.25)。
将16 mg/L的Cmin值用于预测PTZ-AKI,其敏感性和特异性分别为75%和59%;将64 mg/L的Cmin值用于预测PTZ-AKI,其敏感性和特异性则分别为44%和87%。
△哌拉西林相关AKI影响因素的逻辑回归分析。在哌拉西林/他唑巴坦治疗的前24小时内,对液体平衡百分比、肾毒性药物、Cmin、Cmax、AUC和单位体重哌拉西林累积剂量进行评估。KDIGO:肾脏疾病改善全球结局,PTZ=哌拉西林/他唑巴坦。
这项单中心研究确定了哌拉西林药物浓度与哌拉西林相关AKI之间的关系,特别是哌拉西林/他唑巴坦治疗前24小时的谷值浓度升高与哌拉西林相关AKI存在显著的相关性,而且可以作为预测哌拉西林相关AKI的模型。这些发现支持哌拉西林/他唑巴坦的模型化精确给药,以最大限度地提高疗效、降低肾毒性,未来可以进一步确定一个准确的浓度范围作为哌拉西林肾毒性预测的阈值。此外,需要进一步研究哌拉西林相关AKI的潜在机制以及哌拉西林/他唑巴坦与非肌酐AKI生物标志物之间的关系。
往期推荐
|
1 |
|

声明:本文仅供医疗卫生专业人士了解最新医药资讯参考使用,不代表本平台观点。该信息不能以任何方式取代专业的医疗指导,也不应被视为诊疗建议,如果该信息被用于资讯以外的目的,本站及作者不承担相关责任。

