
期刊简介
Journal of Clinical and Translational Hepatology (JCTH,《临床与转化肝脏病杂志》,pISSN: 2225-0719, eISSN: 2310-8819)是由重庆医科大学附属第二医院主办,Xia & He Publishing Inc. (华誉出版社)出版的英文学术期刊,主要收录肝病领域的临床或转化相关的研究论文、综述、述评等。
2022 Impact Factor : 3.6
2022 CiteScore : 5.6

文章导读
结论展望
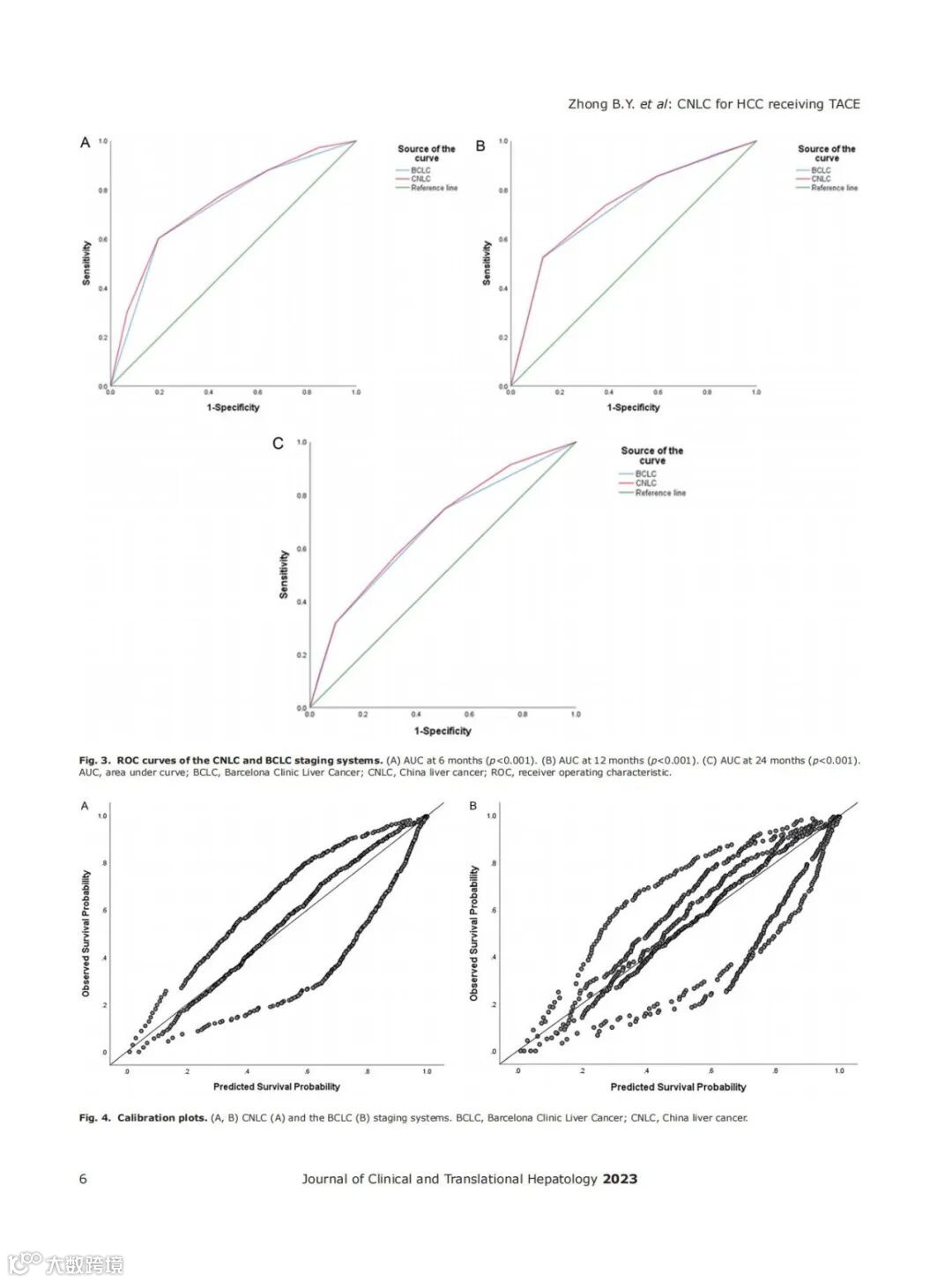
通过该真实世界研究,我们证明了相较于BCLC,CNLC更适合应用于中国HCC患者是否适合接受TACE治疗的评估及推荐,为CNLC和BCLC适用性的比较提供了新的循证医学证据。基于此,本研究团队正在对CNLC和BCLC对于总体HCC人群适用性比较进行探索分析。
作者简介
第一作者&通讯作者
仲斌演
医学博士,苏州大学附属第一医院介入科主治医师,姑苏卫生C类特聘人才,主要从事肝胆疾病及恶性肿瘤的介入诊疗。中国医师协会介入医师分会青年委员会委员,江苏省抗癌协会微创治疗专委会委员。以第一/通讯作者发表SCI论文(论著、综述)40余篇,影响因子大于200分,主持国家自然科学基金青年项目等项目4项。担任Journal of Clinical and Translational Hepatology青年编委及BMJ等三十余本SCI杂志审稿人。
通讯作者
倪才方
医学博士,苏州大学附属第一医院介入科主任医师、教授、博导、临床首席专家,江苏省政协委员,从事介入治疗临床工作30多年。江苏省医学会介入医学分会候任主任委员,中国研究型医院学会介入专业委员会副主任委员,中国医师协会介入医师分会常委,综合介入专业委员会副主任委员。主持“江苏省医学领军人才与创新团队”、“江苏省社会发展项目”等10余项课题,发表SCI论文50余篇,获得华夏医学科技奖三等奖等多项奖项。
END

声明:本文仅供医疗卫生专业人士了解最新医药资讯参考使用,不代表本平台观点。该信息不能以任何方式取代专业的医疗指导,也不应被视为诊疗建议,如果该信息被用于资讯以外的目的,本站及作者不承担相关责任。
(来源:中华肝脏病杂志)









