
慢性乙型肝炎病毒(HBV)感染的病毒学标志物是判断HBV感染、疾病进程、长期预后的重要指标。其中,乙肝表面抗原(HBsAg)和表面抗体(HBsAb)同时阳性被认为是一种慢性HBV感染的特殊状态,可能与HBV变异有关,临床上相对少见。肝纤维化是多数慢性HBV感染者疾病进程中的重要过程,其严重程度与预后密切相关。然而,HBsAg/HBsAb同时阳性对患者肝纤维化程度的影响并不清楚。基于江苏省多中心慢性肝病队列,南京大学医学院附属鼓楼医院吴超教授团队的王健、黄睿博士等分析了HBsAg/HBsAb同时阳性CHB患者的临床特征及肝纤维化程度的特征。

研究方法
研究者纳入2015年~2021年间来自南京大学医学院附属鼓楼医院和淮安第四人民医院未接受抗病毒治疗的慢性HBV感染者6534例,APRI、FIB-4、FibroTouch作为评估显著肝纤维化和肝硬化的指标。Logistic回归分析CHB患者显著肝纤维化和肝硬化的危险因素。
研究结果
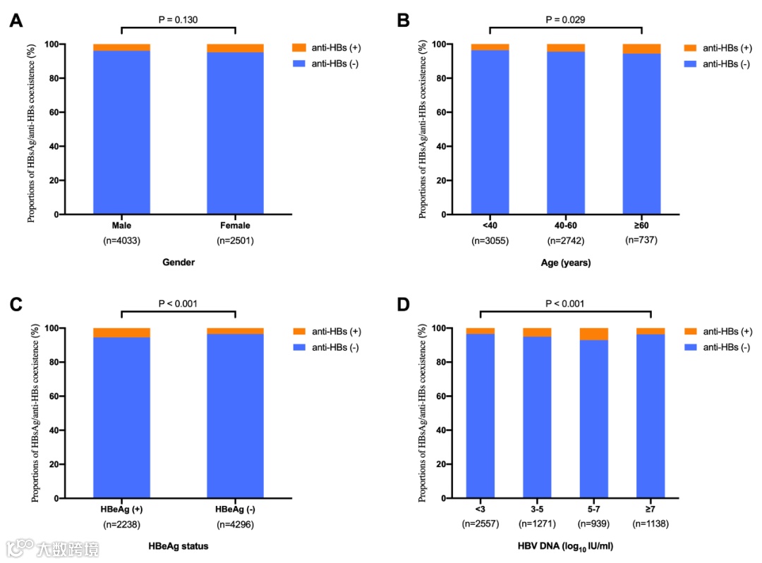
6534例慢性HBV感染者中,HBsAg+/HBsAb+患者的比例为4.2%。图1为不同性别、年龄、HBeAg状态和HBV DNA水平HBsAg/HBsAb同时阳性患者的比例。HBsAg+/HBsAb+组的中位年龄显著高于HBsAg+/HBsAb-组(46.0岁 vs. 41.0岁,P=0.005),两组患者性别分布无统计学差异。HBsAg+/HBsAb+组的谷丙转氨酶(45.1 U/L vs. 36.7 U/L,P=0.001)、谷草转氨酶(35.0 U/L vs. 28.3 U/L,P<0.001)、谷氨酰转肽酶(30.0 U/L vs. 25.7 U/L,P=0.004)的中位水平显著高于HBsAg+/HBsAb-组。然而,白蛋白(43.7 U/L vs. 44.3 U/L,P=0.015)的水平低于HBsAg+/HBsAb-组。
病毒学指标方面:HBsAg水平在HBsAg+/HBsAb+组更低(2.8 vs. 3.3 log10 IU/mL,P<0.001),但该组患者的HBV DNA水平(4.2 vs. 3.4 log10 IU/mL,P=0.045)和HBeAg阳性率(44.4% vs. 33.8%,P<0.001)显著高于HBsAg+/HBsAb-组。
肝纤维化程度方面:HBsAg+/HBsAb+组的APRI(0.5 vs. 0.4,P<0.001)、FIB-4(1.4 vs. 1.1,P<0.001)、肝脏硬度值(7.5 vs. 6.3 KPa,P=0.003)显著高于HBsAg+/HBsAb-组。Logistic回归分析显示,调整年龄、性别、HBV DNA、HBsAg水平、HBeAg状态后,HBsAg+/HBsAb+为显著肝纤维化(OR 1.755,P=0.005)和肝硬化(OR 1.831,P=0.003)的独立危险因素。进一步亚组分析表明,在HBeAg阳性组,HBsAg+/HBsAb+并不是显著肝纤维化(P=0.995)和肝硬化(P=0.597)的危险因素。然而,在HBeAg阴性组,HBsAg+/HBsAb+是显著肝纤维化(OR 2.243,P=0.030)的独立危险因素,但与肝硬化(P=0.056)无显著相关。

图1.不同性别、年龄、HBeAg状态和HBV DNA水平HBsAg/HBsAb同时阳性患者的比例
研究结论
该项大样本研究结果表明,HBsAg/HBsAb同时阳性在CHB患者中相对少见,约占4.2%。HBsAg/HBsAb同时阳性患者的年龄更大、有更明显的肝功能异常、HBV复制更加活跃。HBsAg/HBsAb同时阳性的患者肝纤维程度可能更重,尤其是HBeAg阴性的患者。
参考来源:
Jian Wang, Jiacheng Liu, Ruifei Xue, et al. IMPACT OF COEXISTENCE OF HEPATITIS B SURFACE ANTIGEN AND ANTIBODY ON THE PROGRESSION OF LIVER FIBROSIS IN CHRONIC HEPATITIS B. AASLD2021, poster-753.
专家简介
吴超教授
南京大学医学院附属鼓楼医院感染科主任医师,教授,博士生导师,副院长
南京大学病毒与感染病研究所所长
江苏省医学会感染病学分会主任委员
中华医学会感染病分会、肝病分会委员
江苏省“十二五”、“十三五”,“科教兴卫生”工程领军人才及创新团队及江苏省科技厅临床医学科技专项负责人
以第一及通讯作者发表SCI收录论文110余篇,包括Lancet Infect Dis,Hepatology,J Hepatol等权威杂志,为10余种SCI 期刊的编委及特约审稿专家
第一作者简介
王健
南京大学医学院附属鼓楼医院感染科,博士,医师
参与国家自然科学基金、江苏省自然科学基金、国家“十三五”传染病科技重大专项等项目10余项
获江苏医学科技奖二等奖1项,软件著作权1项,国家发明专利2项,江苏省五四青年集体奖1项
发表SCI论文40余篇,其中第一/共一作者28篇,包括Hepatology Communications,J Viral Hepat,Obesity,PLoS Negl Trop Dis等国际学术期刊
(来源:《国际肝病》编辑部)


