点击蓝字
关注我们
编者按
肝细胞癌(HCC)是全球范围内重要的健康问题,其流行病学和病因学特征正在发生显著变化。近年来,随着乙型肝炎病毒(HBV)和丙型肝炎病毒(HCV)防控措施的推进,病毒性肝炎相关肝癌的发病率有所下降,但代谢相关脂肪性肝病(MASLD)和酒精性肝病(ALD)等非病毒性病因导致的肝癌比例持续上升。在“中华医学会第二十二次病毒性肝炎及肝病学术会议暨2025年中华医学会感染病学分会年会、中华医学会肝病学分会年会”上,首都医科大学附属北京友谊医院贾继东教授全面梳理了全球肝癌流行病学变迁、病因谱变化以及不同病因对治疗效果和预后的影响,旨在为临床防治提供参考依据。
肝癌的流行病学变迁
全球肝癌的年龄标化发病率(ASIR)呈现下降趋势。1990年至2020年的数据显示,虽然年龄标化发病率有所下降,但肝癌的疾病负担仍然严重。根据预测模型,在2022年至2050年期间,全球年龄标化发病率在不同年度变化情景下可能呈现不同趋势。国家/地区层面的数据分析显示,1990年至2021年期间各国年龄标化发病率的变化幅度存在显著差异,总体来说,在以病毒性肝炎为主要病因的发展中国家(总体肝细胞癌发病率高)有下降趋势,而在酒精和代谢相关性脂肪肝为主要病因的发达国家(总体肝细胞癌发病率低),其发病率反而有上升趋势。
2022年GLOBOCAN数据显示,全球肝癌新发病例约86.6万例,发病率为8.6/10万,位居全球肿瘤发病率第六位;死亡率为7.4/10万,高居全球肿瘤死亡率第四位;而在中国的发病率为15.2/10万,位居中国肿瘤发病率第四位;死亡率为12.6/10万,高居中国肿瘤死亡率第二位[1-2]。
中国国家癌症中心的最新研究进一步揭示了2000年至2018年期间中国肝癌的流行趋势[1]。数据显示,中国年龄标化的肝癌发病率和死亡率均呈现下降趋势,其中男性发病率和死亡率的下降尤为明显,女性也呈现类似趋势。从全球数据对比来看,2020年全球肝癌新发病例90.6万例,中国为41.0万例,占全球45%[3];而2022年全球新发病例86.6万例,中国为36.77万例,占比42%,虽然绝对数量有所下降,但中国的疾病负担仍然较重。
图1. 中国年龄标化的癌症发病率和死亡率(2000—2018年)
(引自讲者会议幻灯)
肝癌的病因学变迁
肝癌的病因分布在过去二十多年中发生了显著变化。2000年至2021年期间的数据显示,HBV和HCV相关肝癌的比例逐渐下降,而MASLD和ALD相关肝癌的比例持续上升[4]。全球范围内的比较研究显示,1990年与2019年的病因分布对比进一步证实了这一趋势[5]。
图2. 全球HCC病因分布变化:1990(左)与2019(右)
(引自讲者会议幻灯)
不同病因导致的肝硬化患者发生肝癌的年风险率存在差异。2023年发表的荟萃分析显示,未治疗的HCV患者和代谢相关肝病患者HCC年风险率相对较高[6]。2025年发表的荟萃分析显示,酒精性肝病(ALD)和(或)代谢异常+酒精性肝病(MetALD)相关肝硬化患者,HCC发病率较高[7]:ALD和(或)MetALD相关肝硬化组(CIRRAL队列):2.40例/100人年;已治愈HCV相关肝硬化组(CirVir队列):1.49例/100人年;抗病毒治疗HBV感染者肝硬化组(CirVir队列):1.66例/100人年;MASLD肝硬化组(NASH临床研究网络队列):0.04例/100人年。
图3. 肝硬化患者不同病因亚组中HCC年发病率。数据来源于尽可能涵盖全球研究的系统综述,虚线表示HCC年发病率的阈值界限,超出该阈值进行肝癌筛查可能具有成本效益
(引自讲者会议幻灯)
图4.不同病因肝硬化患者HCC发生率
(引自讲者会议幻灯)
MASLD患者的肝纤维化可不断进展并导致肝硬化[8]。特别已进展为肝硬化的MASLD患者中HCC的年发生率为0.5%~2.6%,在无肝硬化的MASLD人群中为0.1~1.3/1000人年[9]。
图5. MASLD的纤维化进展
(引自讲者会议幻灯)
近年来的研究还发现,HCV、HBV感染与酒精摄入之间存在复杂的相互作用,这些因素共同影响着肝癌的发生发展。MASLD的纤维化进展过程与肝癌发生密切相关,其具体机制包括慢性炎症反应、代谢异常等多个环节。在不同类型的肝病患者中,MASLD相关肝癌的比例呈现上升趋势,这提示我们需要更加关注非病毒性肝病导致的肝癌负担。
不同病因肝癌的疗效和预后
肝癌的发生主要通过两条途径:炎症坏死/纤维化途径(乙肝、丙肝、酒精和代谢相关脂肪性肝病)和基因整合(乙肝)途径。不同病因导致的肝癌在分子分型和亚型方面存在差异,总体来说,乙肝所致肝癌为增殖型、甲胎蛋白水平相关较高,这些差异可能影响治疗效果和预后。
多项大规模临床研究揭示了不同病因肝癌患者的生存差异。美国一项包含11 522例HCC患者的研究显示,HBV相关肝癌患者的生存率相对较高[10]。另一项针对5 098例美国患者的研究进一步证实了这一趋势,显示病毒性肝炎所致肝癌的总体生存率优于非病毒性病因[11]。中国台湾地区对3 941例患者的分析也得到类似结果,其中HBV组生存最佳,HCV次之,ALD和所有指标阴性组预后较差[12]。
在规范治疗和长期监测方面,美国数据显示不同病因肝病患者接受规律肝癌筛查和监测的比例存在差异[13],这可能影响早期诊断率和治疗效果。ALD相关肝癌的临床管理面临特殊挑战,包括合并症多、诊断时机晚等问题。
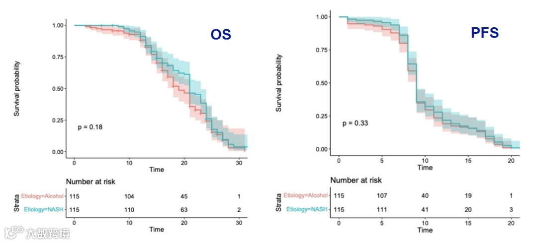
靶向治疗方面,仑伐替尼在MASH和酒精相关肝癌中均显示出良好疗效[14]。免疫治疗的研究显示,使用PD-L1抑制剂杜瓦利尤单抗和CTLA-4抑制剂替西木单抗治疗时,病毒性、MASLD及其他非病毒性肝癌患者在调整混杂因素后的总生存期和无进展生存期存在组间差异[15]。
图6. 仑伐替尼在MASH和酒精相关肝癌中均显示出良好疗效
(引自讲者会议幻灯)
图7. 病毒相关性肝癌、MASLD相关性肝癌以及非病毒非MASLD性肝癌患者的总生存期对比(a)原始数据分析结果;(b)校正患者特征不平衡后的分析结果。
(引自讲者会议幻灯)
联合治疗策略显示出显著优势。首次通过荟萃分析证实:PD-1/PD-L1抑制剂联合疗法治疗不可切除肝癌的临床疗效优于抗血管生成单药治疗,尤其在乙肝病毒感染及亚洲人群中优势显著[16]。
表1. HCC患者总体生存亚组分析
(引自讲者会议幻灯)
网络荟萃分析显示,不同病因肝癌患者接受一线分子靶向治疗后的生存风险比存在差异[17]:乙肝(HBV)患者群体中,阿特珠单抗+贝伐单抗(atezo-bev)方案(P评分87%)和STRIDE方案(P评分75%)在所有获批方案中展现出最佳的总生存获益;丙肝(HCV)患者群体中,阿特珠单抗+贝伐单抗方案(P评分94%)位列最优;非病毒性病因群体中,STRIDE方案(P评分79%)排名最佳,而阿特珠单抗+贝伐单抗方案(P评分29%)表现最差。然而,免疫治疗应答的差异是否真正反映病因特异性,还是源于研究偏倚,仍需进一步探讨。
手术治疗方面,肝切除和肝移植的结果显示,MASLD相关肝癌患者的术后生存率可能较低。荟萃分析表明,与其他病因相比,MASLD相关肝癌患者肝移植后的无病生存率可能更差。特别值得注意的是,术前合并糖尿病的MASLD相关肝癌患者移植肝存活率显著降低,这提示我们需要更加重视术前代谢状态的管理。
小结
全球肝癌的年龄标化发病率和死亡率呈现下降趋势,但患者绝对数量下降不明显。病因分布发生显著变化:HBV/HCV相关肝癌发病率下降,而ALD/MASLD相关肝癌发病率上升。预后方面,HBV相关肝癌生存情况较好,ALD/MASLD相关肝癌预后较差。靶向药物TKI对不同病因肝癌疗效相近,而免疫检查点抑制剂的主要获益人群可能以病毒性肝炎所致肝癌(HBV/HCV-HCC)为主。手术治疗后,肝癌患者的生存率较低,合并糖尿病的MASLD-HCC患者肝移植预后更差。目前,关于不同病因肝癌患者肝移植术后长期生存的差异,仍需更多高质量研究予以明确。
(来源:《国际肝病》编辑部)
声明:本文仅供医疗卫生专业人士了解最新医药资讯参考使用,不代表本平台观点。该信息不能以任何方式取代专业的医疗指导,也不应被视为诊疗建议,如果该信息被用于资讯以外的目的,本站及作者不承担相关责任。

