点击“蓝字”关注我们
编者按:近日,王友发教授团队通过对《2024世界肥胖报告》进行解读,探讨了报告对中国未来肥胖防控工作带来的启示:应加强国际合作,多部门协调合作共同应对肥胖挑战,助力建设“健康中国”。以下3篇论文,将从中国超重肥胖流行状况、疾病负担、变化趋势与防控工作进展及对中国人口发展的影响和应对等方面报告相关的新研究进展和重要成果,以期为未来中国健康体重管理行动提供参考。
一、中国超重肥胖流行状况与防控工作进展

1.中国超重肥胖的流行现状及疾病负担

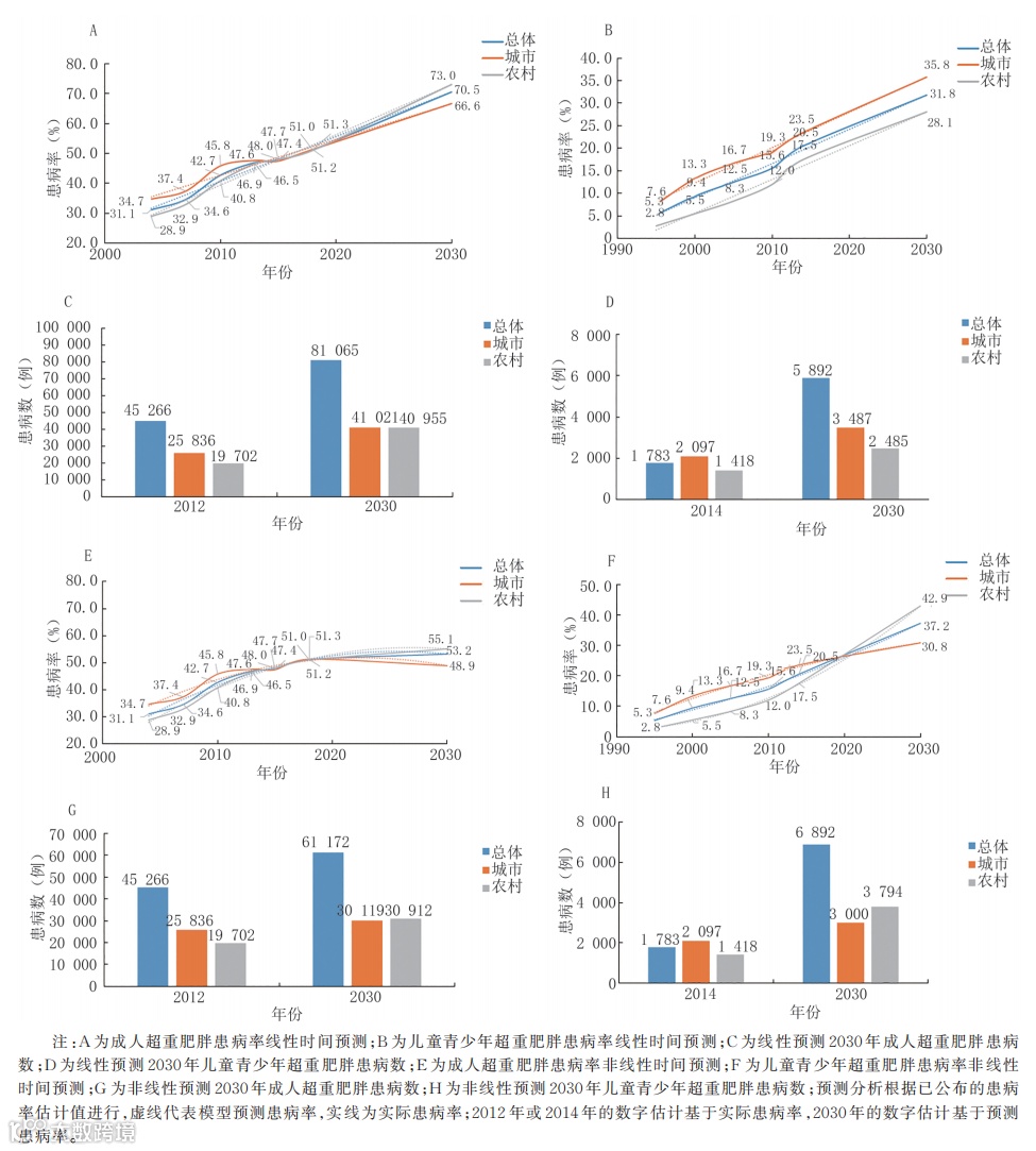
图1. 中国城乡成人与儿童青少年超重肥胖患病率趋势与患病数预测

图2. 预测2030年中国成年人(≥18岁)超重肥胖导致的医疗费用及超重肥胖患病率
2.中国超重肥胖的影响因素
3.中国超重肥胖的防控工作
4.中国肥胖防控的建议及展望


1.肥胖流行对人口发展的影响

图3. 肥胖影响人口发展的框架模型
2.当前我国肥胖应对政策现状与挑战
3.应对策略

三、新疆生产建设兵团某师市成年人群超重肥胖与相关慢性病的疾病负担及变化趋势研究

表1 肥胖对高血压或糖尿病发病影响的Cox回归分析


(来源:《国际糖尿病》编辑部)

声明:本文仅供医疗卫生专业人士了解最新医药资讯参考使用,不代表本平台观点。该信息不能以任何方式取代专业的医疗指导,也不应被视为诊疗建议,如果该信息被用于资讯以外的目的,本站及作者不承担相关责任。

