点击蓝字
关注我们
编者按
近日,海军军医大学第三附属医院(上海东方肝胆外科医院)杨田教授团队联合吉林大学第一医院,在肝门部胆管癌(Hilar Cholangiocarcinoma, hCCA)手术预后预测研究方面取得进展。该团队成功开发并验证了一种基于术前生物标志物的创新决策树模型,通过术前3项常规化验指标,能更精准预测可切除肝门部胆管癌患者的生存风险。该项重要研究成果发表于国际权威期刊《胃肠外科杂志》(Journal of Gastrointestinal Surgery)。该杂志是美国消化道外科学会(The Society for Surgery of the Alimentary Tract, SSAT)的官方期刊。
研究背景
攻克肝门部胆管癌的临床挑战
肝门部胆管癌(hCCA),又称Klatskin瘤,是肝胆外科领域最具挑战性的恶性肿瘤之一,占所有胆管癌的50%~70%。其因解剖位置复杂、早期易发生淋巴血管侵犯,导致治疗极为困难。尽管外科技术和围手术期管理已取得显著进步,但即使经过根治性切除,患者的5年总生存率仍仅有20%~40%,远期预后不容乐观。
目前,临床上对肝门部胆管癌的预后评估主要依赖于术后的病理学参数,如肿瘤大小、淋巴结转移和微血管侵犯情况。这些信息虽有价值,但其“滞后性”限制了其在术前治疗决策中的应用。因此,迫切需要建立可靠的术前预后标志物,以指导临床决策、优化个体化治疗策略。
核心突破
3项术前指标+决策树,分层效果显著
针对这一临床难点,研究团队回顾性分析了双中心435例根治性切除hCCA患者,按7:3分训练集(305例,建模型)和验证集(130例,验性能),经“LASSO回归筛选+多因素Cox验证+决策树建模”,锁定关键指标并构建模型。
01
关键指标:术前常规检查,无需额外检测
3个与术后生存/复发密切相关的独立预后因子,均为术前常规项目,基层医院可获取:
CA19-9 ≥37 U/mL:经典肿瘤标志物,反映肿瘤负荷;
CA12-5 ≥35 U/mL:新兴肿瘤标志物,与肿瘤侵袭性、淋巴结转移相关,是模型中“首要分层因子”;
CRP ≥5 mg/L:炎症指标,反映肿瘤相关炎症状态。
02
决策树模型:三步分层,直观易懂
采用分类与回归树(CART)算法构建模型,分层逻辑清晰,医生可快速判断风险(图1): 第一步看CA12-5:若CA12-5 ≥35 U/mL,直接归为高危组;若CA12-5<35 U/mL,第二步看CRP:若CRP ≥5 mg/L,归为高危组; 若CRP<5 mg/L,第三步看CA19-9:若CA19-9 ≥37 U/mL,归为高危组;若CA19-9 <37 U/mL,归为低危组。
▲图1:肝门部胆管癌预后风险分层决策树模型
03
分层效果:高低危差异悬殊,验证集表现稳定
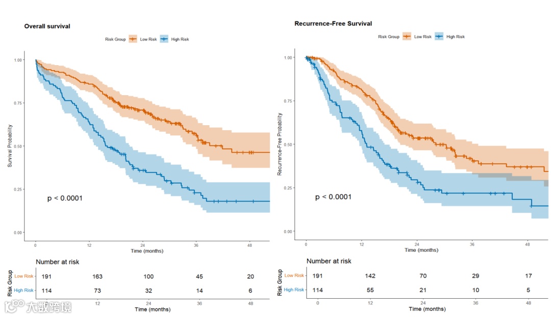
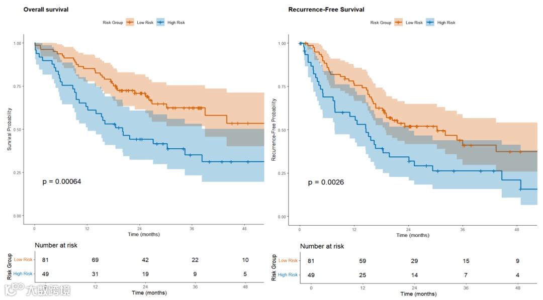
无论是训练集还是验证集,模型都能清晰区分高低危患者的预后差异:
训练集: (1) 低危组:3年OS达56.1%,3年无复发生存率(RFS)达40.5%; (2) 高危组:3年OS仅23.0%,3年RFS仅21.9%; (3) 低危组3年OS率(56.1%)约为高危组(23.0%)的2.4倍,差异具有极显著统计学意义(P<0.0001,图2)。
验证集: 高低危组的OS、RFS差异依然显著(P<0.001,图3)。
▲图2:训练集高低危组Kaplan-Meier生存曲线(左图:OS;右图:RFS)
▲图3:验证集高低危组Kaplan-Meier生存曲线(左图:OS;右图:RFS)
04
亚组分析:模型通用性强
为验证模型的可靠性,研究还针对“是否合并术后并发症、是否做血管切除、是否做大范围肝切除”等进行了亚组分析,结果显示:无论患者属于哪个亚组,模型分层效果均稳定有效。
临床价值与展望
迈向个体化精准治疗
这项研究的成果具有重大的临床应用价值:
指导术前决策:对于模型预测的高风险患者(3年生存率仅23.0%),其预后极差,临床医生可在术前考虑实施新辅助治疗(如化疗或放疗),以期提高手术切除率和远期疗效。
优化术后管理:基于术前风险分层,可为不同患者制定个体化的术后随访策略。高风险患者应接受更密切的影像学和生物标志物监测,以及时发现并处理复发。
推动临床试验:该模型为未来开展新型治疗方案的临床试验提供了可靠的患者分层工具,有助于精准筛选获益人群。
避免过度治疗:对于低风险患者(3年生存率达56.1%),可直接进行手术切除并接受标准术后管理,避免不必要的治疗延迟或强化。
该模型的优势在于其实用性、无创性和经济性,仅需整合三项常规的术前血液检测指标,即可为临床医生提供强有力的决策支持,推动肝门部胆管癌治疗进入个体化、精准化的新阶段。
研究结论
本研究成功开发并验证了一个基于术前生物标志物(CA 19-9, CA 12-5, CRP)的决策树模型,用于可切除肝门部胆管癌患者的预后风险分层。该模型性能稳健、操作简便,有望成为指导临床个体化治疗决策的重要工具,最终改善患者的生存结局。未来的研究将致力于在前瞻性、多中心队列中进一步验证该模型的应用价值,并探索基于此模型的风险适应性治疗策略。
▲本研究示意图
原文链接:Yang Yuze, Diao Yongkang, Qi Jun, et al. Development and validation of a novel decision tree-based stratification model using preoperative biomarkers predicts survival in hilar cholangiocarcinoma. Journal of Gastrointestinal Surgery, Volume 30, Issue 1, 102266
(来源:《国际肝病》编辑部)
声明:本文仅供医疗卫生专业人士了解最新医药资讯参考使用,不代表本平台观点。该信息不能以任何方式取代专业的医疗指导,也不应被视为诊疗建议,如果该信息被用于资讯以外的目的,本站及作者不承担相关责任。

