
图:中国肝脏脂肪变性和纤维化患病率的地理差异
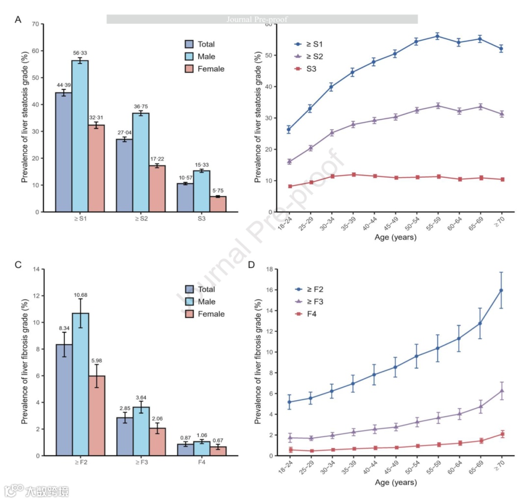
图:不同性别和年龄组的肝脂肪变性和纤维化患病率

声明:本文仅供医疗卫生专业人士了解最新医药资讯参考使用,不代表本平台观点。该信息不能以任何方式取代专业的医疗指导,也不应被视为诊疗建议,如果该信息被用于资讯以外的目的,本站及作者不承担相关责任。
(来源:CHESS 肝脏健康)
国际肝病

图:中国肝脏脂肪变性和纤维化患病率的地理差异
图:不同性别和年龄组的肝脂肪变性和纤维化患病率

声明:本文仅供医疗卫生专业人士了解最新医药资讯参考使用,不代表本平台观点。该信息不能以任何方式取代专业的医疗指导,也不应被视为诊疗建议,如果该信息被用于资讯以外的目的,本站及作者不承担相关责任。
(来源:CHESS 肝脏健康)