
非酒精性脂肪性肝病(NAFLD)有发展至肝硬化,甚至肝癌的风险,那么如何来降低NAFLD患者的这种风险呢?美国休斯敦医学中心、贝勒医学院Natarajan Y等2月5日在线提前发表在Hepatology杂志上的一篇文章或可带来启示。
这项临床回顾性队列研究发现:丙氨酸转氨酶(ALT)水平保持正常的肝脂肪变性患者,比ALT升高的脂肪变性患者的肝硬化风险要低,与ALT正常无肝脂肪变性者的肝硬化风险相似。
研究者利用退伍军人健康管理局数据库进行回顾性队列分析,将患者分为三组:脂肪变性/ALT正常、脂肪变性/ALT升高和无脂肪变性/ALT正常的患者;评估肝硬化和肝细胞癌(HCC)的发生率(IR),并应用特定原因风险模型来评估肝硬化和HCC的风险。
最终分析了3522例脂肪变性/ALT正常的患者、15419例脂肪变性/ALT升高的患者,以及9267例无脂肪变性/ALT正常的患者(图1)。每组的平均年龄分别为58.9岁、54.7岁和59.3岁。超过90%是男性。

图1.患者筛选流程图
(图引自发表文章)
与肝脂肪变性/ALT正常的患者相比,脂肪变性/ALT升高的患者更年轻,而且更容易肥胖(均P<0.01)。
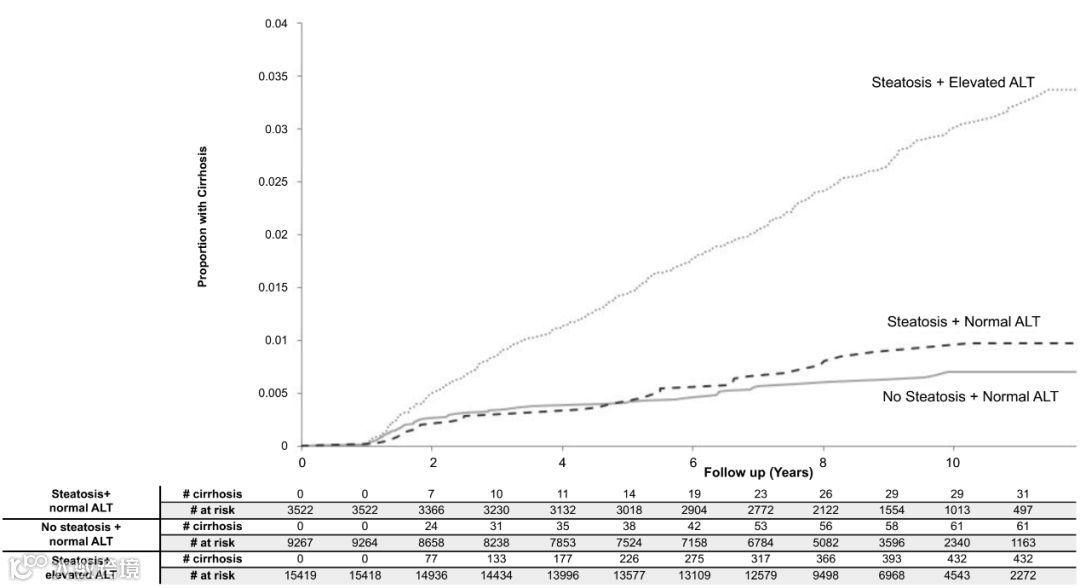
脂肪变性/ALT正常的患者中,每1000人年的肝硬化和肝癌的IR分别为1.22[95%置信区间(CI)0.83~1.74]和0.20(95%CI:0.06~0.46),低于脂肪变性/ALT升高的患者(肝硬化:3.85,95%CI:3.50~4.23;HCC:0.37,95%CI:0.26~0.49),详见图2和图3。
脂肪变性/ALT升高的患者相比脂肪变性/ALT正常的患者,发生肝硬化的风险更高[调整后危险比(HR)3.37,95%CI:2.34~4.86,P<0.01],也有较高的HCC风险,尽管没有达到统计学意义(HR 2.07,95%CI:0.82~5.28,P=0.13)。
脂肪变性/ALT正常患者与无脂肪变性患者的肝硬化和HCC风险没有显著差异。

图2.三个研究队列中的肝硬化累积发生率
(图引自发表文章)

图3.三个研究队列中的HCC累积发生率
(图引自发表文章)
总之,在临床队列中,ALT水平保持正常的肝脂肪变性患者,比ALT升高脂肪变性患者的肝硬化风险低,与ALT正常无肝脂肪变性患者的肝硬化风险没有差异。所以,脂肪肝患者,还请控制好自己的ALT,别让肝君为你操心!
参考文献:Natarajan Y, Kramer JR, Yu X, et al. Risk of Cirrhosis and Hepatocellular Cancer in Patients with Non‐Alcoholic Fatty Liver Disease and Normal Liver Enzymes. Hepatology. 2020 Feb 5.
(来源:《国际肝病》编辑部)


