2026年1月6日,《Portal Hypertension & Cirrhosis》(SCI IF 1.8)发表了中国医科大学附属盛京医院团队的一项动物研究,系统评估了多频多参数三维磁共振弹性成像(3D-MRE)在无创预测门脉高压中的价值。研究首次在猪模型中证实,脾脏剪切硬度(SS)与肝静脉压力梯度(HVPG)独立相关,为无创动态监测门脉压力提供了新依据。
门脉高压是肝硬化的严重并发症,临床亟需无创、准确的评估手段。HVPG是诊断金标准,但其有创性限制了临床应用。3D-MRE作为一种无创评估组织硬度的影像技术,在区分肝纤维化与门脉压力方面仍待验证。
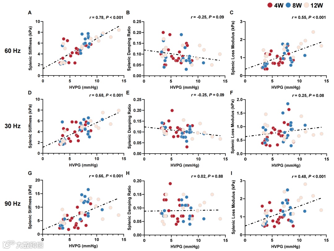
研究纳入20只巴马小型猪,分为门脉高压组(n=15)与对照组(n=5)。通过肝动脉栓塞建立门脉高压模型,在基线与第4、8、12和16周行HVPG测量及3D-MRE扫描(频率:30/60/90 Hz)。第16周对门脉高压组行TIPS术,并再次评估HVPG与MRE参数。
研究结果显示,脾脏SS与门脉压力密切相关。脾脏SS在60 Hz频率下与HVPG的相关性最强,相关系数达0.78。通过多频多参数分析构建的预测模型(包含30/60 Hz脾脏SS及60 Hz脾脏耗能模量)能够解释HVPG 70%的变异,表现出优异的预测能力。该多频模型预测HVPG的相关系数达到0.86,显著优于90 Hz单频模型的0.68,在诊断门脉高压方面表现出0.92的高AUC值。
值得注意的是,研究揭示了脾脏SS在动态监测门脉压力变化中的独特价值。在TIPS术后,脾脏SS在所有频率下均出现显著下降,其中60 Hz频率下脾脏SS的变化与HVPG降幅高度相关,相关系数达到0.81。相比之下,肝脏SS在TIPS前后未表现出显著变化,这提示脾脏SS更能敏感反映门脉压力的动态变化,为临床无创监测门脉压力提供了新的标志物。
该研究首次在动物模型中系统验证了多频多参数3D-MRE在无创评估门脉高压中的价值,尤其脾脏SS在反映门脉压力变化方面具有高敏感性与动态监测潜力。研究结果为未来开发无创门脉压力监测工具提供了依据,有望推动肝硬化个体化管理模式的进步。
通讯作者
石喻
• 中国医科大学附属盛京医院放射科副主任
• 三级教授,博士生导师
• 获中组部国家“万人计划”青年拔尖人才
• 辽宁省科技进步一、二等奖等奖各1项
• 主持4项国家自然科学基金项目
• 获批5项国家发明专利及5项软件著作权
• 近五年以通讯或第一作者身份发表: 2023 Nat Med(共同通讯),2026 Nat Comm(最后通讯),Radiology (5篇,通讯或第一),2023 Annals of Surgery(唯一通讯) 及2026 Int J Surg(共同通讯), 2026 Medical image analysis(最后通讯)等,成果6次获得杂志特邀述评Editorial,获2次杂志封面。
• 主办全国首个MRE继续教育培训班,申请人牵头2项国际多中心、12项国内多中心临床研究; 2020年及2023年两次获MICCAI顶会Early Accept;两次受邀在ISMRM专题演讲(2024及2025)。
点击下方 阅读原文 跳转原文
(来源: CHESS肝脏健康)
声明:本文仅供医疗卫生专业人士了解最新医药资讯参考使用,不代表本平台观点。该信息不能以任何方式取代专业的医疗指导,也不应被视为诊疗建议,如果该信息被用于资讯以外的目的,本站及作者不承担相关责任。

