直到2022年,COVID-19仍在影响我们的日常生活,并且在可预见的未来仍将如此。尽管疫情防控的重点是开发有效的疫苗和治疗药物,但是通过一些非药物干预来减少个体的感染风险和疾病负担,在全球应对新一波疫情大流行中也同样有重要作用。
在预防COVID-19的多种不利影响方面,健康的饮食、生活方式等非药物干预手段往往被低估,这在无法获得疫苗和治疗药物的地区尤为重要。此外,保持健康的生活方式和饮食习惯,有助于提供额外的保护。众所周知,营养不良可能是严重呼吸系统疾病和合并症(例如血压升高、肥胖和糖尿病)的危险因素,可以增加COVID-19患者发生严重疾病和致命后果的风险。
Nutrients开辟了一个特刊,旨在研究关于营养状况、生活方式/饮食改变以及膳食补充剂对于预防SARS-CoV-2感染以及改善COVID-19结局的影响。在这篇社论中,宾夕法尼亚大学Perelman医学院的Ronan Lordan博士以及旧金山营养和健康研究中心的William B. Grant博士介绍了这些方面的研究进展。
维生素D和锌
该文章列举的来自阿拉伯联合酋长国和来自俄罗斯的两项研究表明,COVID-19住院患者普遍存在维生素D缺乏。这两项研究都强调,充足的维生素D水平可能具有临床相关性,可作为COVID-19患者预后的预测指标。
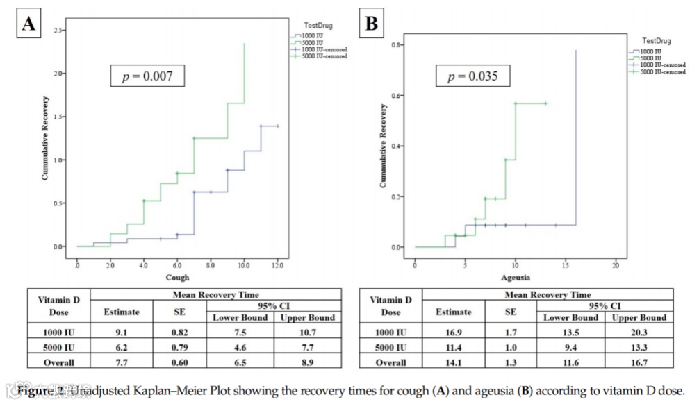
另一项来自沙特阿拉伯的小样本临床试验,纳入了69名轻度或中度的COVID-19住院患者,随机接受标准剂量(1000 IU)或高剂量(5000 IU)口服维生素D3治疗,每天一次,共2周疗程。结果显示高剂量组患者的恢复时间(6.2±0.8 vs. 9.1±0.8天;P = 0.039)均显著短于标准剂量组,咳嗽(6.2 vs. 9.1天,P = 0.007)、味觉丧失(11.4 vs. 16.9天;P = 0.035)等症状持续时间也更短。
🔺 标准剂量或大剂量Vit D3治疗轻中度COVID-19患者的症状恢复时间
也有研究提示,SARS-CoV-2感染者的血清锌浓度显着低于未感染者;但轻度和中度疾病严重程度患者的锌浓度差异并不显着。此外,一项针对4例COVID-19门诊患者的研究,在使用高剂量锌盐治疗一天后即发现患者症状有显着改善,表明锌治疗在COVID-19临床恢复中发挥了一定作用,但仍需扩大样本的随机对照研究来验证。
膳食补充剂
该文章还介绍了两种称为光果甘草提取物(Glycyrrhiza glabra)和橙皮苷(hesperidin)的天然产物,可能通过血管紧张素转换酶2(ACE2)和跨膜丝氨酸蛋白酶2(TMPRSS2)抑制病毒进入细胞,这两种细胞蛋白是SARS-CoV-2入侵哺乳动物细胞的重要介质。
此外,来自波兰的研究小组还报告称,在2020年9月开始的第二波大流行期间,维生素D成为最受欢迎的膳食补充剂;第一波、第二波和第三波大流行期间,分别有23%、38%和33%的研究受访者服用了维生素D。
🔺 波兰3波疫情中的锌、Vit D、免疫和膳食补充剂的使用情况
此外,研究人员对大流行期间出现的潜在营养需求和供应链问题表示关注,并重点介绍了美国分发健康膳食和零食的计划。
疫情的意外影响
该文章关注到了疫情带来的一系列意外影响。比如一项来自纽约长岛的横断面研究显示,COVID-19大流行导致学校停课,转为线上授课。这种授课模式的改变可能与体重增加相关。在接受调查的参与者中,有52%报告体重增加;与高中教师相比,幼儿园和小学教师的患病率更高(P < 0.05)。
疫情期间久坐不动,情绪化饮食,以及土豆、薯条、面包、奶酪、蛋糕、薯片、糖果、冰淇淋和软饮料的消费量增加都与体重增加呈正相关。作者还建议在孕妇在疫情期间,除了要定期监测和产检以外,也要定期进行营养和心理社会教育和干预。
作者最后指出,需要进行更多广泛的研究工作,以充分掌握如何通过饮食、补充剂和生活方式改变来预防SARS-CoV-2感染和COVID-19的大部分不利影响。
参考文献
(上下滑动可查看)
(来源:《每日医线》)


