
点击蓝字
关注我们
编者按:血液病患者是一组特殊的感染人群,患者具有免疫功能低下、感染相关临床表现不典型、病原菌及感染灶不易明确等特点,如未及时给予恰当的抗感染治疗,感染相关死亡率高。为优化临床诊治策略,改善此类患者的预后,国内外专家学者开展了大量研究工作,并在2023年陆续推出了多项管理共识/指南。《感染医线》特邀中国医学科学院血液病医院冯四洲教授对过去一年的重要研究进展进行盘点和解读。
01
感染的病原诊断:二代测序的广泛应用与共识发布
血液病患者因原发病或大剂量化/放疗及造血干细胞移植等治疗措施导致中性粒细胞缺乏,黏膜屏障容易受损,长期免疫抑制剂的应用等因素导致血液病患者免疫功能低下,感染并发症十分常见。感染是导致血液病患者死亡的重要原因之一,而患者的感染病原诊断往往较为困难,有研究表明粒细胞缺乏伴发热患者中近三分之一为不明原因发热。准确、及时的病原识别有助于血液病感染患者获得精准治疗,从而改善患者预后。近年来病原微生物宏基因组二代测序(mNGS)技术在感染领域得到了广泛的应用,其临床价值也得到了学界广泛认可。
2023年6月,中国医学科学院血液病医院王建祥教授/冯四洲教授团队联合多个院外团队共同完成了国内首个大型前瞻性mNGS在急性白血病(AL)粒缺伴发热的多中心病原微生物敏感检测方法的临床研究,其结果发表于《临床微生物学与感染》(Clinical Microbiology and Infection)[1]。该研究从评估mNGS的感染诊断性能以及对临床抗菌药物的干预效果两个方面,解析了血浆mNGS对于感染诊断的价值。该研究共纳入442例AL粒缺伴发热患者,结果显示,mNGS在50.9%(225/442)的患者中发现了临床相关的感染性病原体,明显优于传统血培养阳性率21.3%(94/442)。此外,该研究表明抗菌药物使用对mNGS影响较小,mNGS可以作为初始经验性抗菌药物治疗无效粒缺伴发热患者病原诊断的有效工具;mNGS报告周期短,可促进早期抗菌药物调整治疗;血浆mNGS在一定程度上可作为局灶感染病原体诊断的非侵袭性方法。
图1. 急性白血病患者粒缺伴发热时血培养与mNGS检出情况
2023年12月,中国医学科学院血液病医院冯四洲教授/姜尔烈教授/徐春晖教授团队在《微生物学、免疫学与感染杂志》(Journal of Microbiology, Immunology and Infection)上发表的一项关于mNGS应用于异基因造血干细胞移植(allo-HSCT)后感染的回顾性研究显示[2],mNGS阳性率明显高于传统微生物学检测(82.7% vs. 39.4%),在移植不同阶段患者常见感染类型与病原检出均存在差异;同时,当患者伴有移植物抗宿主病(GVHD)时,曲霉属与毛霉目的检出增加(曲霉属:11.8% vs. 5.1%;毛霉目:5.9% vs. 1.3%)。在感染诊断与治疗影响上,分别有44.8%和24.3%的患者通过mNGS检测发挥积极治疗作用。
图2. allo-HSCT不同阶段感染部位及微生物检出
为了优化血液病患者mNGS检测适应证及规范报告解读,中华医学会血液学分会抗感染学组在2023年8月发布了《宏基因组二代测序技术在血液病患者感染病原诊断中的应用中国专家共识(2023年版)》[3],该共识对于送检时机、样本采集与质量控制以及报告解读提供了指导建议。
图3. 血液病患者病原mNGS送检流程图
02
细菌感染:革兰阴性菌治疗的新进展
近年来,多重耐药革兰阴性菌(MDR-GNB)感染已经成为了世界性抗感染难题。血液病患者发生MDR-GNB感染风险因骨髓抑制、化疗引起黏膜炎、长期住院和接受广谱抗菌药物治疗而增高。多黏菌素对于MDR-GNB具有较好的活性,尽管美国感染病学会(IDSA)推荐其作为多重耐药菌感染经验治疗的选择之一,但其在血液病患者MDR-GNB感染领域治疗效果尚不清楚。浙江大学医学院附属第一医院佟红艳教授团队于2023年5月在《感染杂志》(Journal of Infection)上发表了一篇关于多黏菌素B经验性用于血液病患者粒缺伴发热MDR-GNB感染的前瞻性、多中心、观察性临床研究[4]。研究共纳入205例患者,治疗前样本筛查显示病原菌阳性率为43.4%。最常见的病原菌为铜绿假单胞菌(44.9%),其次为肺炎克雷伯菌(31.5%)与大肠埃希菌(15.7%)。感染部位以肺部(44.9%)、血流(20.5%)、皮肤软组织(16.6%)最为常见。多因素分析显示表明,早期治疗启动多黏菌素B(OR:2.355)和多黏菌素B联合碳青霉烯类抗菌药物方案(OR:2.753)与治疗成功有关,而再生障碍性贫血与治疗失败有关(OR:0.242)。
图4. 多黏菌素B治疗结局相关危险因素的回归分析
关于铜绿假单胞菌感染的治疗,目前指南建议对于血流感染应采取超过14天的抗菌药物治疗,但也有一些基于免疫功能正常人群的研究表明,短疗程治疗在结局上并不逊色。在血液病患者感染领域,中国医学科学院血液病医院冯四洲教授团队联合华中科技大学同济医学院附属协和医院洪梅教授团队于2023年10月在《临床感染病》(Clinical Infectious Diseases)上发表了一项基于国内两个血液病中心关于铜绿假单胞菌(PA)血流感染治疗的回顾性研究[5]。该研究共纳入434例PA感染患者(7~11天短疗程:n=229;12~21天长疗程:n=205)。以30天内复发性PA感染或死亡为主要结局,短疗程组与长疗程组发生率分别为3.9%与4.9%(P=0.979)。以90天内PA复发感染和停用抗菌药物后7日内发热为次要结局,短程组与长疗程组分别有9.8%和6.3%的患者出现90天内复发感染(P=0.139),7天内再次发热的比例分别为8.3%与7.4%(P=0.957),而接受短疗程治疗的患者平均住院天数减少3.3天。研究表明短期与长期抗菌药物治疗PA感染具有相似的结果,PA菌血症血液病患者可以根据患者治疗后临床症状的好转、血培养病原菌的转阴而停药,抗菌药物没有必要用至14天以上。
图5. 粒缺伴发热患者中铜绿假单胞菌感染短疗程与长疗程治疗差异比较
03
侵袭性真菌感染:PJP治疗合适药物剂量、突破性真菌感染流行病学特点、移植前IA对急性白血病allo-HSCT疗效的影响
耶氏肺孢子菌(PJ)感染常见于免疫功能低下患者,在HIV感染流行率较低的地区,血液病患者已成为耶氏肺孢子菌肺炎(PJP)最大的风险群体。甲氧苄啶-磺胺甲噁唑(SMZ-TMP)是PJ感染的一线治疗药物,推荐治疗剂量为TMP达到15~20 mg/kg。标准的高剂量治疗可引起药物相关的不良反应,耐受性不佳会影响治疗结局。2023年2月《临床感染病》(Clinical Infectious Diseases)发表了一项基于回顾性、多中心减低SMZ-TMP剂量治疗血液病患者PJP的研究[6]。该研究共纳入113例患者,将7.5~15 mg TMP/kg/d(减低剂量)治疗与>15~20 mg TMP/kg/d(标准剂量)治疗进行比较。主要终点是基线至第8天呼吸功能的变化,次要结局是临床治疗失败和/或第8、30天死亡。研究显示,整个队列的30天总死亡率为14%;治疗组之间第8天PaO2/FiO2无临床相关差异。第8天和30天的临床失败和/或死亡在两组之间也无显著差异(8 d:18% vs. 21%;30 d:14% vs. 15%)。在轻度至中度肺炎患者(定义为PaO2/FiO2>200 mmHg)中,所有44例接受减少剂量的患者在第30天均存活。研究表明,减低剂量的TMP-SMX治疗轻中度PJP是有效和安全的。
表6. 减低剂量与标准剂量甲氧苄啶-磺胺甲噁唑治疗肺孢子菌肺炎患者的临床病程
血液病患者侵袭性真菌病发生率高、死亡率高,高危人群常常采用广谱抗真菌药物进行预防。而预防人群中侵袭性真菌突破性感染(BtIFI)并不罕见,其流行病学研究对于该类感染的诊疗至关重要。在2023年7月《感染杂志》(Journal of Infection)发表了一项基于前瞻性、多中心的血液系统恶性肿瘤患者发生BtIFI的观察性研究[7]。该研究共纳入了121次BtIFI,其中33.9%为确诊、43.8%为临床诊断、22.3%为疑似诊断。IFI病原依次由曲霉(非烟曲霉种)(45.5%)、念珠菌(19%)、毛霉目(5.8%)和其他霉菌(5%)、其他酵母菌(4.1%)组成。在确诊和临床诊断的患者中,BtIFI发生最常见原因为既往抗真菌药物对感染真菌缺乏活性(67.0%)。
图7. 既往抗真菌药物使用与突破性真菌感染流行病学
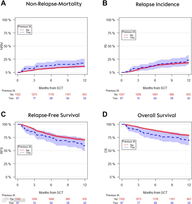
侵袭性曲霉菌病(IA)一直因其可快速进展和较高死亡风险,长久以来此类患者一直被认为不适合进行allo-SCT,而2023年12月于《柳叶刀》子刊eClinicalMedicine杂志发表的一项前瞻性研究对该问题进行了深入探讨。该研究以一年内非复发死亡率(NRM)为主要终点,以无复发生存率和总生存率作为次要终点进行分析[8]。该前瞻性研究纳入1439例接受allo-SCT的急性白血病患者。allo-SCT前确诊和临床诊断的IA的发生率为6.0%(n=87)。SCT前发生IA和未发生IA的患者1年NRM累积发生率分别为17.3%和11.2%。在多变量分析中,移植前IA患者NRM明显较高,1年NRM的HR为2.1(P=0.009)。移植前发生IA患者的无复发生存率明显低于移植前无IA的患者(59.4% vs. 70.4%;多变量HR 1.5,P=0.02)。移植前发生IA患者的1年总生存率也较低(68.8% vs. 79.0%;多变量分析HR 1.7,P=0.01)。因此,移植前发生IA仍与allo-SCT预后不良显著相关。但另一方面,超过2/3的移植前IA患者在移植后1年仍存活,IA不再是allo-SCT的绝对禁忌,大多数接受allo-SCT的急性白血病IA患者可从中获益。
图8. 移植前IA患者于非IA患者在allo-SCT后临床结局比较
04
病毒感染:COVID-19感染管理建议更新
《血液系统恶性肿瘤、造血干细胞移植受者以及CAR-T治疗受者的COVID-19管理建议》在2022年第9届欧洲白血病感染会议(ECIL)公布并于2023年7月发表于《白血病》(Leukemia)[9]。该指南对恶性血液病、allo-HSCT及CAR-T患者COVID-19感染从预防、诊断、疫苗预防、治疗方面给予了最新的建议。
05
寄生虫感染:弓形虫感染及弓形虫病管理指南发布
血液系统恶性肿瘤患者可感染弓形虫病,特别是在allo-HSCT后易发。潜伏病原的再激活是allo-HSCT后引起弓形虫病的最主要机制,因此,移植前血清学阳性患者属于弓形虫感染的高危人群。2022 ECIL公布了《血液系统恶性肿瘤患者和造血干细胞移植后弓形虫感染和疾病管理指南》,并于2023年12月发表于《柳叶刀-感染病》(The Lancet Infectious Diseases)[10]。
该指南指出,对于allo-HSCT移植前血清学阳性患者建议使用定量PCR(qPCR)每周进行血液筛查,以早期识别感染。同时,由于SMZ-TMP预防可能失败,应将预防用药与qPCR筛查相结合。预防用药持续时间应至少为6个月,并在治疗引起的免疫抑制或严重的CD4+淋巴细胞减少时延长应用时间。如果qPCR检测呈阳性,应开始使用SMZ-TMP等药物治疗。对于弓形虫感染治疗必须持续到至少两次PCR阴性,对于弓形虫病,治疗应至少持续6周。在血清学阴性的allo-HSCT受者、自体移植后或非移植后的血液病患者中,不推荐进行抢先治疗,但在临床高度怀疑弓形虫感染时应进行PCR检测。
图9. 弓形虫感染及弓形虫病的管理推荐
06
总结
在临床诊疗过程中,血液科医生需要花费大量的时间和精力来应对感染。近年来,细菌耐药问题越发突出、真菌感染有所增加、COVID-19等病毒广泛流行,临床病原体组成复杂,抗感染治疗任务艰巨。在此情况下,临床医生更加需要及时了解最新研究动态,熟练掌握新型诊断技术的应用要点,为患者制定更为恰当的抗感染治疗方案,有效控制感染才能更好地保证患者生存及生活质量。

声明:本文仅供医疗卫生专业人士了解最新医药资讯参考使用,不代表本平台观点。该信息不能以任何方式取代专业的医疗指导,也不应被视为诊疗建议,如果该信息被用于资讯以外的目的,本站及作者不承担相关责任。
来源:《感染医线》

