
编者按
2023年11月10日~14日,2023年美国肝病研究学会年会(AASLD2023)在美国波士顿隆重举行。首都医科大学附属北京佑安医院张晶教授团队长期以来聚焦慢性肝病的科学研究,此次团队有7项研究成果被大会收录并以壁报的形式参与大会交流,分别来自非酒精性脂肪性肝病[1-3]、肝硬化[4-5]和丙型肝炎[6-7]领域,成果丰硕!《国际肝病》有幸在大会现场邀请到张晶教授为我们介绍研究发现及重要意义、分享临床科研心得和建议,并畅谈此次参会感兴趣的话题及未来研究方向。访谈视频和部分研究内容分享如下。


▲张晶教授在AASLD2023现场接受专访

研究一
赵锦涵 张晶 张洋等
非酒精性脂肪性肝病(Nonalcoholic fatty liver disease, NAFLD)是一种遗传因素和环境因素共同作用导致的代谢应激性肝损伤,在NAFLD的发生发展过程中,基因多态性(Single nucleotide polymorphism,SNP)起到50%以上的作用。SAMM50是近几年发现的与NAFLD易感性及疾病进展之间存在关联的SNP,目前少数相关研究在日本、韩国、墨西哥、西班牙人群中展开,基于中国人群的研究仍较少。而全球老龄化的趋势日渐明显,预估到2025年,60岁及以上人口将达到约8.4亿。有证据表明,衰老增加了NAFLD的发病率,特别是非酒精性脂肪性肝炎(Nonalcoholic Steatohepatitis,NASH)的死亡率,老年NAFLD亟需受到关注。因此,我们进行了病例-对照研究,以探讨SAMM50的3种SNP及其相互作用对中国老年人群NAFLD的影响。
研究方法
该研究回顾性纳入2020年11月至2021年9月在北京门头沟社区医院参加年度体检≥65岁的老年人群1053例,并分为NAFLD组(590例)和非NAFLD对照组(463例)。NAFLD基于腹部超声诊断,提取基因组DNA并进行SNP分型,采用广义多因子降维(GMDR)分析SNP-SNP相互作用对NAFLD的影响。
研究结果
1、NAFLD组rs2073082与对照组基因型分布有差异,rs738491的基因型和等位基因频率在两组间均存在差异,rs3761472基因型分布和等位基因频率未见显著差异(表1)。

2、Rs2073082与NAFLD易感性在纯合模型(GG vs. AA,OR=1.638,P<0.001)和隐性模型(AG + GG vs. AA,OR=1.836,P<0.001)下存在显著关联。校正混杂因素(性别、年龄、BMI)后仍有显著相关性(校正后OR分别为1.691和1.962),G等位基因携带者发生NAFLD的风险较高。此外,rs738491与NAFLD在等位基因模型(T vs. C,校正OR=1.216,P=0.045),纯合子模型(TT vs. CC,校正OR=1.373,P=0.021)和隐性模型(CT + TT vs. CC,校正OR=1.532,P= =0.021)下存在显著关联(表2)。

3、GMDR分析显示rs2073082、rs738491和rs3761472三位点模型预测NAFLD发生风险时训练精确度(56.97%)和测试准确率(55.52%)最高,并且有最佳的交叉验证一致性(CVC:10/10),结果具有统计学意义(P=0.0107)(表3)。

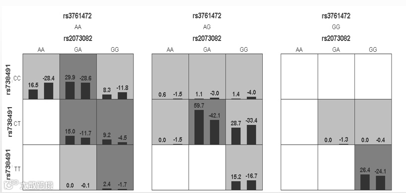
4、模型图(图1)显示三个SNP不同基因型组合对NAFLD的发生风险预测情况。树状图(图2)显示rs2073082和rs738491对NAFLD的易感性表现出拮抗作用。Fruchterman−Rheingold(图3)显示,rs3761472与rs738491和rs2073082具有协同作用,而rs2073082和rs738491与NAFLD有拮抗作用。

图1. 在NAFLD和对照组受试者中,SAMM50 rs2073082、rs738491和rs3761472之间的SNP-SNP相互作用

图2. SNP−SNP相互作用树状图
5、NAFLD发生风险随着携带SNP位点数量的增加而增加。单位点、双位点和三位点模型调整后的OR分别为1.532(95%CI:1.144~2.053)、1.809(95%CI:1.147~2.853)和1.892(95%CI:1.196~2.993)。此外,同时有rs2073082 G等位基因携带者、rs738491 T等位基因携带者和rs3761472 G等位基因携带者发生NAFLD的风险比非携带者高2倍(表4)。

研究结论
SAMM50-rs2073082 G等位基因和-rs738491 T等位基因携带者发生NAFLD的风险更高。GMDR交互作用分析显示rs2073082、rs738491、rs3761472三种SNP的组合对NAFLD的预测能力最强。三种SNP风险位点同时携带时NAFLD的发生风险比非携带者高2倍。

研究二
根据新旧不同诊断标准评估肝硬化患者肝硬化心肌病的患病率
肝硬化性心肌病(cirrhosis cardiomyopathy,CCM)是在既往没有心脏病史的肝硬化患者中发生的心功能障碍,2019年肝硬化心肌病联盟(Cirrhotic Cardiomyopathy Consortium,CCC)更新了世界胃肠学组织(World Gastroenterology Organization,WGO)于2005年提出的CCM诊断标准,为肝硬化患者设定了一个较低的阈值,即降低射血分数来诊断收缩功能障碍,整体纵向应变(GLS)作为左心室功能的一个参数已被建议作为CCM的诊断标准,对于早期发现并诊断肝硬化患者心功能受限起着至关重要的作用,心肌标志物也可用于帮助诊断,但是它们用于评估肝硬化患者的心功能受限仍旧存在争议,本研究旨在根据两种不同的诊断标准评估肝硬化患者中CCM的患病率。
研究方法
入组2020年7月到2022年7月首都医科大学附属北京佑安医院收治入院的明确诊断肝硬化患者186例,研究对象分为CCM组和无CCM组,CCM诊断标准分别依据2005-WGO标准和2019-CCC标准,超声心动图由超声专科医师通过组织多普勒成像和斑点追踪超声心动图方法对患者进行检测。收集肝硬化患者的人口学、病史、肝硬化并发症、实验室生化检查、病毒学、心肌酶、超声心动图和心电图检查等,比较根据不同诊断标准CCM的患病率。
CCM组入组标准:①年龄 18-65岁,性别不限;②所有患者经临床、实验室检查、影像学检查明确诊断为肝硬化;③合并CCM,其中CCM诊断标准依据2005-WGO、2019-CCC标准;④签署知情同意书。
排除标准:①近2周内有活动性上消化道出血,贫血未能纠正;②正在发热或合并SIRS的患者;③2型糖尿病患者;④合并原发性心血管疾病,如高血压、冠心病、风心病、房室传导阻滞等;⑤合并其他可能影响心脏功能的急慢性疾病,例如急慢性呼吸系统疾病、甲状腺疾病等;⑥合并恶性肿瘤;⑦近1周内服用对心功能有影响的药物(β受体阻滞剂、钙离子通道阻滞剂、血管紧张素转换酶抑制剂等)。
无CCM入组标准:①年龄18~65岁,性别不限;②所有患者经临床、实验室检查、影像学检查明确诊断为肝硬化;③不合并CCM;④签署知情同意书。排除标准同CCM组。
研究结果
本研究共筛选肝硬化患者311例,根据入排标准剔除125例,最终入组186例,其中根据2005-WGO标准共入组CCM组60例,无CCM组126例。根据2019-CCC标准CCM组48例,无CCM组138例。根据2005-WGO标准与2019年CCC标准相比,CCM的总体患病率略高:32.2% vs. 25.8%(P<0.001)。
根据2019-CCC诊断标准,CCM组男性33例,占68.8%,无CCM组男性95例,占68.1%(P>0.05),CCM组平均年龄59.2±11.5岁,无CCM组平均年龄55.20±9.9岁(P<0.05)。两组在病因学(P=0.326)、平均动脉压(P=0.381)、静息心率(P=0.281)以及肝硬化常见并发症腹水(P=0.053)、自发性腹膜炎(P=0.772)、肝性脑病(P=0.813)以及门静脉内径(P根据肝功能Child-Pugh grade评分标准,在48例CCM组患者中Child A级3例(6.3%)、Child B级别29例(60.4%)、Child C级16(33.3%),在138例CCM组患者中Child A级15例(10.9%)、Child B级别85例(61.6%)、Child C级38例(27.5%),两组差别无统计学意义(P>0.05)。根据终末期肝病MELD评分CCM组8.9(6.6~15.3)分,无CCM组8.4(5.1~12.4)分,两组差别无统计学意义(P>0.05),MELD-Na评分在在CCM组8.8(4.9~12.1)分,无CCM组为7.7(4.1~10.4)分,两组差别同样无统计学意义(P>0.05)。
根据2005-WGO诊断标准,CCM组男性共38例,占63.3%,无CCM 组男性占71.4%(P>0.05),CCM组平均年龄60.8±9.5岁,无CCM组平均年龄54.1±10.3岁(P<0.05)。在60例CCM组患者中常见的病因HBV感染24例(40.0%)、HCV感染23例 (38.3%),其次为原发性胆汁性胆管炎10例(16.7%)、非酒精性脂肪性肝病3例(5%),两组在病因学方面差异具有统计学意义(P<0.05)。在平均动脉压(P=0.733)、静息心率(P=0.169)以及肝硬化常见并发症腹水(P=0.218)、自发性腹膜炎(P=0.772)、肝性脑病(P=0.864)以及门静脉内径(P=0.709)方面差异均无统计学意义(P>0.05)。
根据肝功能Child-Pugh grade评分标准,在60例CCM组患者中Child A级3例(5%)、Child B级别38例(65%)、Child C级18例(30%),在126例CCM组患者中Child A级15例(11.9)、Child B级别75例(59.5%)、Child C级36例(28.6%),两组差别无统计学意义(P>0.05)。根据终末期肝病MELD评分CCM组8.6(5.7~14.7)分,无CCM组8.7(5.2~12.4)分,两组差别无统计学意义(P>0.05),MELD-Na评分在在CCM组8.5(5.0~11.6)分,无CCM组为7.5(4.6~10.8)分,两组差别同样无统计学意义(P>0.05)。
我们又进行了CCM组和无CCM的心脏超声参数和心电图的比较根据2019-CCC诊断标准,CCM组在QTc(P=0.013)、PA(P=0.04)、GLS(P<0.001)e’(P<0.001)、LAVI(P=0.048)方面差异均具有统计学意义,而在LVEF、FS(%)、E/A比值方面差异无统计学意义(P均>0.05)。根据2005-WGO诊断标准,CCM组在QTc(P<0.001)、E/A比值(P<0.001)、RV(P=0.045)、e’(P=0.006)、LAVI(P=0.01)方面差异均具有统计学意义,而在E/e’、GLS方面差异无统计学意义(P均>0.05)。
根据2019-CCC诊断标准,在48例CCM患者中,收缩功能障碍36例(占75%),而根据2005-WGO标准,60例CCM患者中仅有3例(占5%),两者一致性差(k=0.241),提示根据2019-CCC诊断标准有更多的肝硬化患者出现收缩功能障碍(P<0.001)。在舒张功能障碍的比较中,根据2005-WGO标准有57/60(95%)的患者存在舒张功能障碍,而根据2019-CCC诊断标准,只有12/48(25%)的患者存在舒张功能障碍,两者一致性一般(k=0.390),提示与2019-CCC诊断标准相比,2005-WGO标准有更多的肝硬化患者出现舒张功能障碍(P<0.001)。
研究结论
CCM的患病率波动在25.8%~32.2%之间,根据2019-CCC诊断标准有更多的患者出现收缩功能障碍,而根据2005-WGO标准有更多的患者出现舒张功能障碍。

研究三
新型冠状病毒疫苗对丙型肝炎相关重症肝病患者的安全性和免疫原性研究
重症肝病患者感染SARS-CoV-2的死亡率高,强烈建议这部分患者优先接种新冠疫苗。然而,关于全程接种新冠灭活疫苗后的安全性和抗体水平的研究较少。本研究评估了COVID-19疫苗在丙型肝炎相关重症肝病患者中的安全性和免疫原性,旨在为调整疫苗接种策略提供依据。
研究方法
本研究为观察性研究,共招募了211名未曾感染过SARS-CoV-2的丙型肝炎相关肝病患者。所有患者均在7个月内接种了三剂COVID-19灭活疫苗。我们记录了每针疫苗接种后的不良反应,检测了疫苗接种前后肝肾功能、凝血功能及血常规的变化,以及全程接种后的血清中和抗体水平。
研究结果
1
基线特征
以来自于河北省某县的2892例在90年代通过单采血浆感染丙型肝炎病毒的患者为研究对象,其中372例患者接种了新冠灭活疫苗,最终纳入了211例患者,包括肝硬化患者117例,肝癌患者13例,慢性丙型肝炎患者81例。研究组为肝硬化和肝癌患者,为重症肝病患者组,对照组为慢性丙型肝炎患者。患者的人口统计学资料、疫苗厂家、第三剂疫苗接种与抗体检测间隔时间、Child-Pugh评分和MELD评分详见壁报。
所有患者都接种了来自不同厂家的三剂灭活疫苗。两组患者第三剂疫苗接种至抗体检测的中位间隔时间分别为57.0(IQR:38.0~74.0)天和54.5(IQR:41.0~73.0)天。此外,我们通过计算患者的基线Child-Pugh评分和MELD评分来评估肝功能。结果显示,两组患者在年龄、性别、疫苗厂家、第三剂疫苗接种与抗体检测间隔时间、Child-Pugh评分等方面无统计学差异。慢性丙型肝炎组MELD评分明显低于肝硬化和肝癌患者,与肝病的严重程度一致。
2
不良反应
在本研究中,所有肝病患者对新冠灭活疫苗的耐受性良好。其中疼痛是最常见的局部不良反应,患者在接种第一剂、第二剂和第三剂疫苗后疼痛的发生率分别为14.7%(21/211)、11.8%(25/211)和12.3%(26/211)。而三剂疫苗接种后最常见的全身不良反应为肌痛[7.1%(15/211)、7.6%(16/211)、5.7%(12/211)]、头痛[8.5%(18/211)、9.0%(19/211)、6.2%(13/211)]和疲劳[10.0%(21/211)、7.6%(16/211)、8.5%(18/211)]。患者的不良反应程度均较轻,且呈自限性,未发现3级不良反应发生。并且两组患者不良反应发生率无统计学差异。
3
临床指标的变化
我们对比了疫苗接种前后临床指标的变化。结果显示,虽然与接种前的临床指标相比,第三剂疫苗接种后总胆红素、肌酐、凝血酶原时间升高,血红蛋白、血白蛋白水平降低,但是上述临床指标的变化均较小,虽有统计学差异,但无临床意义。结果表明新冠灭活疫苗未引起丙型肝炎相关肝病患者肝肾功能、凝血功能和血常规的严重异常。
4
中和抗体
中和抗体滴度定义为阴性(≤17.6 IU/ml)和阳性(>17.6 IU/ml)。81例慢性丙型肝炎患者中,26例(32.1%)为抗体滴度阴性,56例(67.9%)为阳性。130例肝硬化和肝癌患者中,53例(40.8%)为抗体滴度阴性,77例(59.2%)为抗体滴度阳性。重症肝病组的抗体阳性率与慢性丙型肝炎组相似,但与慢性丙型肝炎患者(中位滴度38.9,范围16.0~198.9 IU/ml)相比,重症肝病患者的抗体滴度水平(中位滴度24.2,范围11.2~65.5 IU/ml)明显降低。所有患者的抗体滴度水平在2个月后开始下降。我们的研究结果表明,在大多数丙型肝炎相关严重肝病患者中,接种新冠疫苗可以提供一定的保护作用,但是这种保护作用并非稳定持久的。
研究结论
本研究表明,新冠灭活疫苗在丙型肝炎相关重症肝病患者中似乎是安全的,但是免疫原性较低。与普通人群不同,针对这部分患者需要改进疫苗接种策略。

研究四
许姗姗1,仇丽霞1,徐亮2,柳雅立1,张晶1
1 首都医科大学附属北京佑安医院肝病中心三科
2 天津市第二人民医院肝病研究所
丙肝进展期肝纤维化和肝硬化患者即使在获得持续病毒学应答(sustained virological response,SVR)后仍有发生肝细胞癌(hepatocellular carcinoma,HCC)的风险。临床指南建议对此类人群每六个月进行一次甲胎蛋白(alpha-fetoprotein,AFP)和超声检测以筛查肝癌,这给患者及公共卫生事业均带来了沉重的负担。本研究拟针对此类人群建立一个肝癌风险预测模型,对肝癌高危人群进行风险分层,并制定个体化肝癌随访筛查方案。
研究方法
共入组551名获得持续病毒应答的丙肝肝纤维化或肝硬化患者,入组患者每6个月随访一次。入组患者被随机分为推导队列(70%,n=385)和内部验证队列(30%,n=166)。来自另一家医院的221名相似的患者作为外部验证队列。收集入组患者的人口社会学资料、病史和基线实验室结果。肝癌通过甲胎蛋白、腹部影像学或肝脏组织学诊断。肝纤维化或肝硬化通过肝硬度测量(liver stiffness measurement,LSM)、FIB-4或临床表现诊断。本研究通过单因素和多因素分析肝癌的危险因素,根据危险因素建立一个肝癌风险预测模型,应用受试者工作特征曲线(AUC)下的面积、Harrell‘s C指数评价模型预测性能,并进行内外部验证。最后,比较本研究预测模型与既往丙肝肝癌预测模型的预测效能。
研究结果
推导队列患者中位随访期为66.6±12.3个月,其中37例(9.61%)患者发生HCC。高龄(HR:1.08,95%CI:1.01~1.15,P=0.029)、男性(HR:2.41,95%CI:1.15~5.03,P=0.020)、基线血清白蛋白水平(HR:0.88,95%CI:0.82~0.94,P=0.000)和LSM(HR:1.02,95%CI:1.00~1.05,P=0.032)是肝癌发生的独立预测因素(表5)。因此,基于年龄、男性、血清白蛋白水平和LSM,我们建立了一个肝细胞癌风险预测模型(诺姆图)(图4)。

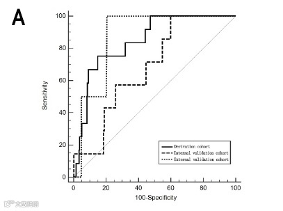
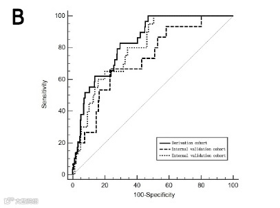
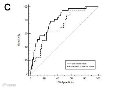
应用时间依赖性受试者工作特征(ROC)曲线(time-ROC)对于肝癌风险预测模型进行评估。时间依赖性ROC曲线结果显示,肝癌风险预测模型在推导、内部和外部验证队列中的预测效能相似。在推导队列、内部和外部验证队列中,3年、5年相关的AUROCS分别为0.84 (95%CI:0.80~0.88)、0.83(95%CI:0.79~0.87)vs. 0.68(95%CI:0.61~0.75)、0.73(95%CI:0.66~0.80)vs. 0.87(95%CI:0.82~0.92)、0.80(95%CI:0.74~0.85)(P均>0.05)(图5-A、图5-B)。在推导和内部验证队列中,7年的AUROCS分别为0.81(95%CI:0.77~0.85)vs. 0.72(95%CI:0.64~0.78)(P>0.05)(图5-C)。
注:A:推导、内部验证和外部验证队列3年的AUROCS分别是0.84(95%CI:0.80~0.88),0.68(95%CI:0.61~0.75),0.87(95%CI:0.82~0.92)(P均>0.05)。B:推导、内部验证和外部验证队列5年的AUROCS分别是0.83(95% CI:0.79~0.87),0.73(95%CI:0.66~0.80),0.80(95%CI:0.74~0.85)(P均>0.05)。C:推导、内部验证队列7年的AUROCS分别是0.81(95%CI:0.77~0.85),0.72(95%CI:0.64~0.78)(P>0.05)。
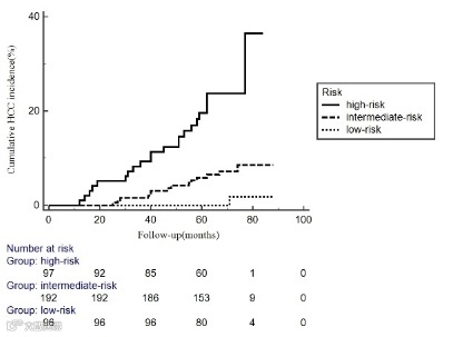
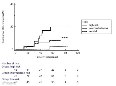
根据肝癌预测模型分别计算患者的肝癌风险评分,以肝癌风险评分第25百分位数和第75百分位数为截断值将患者分为低危(<95.45分)、中危(95.45~124.76分)、高危(>124.76分)组。低危组、中危组和高危组的肝癌年发病率分别为0.18%、1.29%和4.45%(见表7)。三组患者3年累计发病率分别为0.00%、1.56%、9.28%,5年累计发病率分别为0.00%、5.73%、18.56%,7年累计发病率分别为1.04%、7.29%、22.68%(表6、图6)。在内部验证队列中,低危组患者的肝癌年发病率分别为0.39%、1.60%和3.80%(表7)。在外部验证队列中,三组患者的年发病率分别为0.00%、3.65%和9.02%(表6)。内部和外部验证队列的累积HCC发病率见表6和图6。

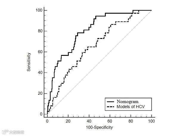
Ioannou等人建立的模型为丙肝SVR后肝癌最佳预测模型之一,我们称该模型为“丙肝肝癌预测模型”。该模型包含4个公式,分别针对4个亚组患者:肝硬化/SVR、肝硬化/无SVR、无肝硬化/SVR、无肝硬化/无SVR。4项预测因子(年龄、血小板、谷丙转氨酶/谷草转氨酶比值和血清白蛋白)是模型中的主要预测因子。我们比较本研究开发的预测模型与该模型的预测效能,发现“丙肝肝癌预测模型”的AUROC为0.66(95%CI:0.62~0.71),显著低于我们的预测模型0.81(95%CI:0.77~0.85)(P<0.05)(图7)。

注:AUROC:0.81(95% CI 0.77 ~ 0.85)vs. 0.66(95%CI:0.62 ~ 0.71)(P<0.05)
研究结论
以年龄、性别、基线血清白蛋白和LSM构建的肝癌预测模型可以对丙肝SVR后高危患者进一步进行风险分层,从而制定个体化筛查策略。
专家简介
张晶

☞AASLD中国之声丨张文宏教授、张继明教授团队:聚焦乙肝,“绿洲”项目新进展和TAF免疫调节作用探索

声明:本文仅供医疗卫生专业人士了解最新医药资讯参考使用,不代表本平台观点。该信息不能以任何方式取代专业的医疗指导,也不应被视为诊疗建议,如果该信息被用于资讯以外的目的,本站及作者不承担相关责任。
(来源:《国际肝病》编辑部)










