
编者按


HCC是一种异质性很强的恶性肿瘤。患者的肿瘤负荷、肝功能、肿瘤生物学、体能状态均会影响TACE治疗的预后。既往的研究中,已经开发了几种用于早期预测的TACE预测模型。然而,这些模型大多属于二分类,导致预后信息的丢失,或者在可推广的数据集中没有得到很好的验证。在这种背景下,我们团队最近提出了一个基于肿瘤负荷[最大肿瘤大小(ts,cm)加上肿瘤数量(tn)]的“6-and-12模型”,适用于指南推荐的TACE候选人,该模型可以预测患者TACE治疗结局,并将患者人群按照生存时间进行分层(临界值为6和12)。
值得注意的是,该“6-and-12模型”预测的性能仍可以进一步提高。众所周知,甲胎蛋白(AFP)是一个反映肿瘤生物学行为的指标,同时也是影响患者预后的一个因素。然而,AFP的临床应用仍然存在激烈的争论。首先,据我们所知,AFP在既往的一些预测模型中被广泛采用,然而其临界值仍无法统一。其次,AFP作为一个连续性变量与TACE术后生存结局之间的线性或非线性关系有待进一步研究。此外,AFP与其他预测因子之间的交互作用尚不清楚。
鉴于此,我们旨在开发和验证一种新颖、易于获取的TACE预后预测模型,从而改善中期HCC患者的预后,并且用于指导患者分层。

研究方法
这项研究最终纳入来自5个国家、39个中心的4377例作为TACE候选者的初治HCC患者,并将其分为一个训练数据集(中国24个中心,共1604例)、国内内部验证数据集(12中心共803例)、欧洲验证数据集(2个国家6个中心共1130例)和亚洲验证数据集(2个国家3个中心共840例)。使用Cox多因素回归分析开发新模型,并与我们原始的“6-and-12模型”和其他模型进行了比较。

研究结果
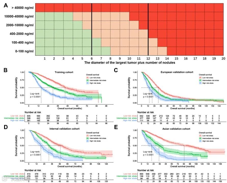
研究采用Cox多因素分析确定预后因素为ts,tn和AFP值,生成线性模型:“ts+tn+1.5×Log10 AFP)”,简称为“6-and-12模型2.0”。新模型具有良好的区分力(C指数0.674)和校准力,优于现有模型(图1)。

根据不同的AFP水平(≤100、100-400、400-2000、2000-10,000、10,000-40,000和>40,000 ng/mL)以及相应的肿瘤负荷临界值(8/14、7/13、6/12、5/11、4/10和任何肿瘤负荷)提出了易于使用的分层。例如:如果患者AFP水平属于400-2000 ng/mL之间,则根据肿瘤负荷截断值6和12,将患者分为低风险(ts+tn≤6)、中风险(6<ts+tn ≤12)和高风险(ts+tn >12)人群。因此,总体上,“6-and-12 模型 2.0” 可以将患者分为低中高风险如图2所示,中位总生存期分别为 45.0(95%CI:40.1-49.9)、30.0(95%CI:26.1-33.9)和 15.4(95%CI:13.4-17.4)个月(P<0.001)。这些研究结果在验证队列和亚组分析中均得到了证实。


研究结论
在这项国际多中心研究中,我们开发并验证了一种新颖的、简单易用的模型“6-and-12模型2.0”,用于推荐的TACE候选者。该模型在预测结果方面表现出卓越的辨别能力和拟合优度,可以将患者分为三个具有显著不同生存时间的风险层。“6-and-12模型2.0”可以作为HCC患者生存预测的工具,以便为广大患者做出更好的临床决策,进而进一步改善患者生存。



会场花絮
(来源:《国际肝病》编辑部)

声明:本文仅供医疗卫生专业人士了解最新医药资讯参考使用,不代表本平台观点。该信息不能以任何方式取代专业的医疗指导,也不应被视为诊疗建议,如果该信息被用于资讯以外的目的,本站及作者不承担相关责任。

