2025年2月5日,由研究者发起的CHESS2004国际多中心研究结果以Original Article发表于 Clin Mol Hepatol (中科院1区,IF: 14.0)。该研究纳入了502名代偿期肝硬化患者,利用机器学习算法分析纤维化-4指数(FIB-4)及二维剪切波弹性成像技术测得的脾脏硬度(SSM)和肝脏硬度(LSM),开发并验证了一种新型无创预测技术:FIB-4plus评分。CHESS创始人、国家高层次人才祁小龙和韩国首尔国立大学医学院Won Kim担任共同通讯作者,安徽医科大学第一附属医院董丙田为第一作者。克罗地亚消化病学会主席Ivica Grgurevic为并列第一作者。
门静脉高压是肝硬化的主要并发症,可导致食管胃静脉曲张及破裂出血等严重失代偿事件。食管静脉曲张(EV)破裂出血具有较高的死亡率和复发风险。虽然电子胃镜检查是评估EV的金标准,但约一半的代偿期肝硬化患者无EV或仅有轻度EV,且无高风险特征。因此,这些患者无法从胃镜检查中受益。因此,开发无创检测技术识别EV并减少不必要的内镜检查,具有重要临床意义。
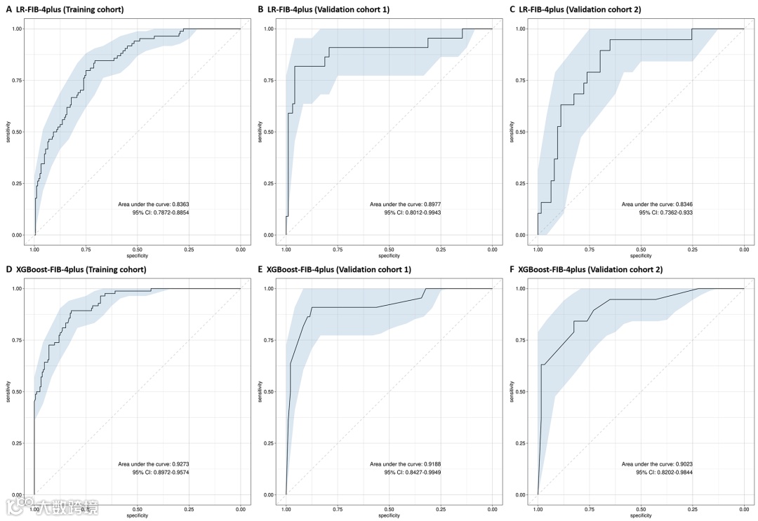
本项国际多中心研究纳入了502例代偿期肝硬化患者,其中训练队列268例,两个外部验证队列分别为118例、82例,另纳入瞬时弹性成像队列34例。结果显示,FIB-4plus评分在排除高危静脉曲张(HRV)方面的敏感度和阴性预测值均大于0.95。同样,FIB-4plus评分在诊断HRV时的特异度和阳性预测值也均超过0.95。基于最佳截断值,FIB-4plus评分在评估HRV方面表现出良好的价值,其受试者工作特征曲线下面积均大于0.9,优于单独使用FIB-4、SSM或LSM。
本研究还验证了Baveno VI/VII算法在二维剪切波弹性成像技术的应用,结果表明,FIB-4plus评分的效能优于基于二维剪切波弹性成像的Baveno VI/VII算法。东南大学附属中大医院居胜红、兰州大学第一医院何蕊玲、东南大学医学院陈玉萍、太原市第三人民医院马建中、郭瑛,宜春市人民医院范惠珍,湖州市中心医院严强为本文并列第一作者。本国际多中心研究结合FIB-4、SSM和LSM建立的FIB-4plus评分可有效预测代偿期肝硬化的HRV和EV,有望为肝硬化患者的静脉曲张出血风险管理提供技术支撑。
通讯作者
祁小龙
• CHESS 创始人、理事长
• PH&C 创始人、主编
• 国家高层次青年人才
• 专注于重大慢性肝病新技术研发及转化,H-index 46。唯一通讯作者:Lancet Gastroenterol Hepatol, J Hepatol, Gut, Hepatology, Radiology,共同通讯作者:Nature Medicine,共同第一作者:BMJ ,牵头制定指南共识 5 部,获亚太肝脏研究学会 Rising Star Award,获江苏省科学技术奖一等奖(第一完成人),中华医学科技奖青年科技奖(第一完成人)。
共同通讯
Won Kim
• 韩国首尔国立大学医学院
• 韩国肝癌协会(KLCA)研究委员会主任
• 韩国NAFLD研究小组(KNSG)学术委员会主任
• 韩国肝病学会(KASL)研究委员会主任
• 韩国酒精相关问题研究小组主席
• 专注于通过整合多组学方法在非酒精性脂肪性肝病(NAFLD)中实现精准医学。发表/合著了超过210篇SCI文章,总引用次数为 9190 次,H-index为 47。
第一作者
董丙田
• 安徽医科大学第一附属医院
• 专注于肝硬化门静脉高压症的无创诊断与监测研究
• 以第一作者在Clin Mol Hepatol(IF 14.0, Q1),J Transl Med(IF 7.4, Q1)等期刊发表SCI论文14篇;主持省级课题1项。Acta Biomaterialia等期刊审稿人;研究入选第十三届西湖国际超声医学论坛(WICUMB)青年研究者论坛,获Young Investigator Scholarship等。
点击下方 阅读原文 跳转原文
(来源:CHESS 肝脏健康)

声明:本文仅供医疗卫生专业人士了解最新医药资讯参考使用,不代表本平台观点。该信息不能以任何方式取代专业的医疗指导,也不应被视为诊疗建议,如果该信息被用于资讯以外的目的,本站及作者不承担相关责任。

