

编者按:2024年3月27~31日,第33届亚太肝脏研究学会年会(APASL 2024)于日本京都隆重举行。会上,我国宁波市第二医院胡爱荣教授团队聚焦乙型肝炎和丙型肝炎领域的多项最新研究成果入选大会交流。《国际肝病》特邀团队介绍报告精彩内容,本期首先分享“基于壳多糖酶3样蛋白1(CHI3L1)的HBV感染免疫耐受期肝脏严重程度预测模型”研究内容(摘要编号:P-0061),欢迎关注后续报道。



研究背景与研究目的
当前,在评估乙型肝炎疾病严重程度、病毒复制状态、患者风险分层和治疗时,一直依赖于经过验证的血清和肝活检诊断标志物。所有指南都建议治疗HBV DNA和ALT升高的患者。对于HBV DNA高水平(>107 IU/mL)但ALT水平正常的患者是否应该进行治疗存在一些争议,这个阶段被称为“免疫耐受(IT)期”。在IT期,通常需要额外的证据,如肝活检和非侵入性肝纤维化检查来确定是否需要治疗。然而,能够准确评估肝纤维化和肝脏炎症活性度,特别是IT期HBV感染严重程度的无创诊断检测仍然有限。
壳多糖酶3样蛋白1(CHI3L1)是一种单体糖基化蛋白,其表达量在肝脏中高度富集。研究发现CH3L1与慢性肝病肝纤维化的进展密切相关,并且CHI3L1与其他标志物如IV型胶原和FIB-4评分相结合,可以进一步提高诊断准确性。但CHI3L1和相关诊断模型在预测肝纤维化和肝脏炎症活性度中的相关性有待进一步研究。本研究旨在确定慢性HBV感染IT期,CHI3L1血清水平与肝纤维化和肝脏炎症活性度之间的关系。探讨基于CHI3L1的诊断模型在评估慢性HBV感染者IT期感染严重程度的意义。

研究方法
回顾性横断面研究,纳入2018年11月至2022年12月来自宁波市第二医院的253例慢性HBV感染患者(HBV DNA >30 IU/mL)。根据Metavir系统评估肝脏炎症活性度和肝纤维化的程度。253例患者中,有44例为IT期。44例IT期患者按2:1的比例随机分为两组。第一组由30名患者组成,作为训练组来建立模型。第二组14名患者,作为验证组用于内部验证 (图1)。训练组与对照组根据肝活检的肝脏炎症活性度和纤维化分为两组:轻度炎症和纤维化组(A<2和F<2),中/重度炎症和纤维化组(≥A2和/或≥F2)。通过单因素分析、Logistics回归分析和决策曲线分析等方法分析CHI3L1血清水平与肝纤维化和肝脏炎症活性度之间的关系(人口学特征、实验室参数和无创模型)。

图1. 患者入组流程图

研究结果
253名慢性HBV感染患者,A<2和F<2占27.37%(69例),≥A2和/或≥ S2占72.73%(184例)。44名慢性HBV感染IT期患者,训练组中50%(15例)患者肝脏病理≥A2和/或≥ S2,验证组71.4%(10例)患者肝脏病理≥A2和/或≥S2。(见表1)


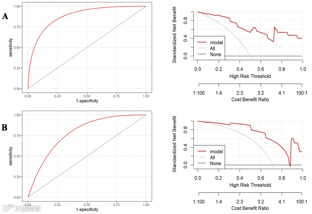
图2. 模型ROC曲线和决策曲线分析
A: ROC曲线和决策曲线分析预测和观察了衍生样本中IT患者的肝脏组织病理学变化。B: ROC曲线和决策曲线分析预测和观察了内部验证样本中IT患者的肝脏组织病理学变化。ROC:受试者工作特征曲线

在IT期,CHI3L1(正相关)、ALB(负相关)和ALT/AST(正相关)是肝组织病理学严重程度(肝坏死性炎症、肝纤维化和治疗指征)的独立危险因素。建立的诊断模型(CAA指数)=0.108×CHI3L1+5.085×ALT/AST-0.493×ALB+9.687。受试者工作特征(ROC)曲线下面积为0.916(95% CI:0.820~1.000)(图2A)。截断值为0.539,敏感性0.800,特异性0.867,阴性预测值(NPV)0.786,阳性预测值(PPV)0.75。综合检验证实拟合模型具有统计学显著性(P<0.001)。此外,Hosmer-Lemeshow拟合优度(GOF)检验表明,预测的严重程度与实际肝活检病理相匹配,模型成功地从数据中提取了所有相关信息,拟合优度较高(P=0.696>0.05)(见表2、图2A)。
内部验证显示ROC曲线为0.875(95%CI:0.683~1.000)(图2B)。截断值为0.549,敏感性0.800,特异性1.000。采用DCA(图2)通过计算不同概率阈值的净效益来评估模型的有效性。在训练集和有效集中,CAA指数均获得较高的临床净效益,表明该模型是预测CHB患者IT期病理严重程度的可靠临床工具。

研究结论
CHI3L1、ALB和ALT/AST是CHB患者IT期肝组织病理学严重程度(肝坏死性炎症、肝纤维化和治疗指征)的独立危险因素。三者组成的诊断模型(CAA指数)对CHB患者IT期肝组织病理学严重程度有一定的诊断价值。它评估患者肝脏病变的严重程度,并帮助确定是否需要治疗。
专家简介
胡爱荣



往期回顾
▶ 范建高教授:中国脂肪性肝病的最新流行病学及相关问题丨APASL 2024特邀报告
▶ 谢青教授团队:聚焦HBV相关肝癌管理、不确定期慢乙肝的抗病毒治疗获益丨APASL 2024
▶ 祝贺曹红翠教授荣获“Travel Award”奖,间充质干细胞新疗法多篇ORAL亮相丨APASL 2024
▶ 邬小萍教授团队:建立慢乙肝干扰素治疗骨髓抑制预测模型,探索低病毒血症转换策略丨APASL 2024
▶ APASL特邀报告丨肝癌监测:血液生物标志物检测能取代超声检查吗?——泰国Tawesak Tanwandee教授2024专访
▶ 祝贺!庄辉院士荣获Okuda-Omata杰出贡献奖,宁琴教授荣获Lesmana-Sollano资深导师奖丨APASL 2024
▶ APASL专访丨高志良教授:珠峰项目5年数据公布,有望精进的慢乙肝临床治愈之路
(来源:《国际肝病》编辑部)

声明:本文仅供医疗卫生专业人士了解最新医药资讯参考使用,不代表本平台观点。该信息不能以任何方式取代专业的医疗指导,也不应被视为诊疗建议,如果该信息被用于资讯以外的目的,本站及作者不承担相关责任。

