点击“蓝字”关注我们
甲状腺激素在能量代谢中具有核心作用,其功能异常与肥胖及多种代谢性疾病有一定相关性。近年来,有学者提出一些基于血清FT4和TSH水平评估甲状腺激素的中枢敏感性指标,包括甲状腺反馈分位数指数(TFQI)、促甲状腺激素指数(TSHI)和促甲状腺素T4抵抗指数(TT4RI)。既往研究表明,甲状腺激素敏感性下降与多种代谢综合征风险增加密切相关,如胰岛素抵抗、糖尿病、高尿酸血症、高同型半胱氨酸血症、高脂血症、高残余胆固醇水平、高血压及心血管疾病风险等。然而,关于甲状腺激素敏感性与代谢综合征的重要表现之一的肥胖,尤其是内脏脂肪肥胖之间的研究有限。内脏脂肪指数(VAI)作为一种基于性别特异性的综合指标,可间接评估内脏脂肪的分布及脂肪细胞功能。研究表明,相比于体重指数(BMI),VAI与胰岛素敏感性及心血管代谢风险更密切相关。近日,首都医科大学附属北京朝阳医院王广教授团队在美国内分泌学会官方杂志The Journal of Clinical Endocrinology & Metabolism(JCR1 区)发表最新研究成果。研究探讨了在甲状腺功能正常的成人中甲状腺激素敏感性与内脏脂肪之间的关系。韦莹博士和杨梦鸽博士生为文章共同第一作者,王广教授和王莹教授为共同通讯作者。

王广 教授
博士、主任医师、教授、博士生导师
首都医科大学附属北京朝阳医院内分泌科主任;
中华医学会内分泌学分会委员;
北京医学会内分泌学分会副主任委员;
北京内分泌代谢病学会糖尿病分会主任委员;
第七届“全国优秀科技工作者”;
北京市领军人才、北京市登峰人才;
主持国家科技部重点研发项目、国家自然科学基金6项;
第一作者或通讯作者在Science、Nature Medicine、Cell Metabolism、JCEM、Metabolism等发表论文80余篇。
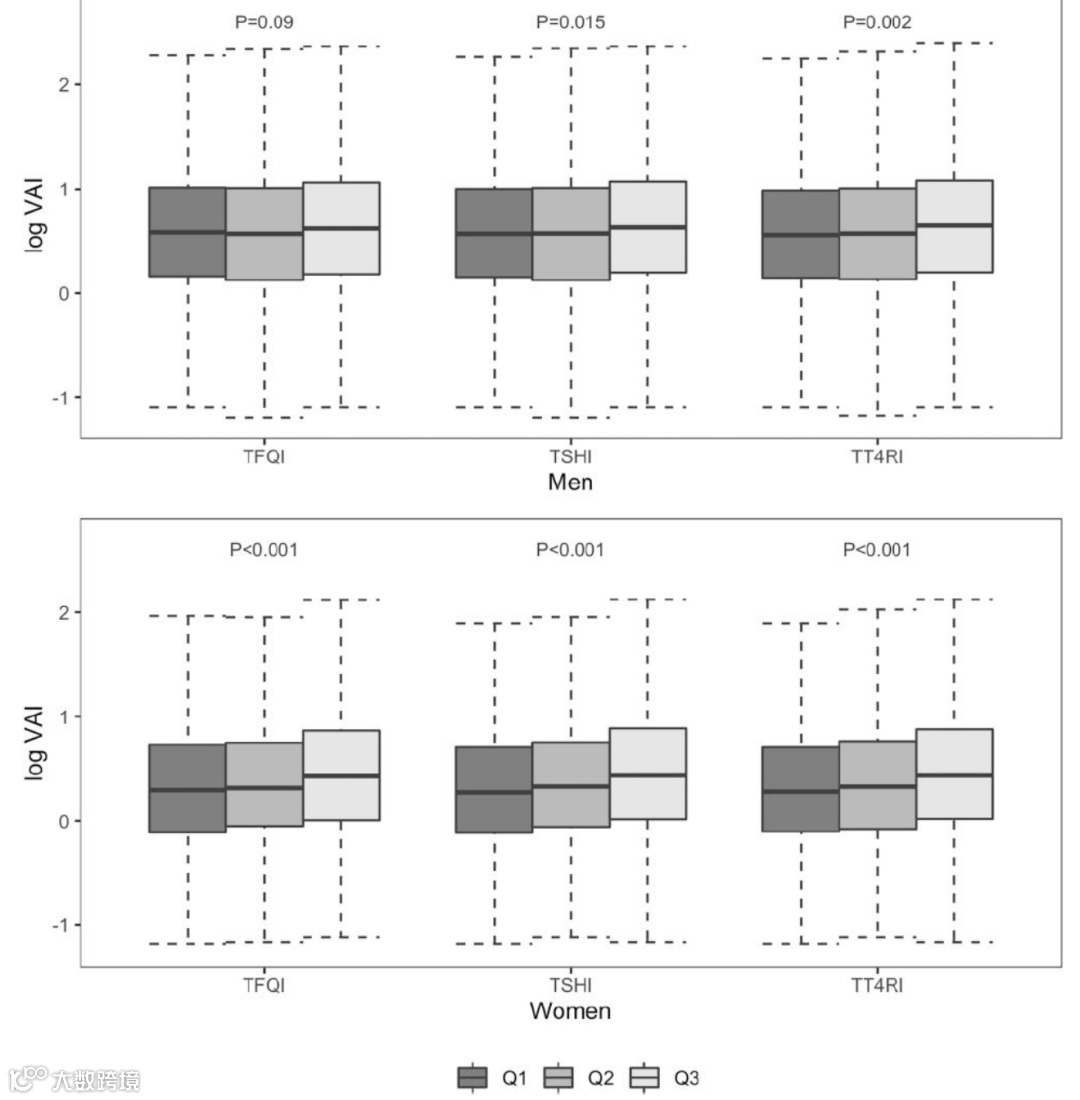
该研究共纳入了甲状腺功能正常的11160位参与者,通过BMI和VAI评估肥胖程度。根据甲状腺激素敏感性指数的三分位数,将参与者分为三组(Q1,Q2,Q3)。按性别分层,使用逻辑回归和线性回归来探索相关关系。研究结果表明,在TT4RI三分位组中,校正了年龄、高血压、高脂血症、糖尿病、高尿酸血症和肾功能的危险因素后,最高分位数组(Q3)男性的BMI较最低分位数组(Q1)高1kg/m2(P=0.001)。男性TFQI和TSHI三分位数组之间,以及女性TFQI、TSHI和TT4RI三分位数组之间的BMI无显著差异。在校正了其他危险因素后,甲状腺激素敏感性指数在女性中与VAI呈正相关,但在男性中无明显相关(图1,图2)。在最高三分位数的TFQI、TSHI和TT4RI组别中,女性发生高VAI的概率分别是最低三分位数组别的1.21倍(95%CI:1.02~1.44,P=0.03)、1.43倍(95%CI:1.20~1.70,P<0.001)和1.47倍(95%CI:1.23~1.75,P<0.001)(图2)。

图1. 甲状腺激素敏感性指数三分位区间中VAI的分布

图2. 甲状腺激素敏感性指数和高VAI之间的关系
该研究表明,在甲状腺功能正常范围内,女性的甲状腺激素敏感性指数降低与内脏脂肪增加有关,这进一步证实了甲状腺激素敏感性在代谢性疾病的发展中有重要作用。改善甲状腺激素抵抗可能有助于缓解女性中心性肥胖并降低其代谢紊乱风险。该研究结果为进一步探究甲状腺激素与脂肪分布及肥胖的生理联系提供了新的参考。
(来源:《国际糖尿病》编辑部)

声明:本文仅供医疗卫生专业人士了解最新医药资讯参考使用,不代表本平台观点。该信息不能以任何方式取代专业的医疗指导,也不应被视为诊疗建议,如果该信息被用于资讯以外的目的,本站及作者不承担相关责任。


