
各位专家同道好,在本期门静脉高压1904月评中,我们将分享19年03月期间PubMed发表的门静脉高压诊疗领域6篇文献(诊断监测3篇、多学科治疗3篇)。
☞点击左下角“阅读原文”,浏览文献全文
本期CHESS特邀月评专家:上海东方肝胆外科医院肝外六科张修平、北京世纪坛医院影像科董健、西安高新医院消化科张博江。

1、β受体阻滞剂可有效阻止肝硬化临床显著性门静脉高压的失代偿(PREDESCI):一项随机、双盲、安慰剂对照的多中心试验
Villanueva C, Albillos A, Genescà J, et al.. β blockers to prevent decompensation of cirrhosis in patients with clinically significant portal hypertension (PREDESCI): a randomised, double-blind, placebo-controlled, multicentre trial. Lancet 2019.
肝硬化临床失代偿与预后不良相关。临床显著性门静脉高压(CSPH),定义为肝静脉压力梯度(HVPG)≥10 mmHg,是肝硬化失代偿最强的预测因素。来自西班牙8个中心开展的本项PREDESCI研究,旨在评估用通过β受体阻滞剂降低HVPG能否降低代偿期肝硬化CSPH患者的失代偿或死亡风险,相关成果在线发表在近期的《柳叶刀》杂志。
本研究采用β受体阻滞剂预防CPSH患者的肝硬化失代偿,是一项8家中心进行的研究者发起的双盲随机对照试验。研究共纳入代偿期肝硬化和无高危曲张静脉的CSPH患者。所有受试者都进行了HVPG测量,评估静脉注射普萘洛尔对HVPG的急性反应。应答者(HVPG下降≥10%)被随机分至普萘洛尔组(每天两次,最高160 mg)和安慰剂组,无应答者随机分至卡维地洛组(≤25 mg/天)和安慰剂组。在开放标签期间个体化决定剂量,之后由基于Web的系统集中随机化按1:1分配。主要终点是肝硬化失代偿(定义为腹水、出血或明显的脑病)或死亡的发生。由于代偿性肝硬化患者的死亡通常与肝脏无关,因此进行了意向性治疗分析,将与肝脏无关的死亡视为竞争性事件。
在2010年1月18日至2013年7月31日期间,研究者共对631名患者进行了评估,并将201例患者随机分配。其中101例患者接受安慰剂治疗、100例患者接受干预治疗(67例普萘洛尔和33例卡维地洛)。β受体阻滞剂组100例患者中的16例(16%),安慰剂组101例患者中的27例(27%)(HR 0.51,95%CI 0.26~0.97,P=0.041)出现了主要终点事件,差异的主要原因是由于腹水发病率降低(HR 0.44,95%CI 0.20~0.97,P=0.0297)。两组不良事件的总发生率相似。6名患者(β受体阻滞剂组4名)出现严重不良事件。
研究得出结论:长期应用β受体阻滞剂治疗可增加代偿性肝硬化和CSPH患者的无失代偿事件生存率,这主要是由于降低了腹水的发生率。

简评丨祁小龙
兰州大学第一医院CHESS中心
PREDESCI研究从设计到执行非常严谨,可谓“十年一剑”,为β受体阻滞剂在肝硬化一级预防的临床应用提供了重要指导价值。本研究入组受试者均为代偿期肝硬化合并CSPH(HVPG≥10 mmHg)患者,根据患者对NSBB是否有急性应答反应分为non-responder和responder两组,前者被随机分配接受卡维地洛或安慰剂,后者被随机分配接受普纳洛尔或安慰剂,研究结果显示:NSBB组中101位患者中有16位患者出现主要终点事件,少于安慰剂组的100位患者中有27位出现主要终点事件。
本研究设立了严格的纳排标准,将入组的患者限定在肝硬化代偿期合并CSPH,有效减少了混杂因素,利于明确对于代偿期CSPH患者,预防性使用NSBB药物的价值。其中最重要的发现在于NSBB通过降低门静脉压力,有助于减少腹水。此外,本研究也证明了卡维地洛显著降低门静脉压力的效果优于普萘洛尔。同时说明,普萘洛尔non-responder在接受卡维地洛治疗后同样能够临床获益,这为普萘洛尔non-responder预防性使用降低门静脉压力药物提供了指导价值。然而,本研究数据也显示,对于死亡、静脉曲张、高风险静脉曲张和感染等次要终点,试验组和对照组没有统计学差异。
如何将本研究结论转化为临床实践,这是一个值得我们马上思考的问题。首先,要筛选合适的患者,即肝硬化代偿期CSPH(HVPG≥10 mmHg)。然而,根据CHESS研究组统计,我国目前对肝硬化代偿期患者进行常规HVPG检测的医院不超过10家,即便在欧美,能做到常规检测HVPG的医院也少之又少,这凸显了研究结论在临床转化过程中的主要瓶颈。因此,本研究重点展望了在临床实践中应用无创工具进行肝硬化CSPH的筛查和诊断。在这一方向,CHESS1701无创技术(NCT03138915)的转化应用将做出重要贡献,通过CT影像组学的CSPH无创筛查技术对肝硬化患者进行有效管理。
2、机械拉伸可增加肝窦内皮细胞CXCL1表达来招募中性粒细胞并产生窦内微血栓最终促使门静脉高压
Hilscher MB, Sehrawat T, Arab Verdugo JP, et al. Mechanical Stretch Increases Expression of CXCL1 in Liver Sinusoidal Endothelial Cells to Recruit Neutrophils, Generate Sinusoidal Microthombi, and Promote Portal Hypertension. Gastroenterology. 2019.
机械力可促进肝脏门静脉高压(PHTN)和纤维化的产生。来自美国的Hilscher MB等人研究了肝脏窦状内皮细胞(LSECs)将力转换为压力和基质变化的具体机制。相关研究内容发表在近日出版的Gastroenterology杂志。
研究者从小鼠中分离出原代LSECs,并用Flexcell装置诱导机械拉伸以重现由充血引起的搏动力,采用Microarray和RNA测序的方法分析和鉴定与拉伸相关的基因表达模式。同时采用C57BL/6小鼠(对照组)、中性粒细胞弹性蛋白酶(NE-/-)或PAD4(Pad4-/-)缺失小鼠和特异性删除LSEC中Notch1(Notch1iΔEC)的小鼠进行了相关机制研究。对肝上下腔静脉(pIVCL)进行了部分结扎,以模拟小鼠充血性肝病引起的门静脉高压;部分小鼠皮下注射sivelestat或接受胆管结扎。通过数字血压分析仪测量门静脉压力,并对小鼠肝脏进行活体成像。
结果发现,与未暴露的细胞相比,暴露于机械牵张的原代LSEC中的中性粒细胞趋化因子CXCL1的表达上调。对照小鼠肝脏的活体成像显示中性粒细胞和血小板的窦状复合物和PIVCL后的NETs形成。在pIVCL和胆管结扎后,与对照小鼠相比,NE-/-和Pad4-/-小鼠的门静脉压较低,肝脏纤维蛋白较少;中性粒细胞向肝窦腔的募集可能通过促进窦内微血栓来增加门静脉压力。LSEC的RNA测序鉴定发现了机械敏感信号通路中的蛋白质,包括整合素、Notch1和钙信号传导途径,他们在机械拉伸反应中发生改变。LSEC的机械拉伸可通过由Notch调节的转录因子的整合素依赖性激活及其与机械感压钙通道的相互作用增加XCL1的表达。
因此,LSEC产生的机械敏感性血管分泌信号,可通过募集中性粒细胞并促进NETs和微血栓的形成促进PHTN。未来有可能开发针对性治疗策略以治疗PHTN。

简评丨张修平
上海东方肝胆外科医院肝外六科
门静脉高压一直是治疗慢性肝脏疾病的一大难题,对门静脉高压形成机制的探索是挖掘针对这一难题新的治疗策略的重要基础。充血性肝脏疾病、肝脏纤维化、肝血窦血栓都是门静脉高压形成的重要因素。该研究通过肝血窦内皮细胞和模拟的充血性肝脏环境探索门静脉高压形成的重要机制。研究发现趋化因子CXCL1在模拟的门静脉高压环境中显著高表达,同时会招募血窦中性粒细胞形成微血栓,进而导致门静脉高压。研究进一步发现整联蛋白和压力离子通道是造成趋化因子CXCL1升高的更深层次因素。该研究为我们治疗门静脉高压提供了新颖的治疗方向,后续对趋化因子CXCL1、整联蛋白和压力离子通道的抑制是未来门静脉高压治疗手段的探索方向。当然,对门静脉高压的后续治疗方式的开发还需要大量的基础和临床工作的探索。
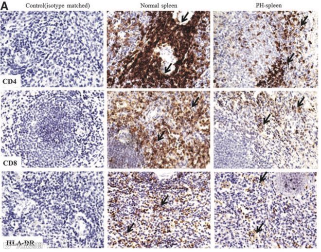
3、脾脏对乙型肝炎相关肝硬化门静脉高压患者免疫功能的影响
Huang N, Ji FP, Zhang S, et al. Spleen-Associated Effects on Immunity in Hepatitis B Virus-Related Cirrhosis with Portal Hypertension. J Interferon Cytokine Res. 2019.
近日,来自我国西安交通大学第二医院的李宗芳研究团队,探讨了乙型肝炎病毒(HBV)相关性肝硬化伴门静脉高压患者脾切除术前和术后的组织学和免疫学变化,相关内容发表在Journal of Interferon and Cytokine Research杂志上。
该研究收集了来自30名HBV相关性肝硬化患者和15名健康受试者脾切除术前和术后的外周血标本。收集15名患有HBV相关性肝硬化患者和8名因创伤而接受脾切除术对照患者的脾组织标本。通过免疫组织化学染色评估免疫效应细胞和负性免疫调节因子的表达,采用流式细胞术研究免疫表型和百分比。
结果显示,伴有门静脉高压的肝硬化患者脾脏中CD4、CD8和人白细胞抗原DR细胞出现广泛消耗,而抑制性受体程序性死亡-1(PD-1)、T细胞免疫球蛋白结构域和黏蛋白结构域-3及其配体(PD-L2和半乳糖凝集素-9)出现过表达。门静脉高压患者的外周血中CD8T细胞和NK细胞的比例显著降低,调节性T(Treg)细胞增加,以及CD4/8T细胞中PD-1的高表达。与脾切除术患者相比,脾切除术后患有PH的肝硬化患者的CD8和NK细胞比例增加,Treg细胞比例下降,外周血CD4/8T细胞中PD-1表达减少。
因此,脾脏可导致HBV肝硬化门静脉高压患者的外周耐受和免疫抑制,脾切除术可能诱导有益的免疫学变化。

简评丨张博江
西安高新医院消化科
肝硬化门静脉高压患者常合并脾大进而发展为脾功能亢进,然而脾脏作为人体重要的免疫器官,参与机体免疫-代谢-内分泌调节,故门静脉高压患者脾脏组织学变化及与之相关的免疫系统变化值得研究。
本回顾性研究选取3组队列对比,乙型肝炎相关肝硬化伴发门静脉高压患者的脾脏组织学改变体现在扩大的白髓和边缘区以及减少的淋巴滤泡。同时标本中CD4(-)、CD8(-)的表达以及HLA-DR(+)细胞较因创伤行脾脏切除术的患者脾脏标本明显减少(P<0.05),PD-1和PD-L2的表达明显增高(P<0.05),PD-L1轻度增高(P>0.05),同时门静脉高压性脾脏病变,组织中Tim-3及galectin-9呈现出高表达。此类患者外周血检测提示:CD3(+)、CD4(+)、CD8(+)的T细胞以及CD3(-)、CD56(+)、CD56 dim、CD16(+)的NK细胞占比在脾脏切除前明显低于脾脏切除术后6月。CD3(+)、CD56(+)的NKT细胞脾脏切除后占比变化不显著。CD3(-)、CD19(+)的B细胞脾脏切除后占比在术后2周明显降低,但术后6月恢复正常。这说明门静脉高压引起脾脏形态功能改变导致机体免疫系统改变,因此,在乙型肝炎相关肝硬化患者中脾切除也许能提高患者的免疫力。
本研究在健康对照的基础上增加了因外伤而行脾脏切除的对照队列,结果提示,对于肝硬化脾功能亢进的患者,脾脏切除或许能提高患者免疫功能,但对于手术适应证、病例选择及提高免疫功能后患者的死亡率、感染率是否可获得有意义的改善,仍需进一步多中心、前瞻性研究。
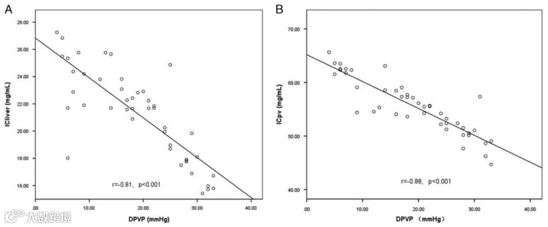
4、利用能谱计算机断层扫描无创评估门静脉高压
Wang J, Gao F, Shen JL. Noninvasive Assessment of Portal Hypertension Using Spectral Computed Tomography. Pediatr Radiol. J Clin Gastroenterol. 2019.
门静脉高压的早期诊断是及时治疗并降低死亡率的必要条件。然而,常规临床实践中仍然缺乏有效的方法进行无创和准确地评估门静脉高压。来自我国上海交通大学的Wang J等人评估了使用双能谱计算机断层扫描(LightSpeed CT750 HD)的测量参数评估肝硬化患者门静脉压力的准确性,相关内容发表在近日出版的Journal of Clinical Gastroenterology杂志上。
该研究共纳入了45例接受经皮经肝门静脉穿刺治疗的肝硬化患者。术前直接测量患者门静脉压力,所有患者在手术前3天内接受双能谱计算机断层扫描。
利用逐步多元线性回归分析表明,门静脉期门静脉和肝实质的碘浓度和丙氨酸氨基转移酶水平与直接门静脉压力独立相关(P<0.001,0.004和0.024)。利用受试者工作特征曲线分析,采用门静脉碘浓度(ICPV)接受者操作特征区域来鉴别临床显著性门静脉高压(≥10 mmHg)明显高于肝实质碘浓度(ICliver)和丙氨酸氨基转移酶水平(分别为0.944,0.825和0.301)。ICPV的阈值为58.27、敏感性93.8%、特异性69.2%、阳性预测值88.2%、阴性预测值81.8%。
因此,ICPV值可作为无创性评估肝硬化门静脉压力和识别临床显著性门静脉高压的有效手段。

简评丨董健
北京世纪坛医院影像科
门静脉高压的无创性量化评价是近年来的研究热点,既往研究主要集中于HVPG,将多种解剖学、实验室检查和血流动力学参数指标与HVPG这一门静脉高压诊断的金标准进行相关和/或回归分析,部分研究则以影像组学的方式对门静脉高压进行无创性量化评价,而将多参数与直接门静脉压做相关与回归的分析则相对少见。
本研究共收集45例肝硬化门静脉高压患者,将能谱CT量化指标门静脉碘含量(ICPV)和肝实质碘含量(ICliver),解剖学量化指标脾容积,以及多项实验室指标(转氨酶、胆红素、血小板计数等)与门静脉压力做相关和回归分析。结果表明,当把阈值设定为58.27时,ICPV在评价临床CSPH的敏感性93.8%、特异度69.2%、阳性预测值88.2%和阴性预测值81.8%,提示ICPV潜在作为肝硬化门静脉高压的诊断、分期和随访的工具。
该研究首次引入能谱CT碘含量这一量化参数,可重复性与可靠性均较高,适用于肝硬化门静脉高压患者的随访和监测。但本研究受限于单中心、小样本研究,且门静脉压力<10 mmHg的患者较少,仍需多中心良好质控的研究进一步验证。
5、白蛋白-吲哚青绿评价(ALICE)分级与门静脉高压联合预测肝切除术后的肝功能衰竭
Shirata C, Kokudo T, Arita J, et al. Albumin-Indocyanine Green Evaluation (ALICE) grade combined with portal hypertension to predict posthepatectomy liver failure. Hepatol Res. 2019.
近日,来自东京大学的Shirata C等人评估了肝功能因素在预测肝癌患者肝切除术后大量腹水(LA)和肝功能衰竭(PHLF)中的作用,相关内容发表在近日出版的Hepatology Research杂志上。
该研究连续纳入了2002年至2014年间的1025例接受肝切除术的肝细胞癌患者。通过单因素和多因素分析,评价了肝功能各因子,包括:门静脉高压(PH)、切除范围、MELD评分和白蛋白-吲哚青绿评估(ALICE)评分,在预测LA和PHLF中的作用。
结果发现,ALICE评分是LA和PHLF的最强预测因子(OR分别为5.02和10.94);相反,根据多变量分析结果,MELD评分不是LA或PHLF的重要预测因子。在ALICE 2级患者组中,PH患者发生LA和出现PHLF的可能性要明显高于无PH患者(LA:22.4% vs. 10.3%,P<0.001;PHLF:8.6% vs. 1.3%,P<0.001)。对于ALICE 2级组中的患者,接受扇形切除术或更广泛切除术的患者预后极差(LA:54.2%;PHLF:29.2%)。
因此,本研究表明ALICE等级和PH相结合可以有效预测接受肝切除术的肝癌患者发生LA和PHLF的可能性。

简评丨张修平
上海东方肝胆外科医院肝外六科
目前,手术依旧是治疗肝癌的重要手段之一,但是肝癌患者肝硬化的状态往往伴随着术后大量腹水和肝衰的风险。若是能够术前建立简易的评分量化系统评价肝硬化患者术后大量腹水和肝衰的风险,并根据评分结果做出合理的诊疗会对肝癌患者术后的恢复大有裨益。研究基于之前建立的术前评价肝癌患者肝功能储备的ALICE评分系统(术前白蛋白水平和ICG-r15值),结合门静脉高压和手术方式进一步探索其对术后大量腹水和肝衰竭的预测作用。
本研究在1025例的大样本基础上,通过严谨的统计方法分析显示,相较于肝癌ALBI和MELD评分,ALICE评分系统有着更佳的预测作用。同时基于ALICE评分系统和是否合并门静脉高压,该研究为肝癌患者提供更合理的手术方式以期最小化术后大量腹水和肝衰的风险。该研究建立了一种简易、高效的可以术前评估肝癌患者术后大量腹水和肝衰风险的评分系统,同时可以对临床的手术方式提供一定的指导,具有很强的应用前景和可操作性。当然,本文也存在一定的局限性,这是一项单中心回顾性研究,结论需要在多中心、大样本的前瞻性队列中进一步证实。
6、血管性血友病因子反映了疾病的严重程度并可鉴别肝硬化的严重门静脉高压
Langholm LL, Manon-Jensen T, Karsdal MA, et al. Enhanced processing of von Willebrand factor reflects disease severity and discriminates severe portal hypertension in cirrhosis. Eur J Gastroenterol Hepatol. 2019.
肝硬化门静脉高压与内皮功能障碍、伤口愈合受损和血小板计数减少有关。目前认为von Willebrand factor(VWF)形成的增加可作为一种补偿机制,但尚未有研究评估VWF的整个过程。近日,Langholm LL等人研究了VWF(VWF -A)的活化和VWF释放(VWF -N)的过程,及初期止血与疾病活动和肝硬化门静脉高压的关联性,具体内容发表在European Journal of Gastroenterology & Hepatology杂志上。
该研究共收集了105名接受肝静脉导管置入术的不同严重程度的肝硬化参与者的血浆样本与20名没有肝病的对照组患者的样本。使用新表位特异性单克隆抗体通过竞争性酶联免疫吸附测定VWF转化的生物标志物。
结果发现,与对照组相比,肝硬化患者血浆中VWF-N水平和VWF-A水平显著升高(P<0.0001),这两种标志物均可区分轻度和重度肝硬化患者(VWF-N,P<0.0001;VWF-A,P<0.05)。两种标志物与门静脉高压的升高有很好的相关性,可以确定有临床意义的门静脉高压患者(VWF-N,曲线下面积:0.78;VWF-A,曲线下面积:0.67),且VWF-A可以明显区别代偿和失代偿患者(P<0.05)。
因此,在肝硬化患者中VWF释放和活性VWF的加工均明显增加,反映了伤口愈合的开始。VWF-N和VWF-A可能包含了评估门静脉高压存在和严重程度的重要信息,可作为早期肝硬化和失代偿性肝硬化的急性损伤指标。伤口愈合增加是否会影响长期结果尚需进一步的研究探索。

简评丨张博江
西安高新医院消化科
肝硬化是由于肝脏过度纤维化导致慢性肝病患者不可逆的损伤,门静脉高压往往伴发于此类患者并导致血管内皮功能紊乱。临床上将HVPG>10 mmHg定义为临床显著性门静脉高压。然而由于HVPG监测为有创检查且对操作医生、设备、费用均有一定要求,难以普及开展,故需要一些简单、易操作的检查、检验指标评估慢性肝病患者是否存在肝硬化,以及肝硬化程度及患者门静脉高压程度。
本回顾性研究选取4组队列对比,研究表明血小板在试验组明显低于对照组,但有趣的是在Child-Pugh分级不同的试验组之间无显著差异(P=0.99)。VWF-N和VWF-A水平在实验组较对照组显著增高,且随着Child-Pugh分级及MELD得分增高而增高。上述两种标志物在轻度及重度肝硬化患者中的表达有统计学差异。然而只有VWF-N在中、重度肝硬化患者中的表达有统计学差异。
因此,VWF-N和VWF-A联合检测可作为是否存在肝硬化以及区分不同程度肝硬化患者的预测因子(除外轻度与中度肝硬化患者)。同时也可作为评估肝硬化患者是否存在门静脉高压及门静脉高压严重程度分级的一类早期预测因子。
本研究亮点在于将VWF-N和VWF-A联合检测,提供了一种简单、有效的非侵入性检测手段用于诊断肝硬化及分级,门静脉高压及分度。然而,105例病例中酒精性肝硬化占90%,故需要在其他病因肝硬化的病例中进一步验证。此外,基线资料中对照组年龄显著大于试验组,可能产生偏移。
综上,本研究结果作为一种非侵入性的检测方法,对于诊断慢性肝病患者发现和识别肝硬化及其程度,预测其肝硬化门静脉高压等并发症具有应用价值。
(来源:《国际肝病》编辑部)



