
各位专家同道好,本期CDM月评(第八十期)将分享近期门静脉高压诊疗领域6篇文献(诊断监测4篇,多学科治疗2篇)。本期特邀月评专家:中山大学附属第三医院消化内科黄义飞博士、南京大学医学院附属鼓楼医院感染科熊亚莉教授、华中科技大学同济医学院附属协和医院介入放射科刘家成博士。


01
在伴临床显著性门脉高压的丁型肝炎患者中验证Baveno VII标准和其他无创诊断算法

JJachs M, Sandmann L, Hartl L, Tergast T, Schwarz M, Bauer DJM, Balcar L, Ehrenbauer A, Hofer BS, Cornberg M, Lenzen H, Deterding K, Trauner M, Mandorfer M, Wedemeyer H, Reiberger T, Maasoumy B. Validation of Baveno VII criteria and other non-invasive diagnostic algorithms for clinically significant portal hypertension in hepatitis delta. J Hepatol. 2024 Mar.
在丁型肝炎病毒(HDV)感染相关的代偿期进展性慢性肝病(cACLD)患者中,临床显著性门脉高压(CSPH)的无创检测(NIT)工具尚缺乏验证。近日,来自奥地利维也纳医科大学的Jachs M等探讨了相关问题,详细内容发表在J Hepatol杂志上。
该回顾性研究纳入了2013年至2023年间在维也纳医科大学或汉诺威医学院接受配对肝静脉压力梯度(HVPG)检测和NIT评估的51例HDV-cACLD患者(LSM ≥10 kPa或组织学METAVIR F3/F4纤维化);评估患者肝脏硬度(LSM)、血管性血友病因子与血小板计数比(VITRO)和脾脏硬度(SSM);根据前期研究已发表的模型(ANTICIPATE,3P/5P)计算个体CSPH风险;评估Baveno-VII标准和改进算法(Baveno-VII-VITRO,Baveno-VII-SSM)的诊断性能;在主队列和一个独立的多中心验证队列中评估NIT的预测效用。
结果显示,患者中CSPH患病率62.7%,静脉曲张42.2%。CSPH患者中LSM[25.8(17.2~31.0)vs. 14.0(10.5~19.8)kPa,P<0.001],VITRO[n= 31,3.5(2.7~4.5)vs.1.3(6.6~2.0)%/(G/L),P<001]和SSM[n= 20,53.8(41.7~75.5)vs. 24.0(17.0~33.9)kPa,P<0.001]均显著升高。综合CSPH风险模型的AUROC表现出色(ANTICIPATE:0.885,3P:0.903,5P:0.912)。Baveno-VII标准除外CSPH的灵敏度为100%,确认CSPH的特异性为84.2%。Baveno-VII-VITRO或Baveno-VII-SSM相比Baveno-Ⅶ标准,“灰区”显著缩小(41.1%),同时保持了诊断准确性。2年内肝脏失代偿仅发生在CSPH患者或符合Baveno-VII纳入标准的患者中。NIT的预测价值在包含92名患者的验证队列中也得到了证实。
因此,单独和联合NIT/诊断算法可用于HDV-cACLD患者的CSPH诊断。NIT可用于识别慢性丁型肝炎相关CSPH患者,这部分患者需优先考虑对HDV的新型抗病毒治疗。


在HBV合并HDV感染人群中,CSPH不仅是NSBB的用药指征,同时也是聚乙二醇干扰素的禁忌证。此外,对于这类患者,CSPH的评估对于布尔韦肽的使用具有指导价值,由此可见HDV感染患者的CSPH评估具有一定临床意义。以“hepatitis D virus AND clinically significant portal hypertension”在“Pubmed”检索,可见丁肝患者CSPH的诊断研究目前仍是空白,本研究的主要亮点在于首次探索了HDV感染患者CSPH的无创评估方法。尽管本研究在方法上并未见有趣的创新与设计,然而研究的方向紧跟Baveno VII的“Research agenda”,提示研究者除了关注新兴的无创诊断方法,关注经典无创诊断方法在不同肝硬化病因、失代偿风险、动态变化等方向的验证和应用尤为重要。

02
非酒精性脂肪性肝病的进展和远期结局:一项全国配对肝活检队列研究

非酒精性脂肪性肝病(NAFLD)的组织学进展对远期结局,包括终末期肝病(ESLD)和死亡率的长期影响的数据仍然不足。近日,来自美国马萨诸塞州总医院胃肠病学和肝病科的Tracey G Simon等探讨了NAFLD的组织学进展和远期结局情况,相关内容发表在J Hepatol杂志。
该研究纳入了1969-2017年间在瑞典通过肝活检确诊为非肝硬化NAFLD的成年人,并且有≥2次间隔超过6个月的肝活检结果(n= 718)。在初始活检时,将NAFLD分为单纯性脂肪肝、非纤维化脂肪性肝炎(NASH)或非肝硬化纤维化。NAFLD进展定义为两次活检间的组织学变化(即新发NASH、新发纤维化、纤维化进展、肝硬化)。研究者使用Cox回归计算根据NAFLD进展与病情稳定/缓解相比的多因素调整风险比(adjusted hazard ratios,aHRs)和95%置信区间(CI),用于评估新发ESLD(即因失代偿性肝硬化、肝细胞癌或肝移植导致的入院治疗)和死亡率。
结果显示,在初始活检时,497名患者(69.2%)为单纯性脂肪肝,90名(12.5%)为非纤维化NASH,131名(18.2%)为非肝硬化纤维化。两次活检之间隔中位数3.4年,期间30.4%(218/718)的患者出现NAFLD进展,包括12.5%(62/497)的新发非纤维化NASH,24.0%(141/587)的新发纤维化,和5.6%(40/718)的肝硬化。
与病情稳定/缓解相比,NAFLD进展的患者出现新发ESLD的概率显著增加(23.8 vs. 11.4/1000人年;差异 = 12.4/1,000人年;aHR:1.65,95%CI:1.17-2.32)。尽管发展为肝硬化时的ESLD发病率最高(与病情稳定/缓解相比的差异 = 56.3/1000人年),但早期转变,包括从单纯性脂肪肝到新发纤维化,也有显著的额外风险(与稳定/缓解疾病相比的差异 = 18.9/1000人年)。相反,全因死亡率在NAFLD进展与稳定/缓解之间似乎没有差异(差异 = 4.7/1000人年;aHR:0.99,95%CI:0.78-1.24)。
因此,作者得出结论:在具有配对NAFLD活检的全国范围内真实队列中,组织学病情进展显著增加了新发ESLD的发生率,但似乎不影响全因死亡率。


简评丨熊亚莉
既往研究证实NAFLD的组织学严重程度能独立预测全因死亡率,但尚不清楚NAFLD组织学的动态变化是否会影响疾病预后。瑞典作者开展了一项大型、全国性、配对肝活检队列研究,旨在观察NAFLD疾病进展与长期预后包括ESLD和死亡率的关系。
研究发现,在718名成年人中,有30.4%的NAFLD患者出现了疾病进展,包括新发生的NASH、纤维化或肝硬化。NAFLD的进展与发生ESLD的风险显著相关,尤其是对于发展到肝硬化的患者。但即便是从单纯脂肪肝到新发纤维化,也观察到了ESLD风险的显著增加。因此,该研究结果对于NAFLD治疗策略的制定具有重要意义,它强调了预防NAFLD进展对于改善ESLD疾病负担的重要性。此外,目前NAFLD治疗试验均主要关注短期组织学终点,本研究正好提供了支持这些试验设计的证据。
但本研究没有观察到NAFLD稳定/消退患者与进展患者之间死亡率的差异,这可能与纳入对象受限有关(NAFLD稳定/消退患者不太可能进行重复活检),但同时也提示除NAFLD组织学因素外,可能还存在其他影响生存率的风险因素,这尚需要进一步研究来证实。
本研究的局限在于回顾性设计可能会存在选择偏差,因为并非所有NAFLD患者都进行了重复活检;此外由于缺乏对肝活检指征、个体纤维化阶段、酒精使用情况或体重变化等详细信息的了解,可能存在未分析的混杂因素;研究结果可能不适用于没有进行肝活检的更广泛NAFLD人群。

03
简易血液检查可诊断代偿性进展期慢性肝病,并对临床显著性门静脉高压风险进行分层

代偿期进展性慢性肝病(cACLD)人群中,部分患者具有进展为临床显著性门脉高压(CSPH)的风险,进而可出现肝相关并发症。由于肝硬度测量(LSM)在非专业机构应用不便,因此有cACLD/CSPH风险的患者无法得到广泛识别。近日,来自奥地利维也纳医科大学的Semmler G等开发了一种基于血液检测的新算法,可通过FIB-4指数来识别cACLD,通过von Willebrand因子/血小板计数比(VITRO)来识别CSPH。相关内容发表在Hepatology杂志上。
研究者纳入在维也纳和萨尔茨堡接受FIB4 + LSM检测的6143例代偿期慢性肝病患者(或疑似者),构成LSM/ FIB -4队列;纳入在维也纳和伯尔尼接受肝静脉压梯度(HVPG)测量+ VITRO的247例患者,构成HVPG/VITRO队列。
结果显示,LSM/FIB-4队列中有211例(3.4%)患者发生肝功能失代偿。1724例(28.1%)患者LSM≥ 10 kPa,对应的FIB-4≥1.75。重要的是,LSM[AUROC:0.897(95%CI:0.865-0.929)]和FIB-4[AUROC:0.914(95%CI:0.885-0.944)]在预测3年内肝功能失代偿方面的准确性相似。FIB-4≥1.75可识别出现首次肝功能失代偿的风险患者(5年累积发病率:7.6%),而FIB-4<1.75的患者,其出现肝功能失代偿的风险可以忽略不计(0.3%)。
HVPG/VITRO队列中有202例患者的cACLD/FIB-4≥1.75。VITRO对CSPH表现出优异的诊断性能[AUROC:0.89(95%CI:0.84-0.934)],与LSM[AUROC:8.856(95%CI:0.81-0.910),P=0.351]和ANTICIPATE模型[AUROC:0.910(95%CI:0.869-0.952),P=0.498]性能相似。VITRO<1.0/≥2.5能够排除(灵敏度:100.0%)/纳入(特异性:92.4%)CSPH。其诊断表现与Baveno-VII标准相当。LSM/FIB -4队列研究结果在1560例患者中得到了外部验证,而HVPG/VITRO队列研究结果得到了内部验证(n=133)和外部验证(n=55)。
因此,简单、广泛可用的实验室检测(FIB-4/VITRO)有助于肝病患者(疑似)进行cACLD筛查和CSPH风险分层。这种基于血液的检测方法适用于专科机构之外的初级医疗机构,并可能有助于疾病早期干预。


简评丨黄义飞
研究者立足于“肝病进展”和“门脉高压风险”这两个医生与患者对慢性肝病病情评估最关心的问题,开展了一项基于血清学指标的无创诊断研究,探索了经典的肝纤维化评分FIB-4用于cACLD,和门静脉高压诊断模型VIRTO用于CSPH的诊断价值。
研究的主要亮点在于:
①“摆脱”了LSM和HVPG这些可能对医院级别和医生水平有要求的检查,仅仅通过简单的血清学检查即可完成对患者cACLD和CSPH的分类,并且展示了不错的诊断效能;
②特别是FIB-4评分,通过大样本的验证,在今年欧洲肝脏研究学会(EASL)提出“Should the compensated advanced chronic liver disease (cACLD) concept replace cirrhosis”问题的背景下,体现了良好的科研和临床应用前景;
③本研究并不是单纯的对cACLD和CSPH既往无创诊断手段的一次创新和挑战,而是结合FIB-4和VIRTO为所有就诊的疑似CLD的患者病情评估提供了一种可能、简单的方法(详见原文图4),令人耳目一新。
然而,本研究的结果应用可能面临着如下问题:尽管研究人群涉及病毒性肝炎、酒精性肝炎和脂肪性肝炎,但是并未对病因治疗进行说明和亚组分析,本研究的结论是否适用在病因治疗不同阶段的患者,尤其是其中尤为重视病因治疗的早期肝病患者,仍有待探索。

04
用于检测晚期纤维化的非酒精性脂肪肝家族风险评分的开发和验证:一项前瞻性、多中心研究

非酒精性脂肪性肝病(NAFLD)相关纤维化具有遗传性,但目前尚不清楚如何利用家族史来识别患有进展期纤维化的一级亲属。近日,来自美国加利福尼亚大学圣地亚哥分校医学部的Daniel Q Huang等开发并验证了一个简单的风险评分,用于识别已接受肝纤维化评估的原发者的一级亲属中更容易患有NAFLD进展期纤维化的个体。相关内容发表在Clin Gastroenterol Hepatol杂志上。
这项研究由来自加利福尼亚州圣地亚哥的训练队列和来自芬兰赫尔辛基的验证队列组成。研究纳入了连续的成年原发者(n = 242),包括NAFLD合并进展期纤维化、NAFLD不伴进展期纤维化、以及非NAFLD者,并且至少有一名一级亲属。所有纳入的原发者和一级亲属都接受了肝纤维化评估,其中大部分采用磁共振弹性成像。
结果显示,在纳入的396名一级亲属(64%男性)中,中位年龄和BMI指数分别为47岁(四分位距,32-62岁)和27.6 kg/m2(四分位距,24.1-32.5 kg/m2)。年龄(1分)、2型糖尿病(1分)、肥胖(2分)和患NAFLD合并进展期纤维化原发者(2分)是训练队列(n = 220)中一级亲属进展期纤维化的预测因子,并构建了NAFLD家族风险评分。NAFLD家族风险评分在验证队列(n = 176)中用于检测进展期纤维化的AUROC为0.94。NAFLD家族风险评分在验证队列中表现优于FIB-4指数(AUROC= 0.70,P=0.02)。
因此,NAFLD家族风险评分是识别一级亲属出现进展期肝纤维化的简单且准确的临床工具。研究中产生的数据对于NAFLD的监测可能具有重要意义。



05
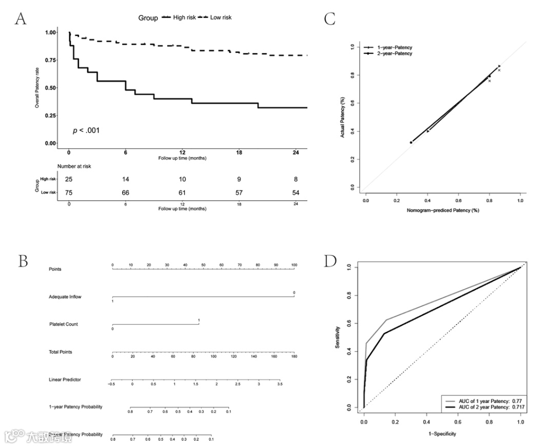
经颈静脉肝内门体分流术治疗门静脉高压伴慢性门静脉阻塞

近日,中山大学附属第三医院介入放射科团队在Eur J Radiol杂志发表了一项经颈静脉肝内门体分流术(TIPS)治疗门静脉高压伴慢性门静脉闭塞(CPVO)的回顾性队列研究。
该研究纳入了2010年12月至2020年12月间接受TIPS治疗的106例门静脉高压伴CPVO患者,其中男性71例,女性35例,平均年龄45.3 ± 13.6岁。82.1%的患者有静脉曲张出血史,另外10.4%和7.5%的患者分别患有顽固性腹水或反复腹泻。45例(42.5%)患者合并肝硬化。根据术前影像学检查,85.8 %的患者被归类为流入量充足(最大流入道直径≥8 mm),14.2%的患者被归类为流入量不足(最大流入道直径<8 mm)。
结果显示,在所有患者中,100例(94.3%)患者TIPS手术成功,无一例患者在术后30天内死亡。TIPS术后,平均PPG从24.3 ± 4.9 mmHg降至10.5 ± 3.1 mmHg。在中位随访时间为52.5个月(范围:1.8-144个月)的随访期间,在100例手术成功的患者中,37(37%)例患者发生分流功能障碍。TIPS术后6、12、24和36个月时的总体支架通畅率分别为88.9%、86.8%、83.6%和81.2%。
单因素和多因素回归分析显示,流入量不足和血小板计数≥300×109/L是分流功能障碍的独立预测因素。计算风险评分=(0.914×血液流入状态)+(3.119×血小板计数)。根据风险评分中位数将患者分为高风险组和低风险组。进一步绘制Kaplan-Meier曲线显示,高风险组的支架通畅率显著低于低风险组(P<0.001)。根据多因素分析的结果,作者绘制了以支架功能障碍为观察终点的列线图,显示出良好预测性能,1年和2年的模型AUROC分别达到0.77和0.72。



06
肝硬化患者经颈静脉内肝内分流术后肝衰竭的预测因素和结局

近日,来自印度新德里肝脏和胆道科学研究所介入放射科的团队在Dig Dis Sci杂志发表了一项分析肝硬化患者经颈静脉内肝内分流(TIPS)术后肝衰竭(PTLF)的预测因素和结局的回顾性队列研究。
该研究纳入了2012年5月至2022年6月间接受TIPS治疗的352例肝硬化患者,其中30例(8.5%)患者在TIPS术后30天内发生PTLF。
单因素分析显示,TIPS指征(P=0.05),既往肝性脑病(P<0.0001),既往静脉曲张出血史(P=0.024),术前血清肌酐水平(P=0.039)、血红蛋白水平(P=0.017)、MELD评分(P=0.008)和Child-Pugh评分(P=0.001)与PTLF显著相关。随后的多因素logistic回归分析显示,既往肝性脑病和基线Child-Pugh评分被最终确定为PTLF的独立预测因素。AUROC曲线分析表明,Child-Pugh评分>9(AUROC:0.685)显示预测PTLF的灵敏度为83.3%,特异性为43.2%。MELD评分>14(AUROC:0.646)预测PTLF的灵敏度为60.0%,特异性为66.5%。Child-Pugh评分和MELD评分的诊断性能差异无统计学意义(P=0.533)。
另外,作者比较了合并和不合并PTLF患者的生存预后,结果显示,PTLF患者的90天无移植生存率显著低于无PTLF患者(40% vs. 96%,P<0.001)。
该研究表明,几乎10%的肝硬化患者可能发生TIPS后肝衰竭,并与早期死亡率显著相关。对于基线Child-Pugh评分较高和有肝性脑病史的患者,在TIPS术后需要密切关注患者的肝功能状态,加强护肝措施和预防肝衰竭的干预。




声明:本文仅供医疗卫生专业人士了解最新医药资讯参考使用,不代表本平台观点。该信息不能以任何方式取代专业的医疗指导,也不应被视为诊疗建议,如果该信息被用于资讯以外的目的,本站及作者不承担相关责任。
(来源:《国际肝病》编辑部)

