
在医疗资源有限的国家或地区,乙型肝炎孕妇由于缺乏乙型肝炎病毒(HBV)DNA检测,而难以判断是否存在围产期HBV传播风险。近日,美国感染病学会(IDSA)官方期刊Clinical infection Disease发表了一篇来自柬埔寨的文章,卫生科学大学Segeral O等在ANRS 12345 TA PROHM研究中发现:HBeAg和ALT水平可能是快速判断孕妇围产期HBV传播风险的有效策略。
研究者评估HBeAg阳性和HBeAg阴性且丙氨酸转氨酶(ALT)≥40 IU/L用于预测高HBV DNA水平的有效性。所有HBsAg阳性女性均接受SD BIOLINE HBeAg快速检测和HBV DNA定量检测,评估HBeAg和新算法鉴别HBV DNA水平>两个阈值(5.3和7.3 Log10 IU/mL)的有效性。

图1.研究设计
(图引自发表文章)
结果,在515名HBsAg阳性女性中,中位年龄为29岁,92名(17.9%)为HBeAg阳性,47名(9.1%)为HBeAg阴性且ALT≥40 IU/L,144名(28.0%)为HBV DNA>5.3 Log10 UI/mL。
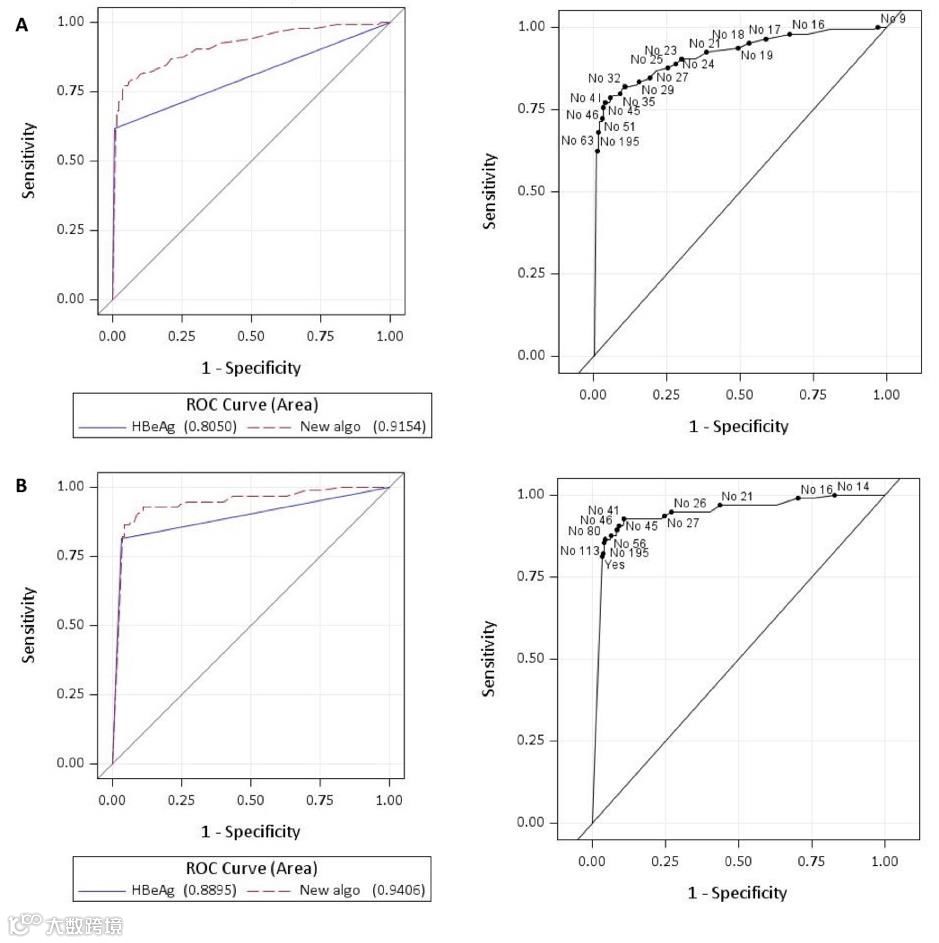
HBeAg用于判断HBV DNA>5.3 Log10 UI/mL的敏感性和特异性分别为61.8%和99.2%,用于判断HBV DNA>7.3 Log10 UI/mL的敏感性和特异性分别为81.3%和96.7%。
基于HBeAg阴性且丙氨酸转氨酶(ALT)≥40 IU/L的算法,其判断HBV DNA水平>5.3 Log10 UI/mL的敏感性和特异性分别为79.2%和93.3%,判断HBV DNA>7.3 Log10 UI/mL的敏感性和特异性分别为92.7%和88.1%。
该算法的受试者工作特征曲线下面积(AUC)(HBV DNA>5.3和7.3 Log10 UI/mL的分别为0.92和0.94)显著大于HBeAg的AUC(HBV DNA>5.3和7.3Log10 UI/mL的分别为0.81和0.89)(P<0.001),详见图2。

图2. 受试者工作特征曲线下面积
(图引自发表文章)
研究者因此认为:对于常规无法进行HBV DNA定量分析的国家或地区,使用HBeAg和ALT水平算法可能是识别出有围产期HBV传播风险的乙型肝炎孕妇的一种有效策略。
参考文献:Segeral O, Dim B, Durier C, et al. HBeAg rapid test and alanine aminotransferase level-based algorithm to identify pregnant women at risk of HBV mother-to-child transmission: the ANRS 12345 TA PROHM study. Clin Infect Dis. 2020 Mar 19.
(来源:《国际肝病》编辑部)


