点击“蓝字”关注我们

导语

研究背景

研究方法

研究结果


图1. 不同睡眠呼吸暂停症状下的代谢综合征(MetSyn)患病率

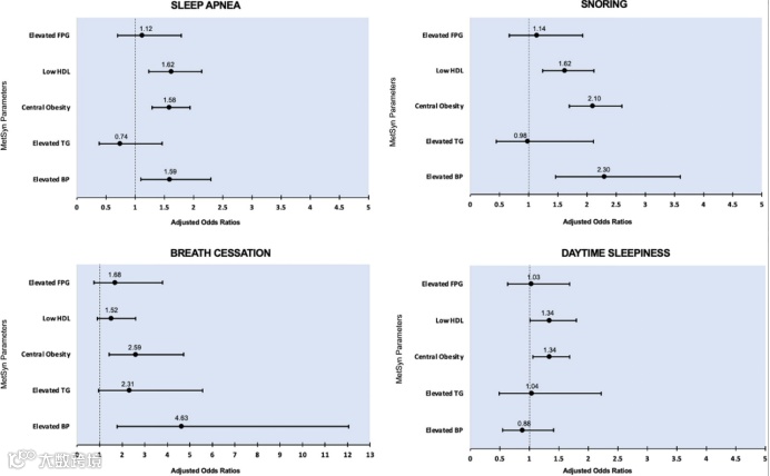
图2. 调整年龄后,代谢综合征各参数与睡眠呼吸暂停症状之间的关联
总结

参考文献:Ernest DK, et al. Relationship Between Sleep Apnea Symptoms and Metabolic Syndrome Among Racially and Ethnically Diverse Adolescents and Young Adults in the United States. Obes Sci Pract. 2025;11(2):e70071. doi:10.1002/osp4.70071
(来源:《国际糖尿病》编辑部)

声明:本文仅供医疗卫生专业人士了解最新医药资讯参考使用,不代表本平台观点。该信息不能以任何方式取代专业的医疗指导,也不应被视为诊疗建议,如果该信息被用于资讯以外的目的,本站及作者不承担相关责任。

