编者按:酒精相关性肝病(ARLD)是一个主要且日益严重的全球健康负担,识别高风险个体将有助于有效地制定公共卫生干预措施。饮酒是ARLD的主要危险因素,饮酒与ARLD的风险呈正相关。近期一项发表在Nature Communications杂志的研究[1]表明,不仅仅是饮酒量,饮酒模式同样重要,大量、快速饮酒或酗酒,更伤肝。在酗酒或重度酗酒的人群中,更高的遗传易感性会进一步增加肝硬化风险,此外,糖尿病也会增加饮酒导致的肝硬化风险。
ARLD是由于长期大量饮酒导致的肝脏疾病,包括酒精性脂肪肝、肝炎(AH)、肝硬化(ARC)、肝癌。在英国,自Covid-19大流行以来,ARLD死亡人数增加了约20%,预计肝脏疾病将在未来十年内成为过早死亡的最常见原因,美国和整个亚洲也出现了类似的趋势。饮酒是ARLD的主要危险因素,饮酒与ARLD的发病风险呈正相关。其他影响风险的因素也已被研究过,包括性别、遗传易感性、糖尿病状态、肥胖和环境因素,遗传因素尤其引人关注,因为基于多基因风险评分(PRS)的风险分层有可能识别高危人群。
此外,有学者提出将识别高危人群作为肝纤维化分层筛查和提供有针对性的公共卫生干预措施的策略。尽管饮酒行为和遗传因素已被研究为ARLD的危险因素,但饮酒模式、遗传风险和代谢性危险因素之间的具体交互作用尚未被研究。所以该研究目的是分析来自英国生物样本库队列的数据,以检验以下假设:酗酒模式和遗传危险因素均与ARC和AH的风险独立相关。此外,该研究还将探讨确定饮酒模式、遗传风险和代谢因素相互作用对ARC风险的影响程度,因为这可以确定需要进行针对性行为干预的个体。
在这项研究中,研究人员分析了UK Biobank数据库中312599例受试者,在所有受试者中,有20%的人饮酒,其中,饮酒量超过限制、酗酒、重度酗酒的人群分别占42%、23%和15%。酗酒和重度酗酒者比平均年龄更年轻,并且更有可能是男性。此外,酗酒和重度酗酒者在一周内饮酒的频率较低,更有可能不进餐就喝酒,更有可能喝啤酒,并且更有可能是当前吸烟者。
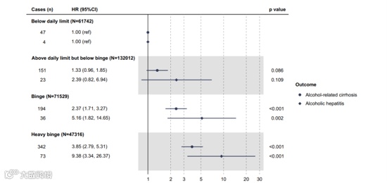
在平均12.6年的随访期间,共记录了734例酒精性肝硬化病例,136例酒精性肝炎病例。每周酒精摄入量和每日饮酒量增加与肝病风险显著相关。在仅基于观察数据而未调整多基因风险评分 (PRS) 的模型中(图 1),每日饮酒量越大,患酒精性肝硬化风险越高(趋势P<0.001),同样,对于酒精性肝炎来说,风险随着每日饮酒量的增加而增加。饮酒量超过限制、酗酒、重度酗酒的人,患酒精性肝硬化的风险分别高1.33、2.37、3.85倍,患酒精性肝炎的风险分别高2.39、5.16、9.38倍。此外,未发现饮酒与性别或连续年龄之间存在交互作用,这表明酗酒模式对ARC和AH的影响在男性和女性之间以及不同年龄之间没有显著差异。

图1.饮酒与ARC和AH风险关系
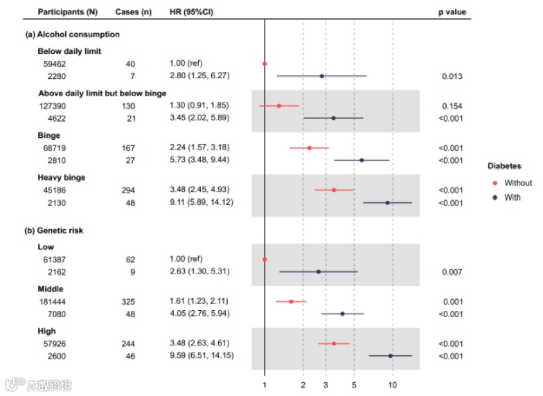
在考虑了包括酗酒模式、每周饮酒量、糖尿病和肥胖在内的多个协变量后,随着遗传易感性的增加,发生ARC的风险增加(所有趋势P<0.001)。例如,与低遗传易感性组相比,中遗传易感性组和高遗传易感性组ARC的HR分别为1.60(95%CI:1.24~2.07)和3.51(95%CI:2.70~4.55)。此外,对于重度酗酒的人,增加遗传易感性会导致ARC风险大幅增加,从低遗传易感性组3.53倍增加到最高遗传易感性组的12.82倍。
先前的研究表明糖尿病是肝硬化的独立危险因素。在调整性别、年龄、BMI 和其他相关风险因素后,发现无论喝多少,无论遗传易感性如何,糖尿病均会显著增加三组受试者患ARC的风险(图2)。与每个危险因素单独作用相比,由于重度酗酒、高PRS和糖尿病共同存在而导致的额外风险相当大,与单独作用的每个危险因素相比,当重度酗酒、高遗传易感性、糖尿病三个因素同时存在,观察到的ARC风险最高,大约为24.4倍。

图2.糖尿病状态、饮酒和多基因风险组对ARC的风险
由于饮酒也会通过多种途径影响血糖代谢,既能直接诱发低血糖,也可能导致血糖飙升,所以对于糖尿病患者来说,最好不要饮酒。中国2型糖尿病防治指南(2020年版)[2]对饮酒给予如下建议:不推荐糖尿病患者饮酒。若饮酒应计算其中所含的热量。女性一天饮酒的酒精量不超过15g,男性不超过25g(15g酒精相当于350ml啤酒、150ml葡萄酒或45ml蒸馏酒),每周饮酒不超过2次。
总体而言,该研究证实了酗酒、遗传和糖尿病对ARC的协同作用,基于饮酒模式、遗传易感性和糖尿病史对饮酒者进行潜在风险分层,有望识别出高风险个体从而进行有针对性的干预。
参考文献:
1. Chengyi Ding,et al.Binge-pattern alcohol consumption and genetic risk as determinants of alcoholrelated liver disease.Nature Communications | (2023) 14:8041
2. 2020版CDS指南。
声明:本文仅供医疗卫生专业人士了解最新医药资讯参考使用,不代表本平台观点。该信息不能以任何方式取代专业的医疗指导,也不应被视为诊疗建议,如果该信息被用于资讯以外的目的,本站及作者不承担相关责任。
(来源:《国际糖尿病》编辑部)