
编者按:越来越多的证据表明高密度脂蛋白胆固醇(HDL-C)是各类肝病预后的独立危险因素。我国天津医科大学总医院空港医院消化科崔膑心主治医师、总医院消化内科孙超副主任医师在失代偿期肝硬化患者中开展相关倾向评分匹配分析,其结果证实了HDL-C在预测肝硬化患者预后上的价值,认为HDL-C<0.4 mmol/L是确定高死亡风险患者的最佳截断值;而且,HDL-C联合传统预后评分,如MELD评分和CTP分级可表现出更好的预测价值。文章于2022年3月24日在线发表于Journal of Clinical Lipidology。
MELD:终末期肝病模型;HDL-C:高密度脂蛋白胆固醇;TG:甘油三酯;DM:糖尿病;PSM:倾向评分匹配
PSM:倾向评分匹配
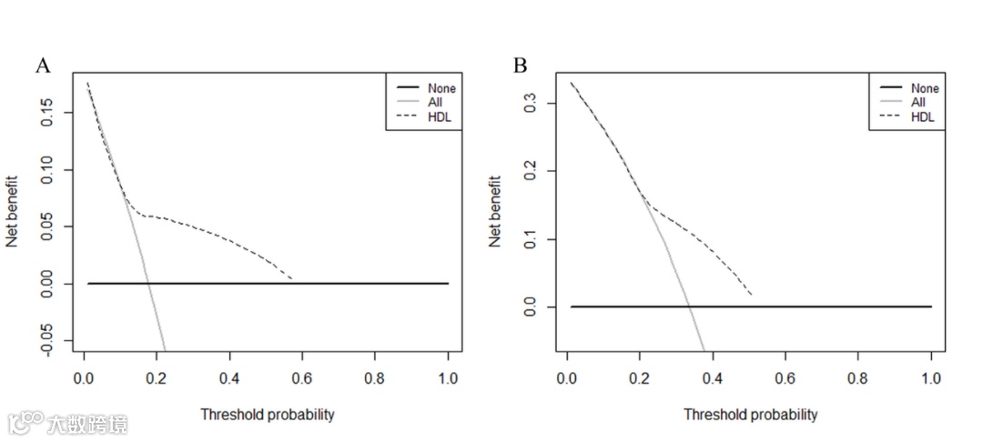
图3.决策曲线分析显示HDL-C在PSM前(A)及PSM后(B)预测肝硬化患者180天死亡情况
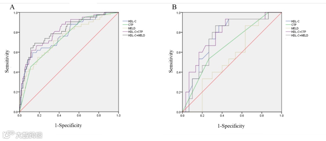
CTP:Child- Pugh肝功能分级;MELD:终末期肝病模型;HDL-C:高密度脂蛋白胆固醇;PSM:倾向评分匹配
我们采用PSM分析来研究HDL-C对失代偿期肝硬化患者180天死亡的预测价值,结果表明匹配后可减少选择偏倚及混杂因素的影响,HDL-C<0.4 mmol/L是确定高死亡风险患者的最佳截断值。此外,HDL-C联合传统预后评分,如MELD评分和CTP分级表现出更好的预测价值。
参考文献:(上下滑动查看更多)
1. Janicko M, Veseliny E, Lesko D, Jarcuska P. Serum cholesterol is a significant and independent mortality predictor in liver cirrhosis patients. Ann Hepatol. 2013;12:581-587.
2.Cheng R, Tan N, Kang Q, et al. High-density lipoprotein cholesterol is a predictor of survival in cirrhotic patients with acute gastrointestinal bleeding: a retrospective study. BMC Gastroenterol. 2020;20:381.
3.Trieb M, Horvath A, Birner-Gruenberger R, et al. Liver disease alters high- density lipoprotein composition, metabolism and function. Biochim Biophys Acta. 2016;1861:630-638.
4.Levels JH, Abraham PR, van den Ende A, van Deventer SJ. Distribution and kinetics of lipoprotein-bound endotoxin. Infect Immun. 2001;69:2821-2828.
5.Thabut D, Tazi KA, Bonnefont-Rousselot D, et al. High-density lipoprotein administration attenuates liver proinflammatory response, restores liver endothelial nitric oxide synthase activity, and lowers portal pressure in cirrhotic rats. Hepatology. 2007;46:1893-1906.
通讯作者
孙超,副主任医师,本科毕业于北京大学医学部,天津医科大学医学/理学博士,日本兵库医科大学研究员。全国疑难及重症肝病攻关协作组成员。主持完成国家自然科学基金一项。担任SCI期刊Journal of Clinical and Translational Hepatology编委、2021年度杰出编委,任职Portal Hypertension & Cirrhosis首届学术委员会,Frontiers in Pharmacology/ Mediators of Inflammation客座编辑。
2020年在EASL(欧洲肝脏研究学会)年会做口头发言,2021年在AASLD(美国肝病研究协会)年会做壁报展示。获得EASL的“Full Bursary”和APDW的“Travel Grant”奖励。以通讯作者在Clinical Nutrition, Liver International, Cell Death & Disease, Hepatology Communications等杂志发表SCI文章40余篇,他引500余次,h指数14,研究成果被ASGE(美国胃肠内镜学会)和EASL发布的临床实践指南引用。
目前研究方向为调节性细胞死亡在急慢性肝损伤中的作用机制,体成分异常、营养不良、衰弱、睡眠障碍以及微量元素对肝硬化预后的影响及干预措施。
第一作者
崔膑心,天津医科大学总医院空港医院消化科主治医师、博士在读,硕士毕业于天津医科大学。以第一作者或共同第一作者第一作者身份在Pharmacological research, Journal of Clinical Lipidology和Digestion等SCI期刊发表论文6篇,单篇最高影响因子7.66。目前研究方向为慢性肝病与血脂代谢紊乱、体成分异常之间的关系。
(来源:《国际肝病》编辑部)

