

01
电磁感应现象
1、产生感应电流的条件
感应电流产生的条件是:穿过闭合电路的磁通量发生变化。
以上表述是充分必要条件。不论什么情况,只要满足电路闭合和磁通量发生变化这两个条件,就必然产生感应电流;反之,只要产生了感应电流,那么电路一定是闭合的,穿过该电路的磁通量也一定发生了变化。
2、感应电动势产生的条件。
感应电动势产生的条件是:穿过电路的磁通量发生变化。
这里不要求闭合。无论电路闭合与否,只要磁通量变化了,就一定有感应电动势产生。这好比一个电源:不论外电路是否闭合,电动势总是存在的。但只有当外电路闭合时,电路中才会有电流。
3、关于磁通量变化
在匀强磁场中,磁通量
,磁通量的变化
有多种形式,主要有:
① S、α不变,B改变,这时
② B、α不变,S改变,这时
③ B、S不变,α改变,这时
02
楞次定律
感应电流具有这样的方向,就是感应电流的磁场总要阻碍引起感应电流的磁通量的变化。
在应用楞次定律时一定要注意:“阻碍”不等于“反向”;“阻碍”不是“阻止”。
(1) 从“阻碍磁通量变化”的角度来看,无论什么原因,只要使穿过电路的磁通量发生了变化,就一定有感应电动势产生。
(2)从“阻碍相对运动”的角度来看,楞次定律的这个结论可以用能量守恒来解释:既然有感应电流产生,就有其它能转化为电能。又由于感应电流是由相对运动引起的,所以只能是机械能转化为电能,因此机械能减少。磁场力对物体做负功,是阻力,表现出的现象就是“阻碍”相对运动。
(3) 从“阻碍自身电流变化”的角度来看,就是自感现象。自感现象中产生的自感电动势总是阻碍自身电流的变化。
实质:能量的转化与守恒
应用:对阻碍的理解:
(1)顺口溜“你增我反,你减我同”
(2)顺口溜“你退我进,你进我退”
即阻碍相对运动的意思。“你增我反”的意思是如果磁通量增加,则感应电流的磁场方向与原来的磁场方向相反。“你减我同”的意思是如果磁通量减小,则感应电流的磁场方向与原来的磁场方向相同。
(3)用以判断感应电流的方向,其步骤如下:
①确定穿过闭合电路的原磁场方向;
②确定穿过闭合电路的磁通量是如何变化的(增大还是减小);
③根据楞次定律,确定闭合回路中感应电流的磁场方向;
④应用安培定则,确定感应电流的方向.
03
法拉第电磁感应定律
1、 定律内容:感应电动势大小决定于磁通量的变化率的大小,与穿过这一电路磁通量的变化率成正比。
(1)决定感应电动势大小因素:穿过这个闭合电路中的磁通量的变化快慢
(2)注意区分磁通量中,磁通量的变化量,磁通量的变化率的不同

2、 导体切割磁感线:ε=BLv.
应用该式应注意:
(1)只适于导体切割磁感线的情况,求即时感应电动势(若v是平均速度则ε为平均值);
(2)B,L,v三者相互垂直;
(3)对公式ε=BLvsinθ中的θ应理解如下:
① 当 B⊥L,v⊥L 时,θ为B和v间夹角,如图(a);
② 当 v⊥L,B⊥v 时,θ为L和B间夹角;
③ 当 B⊥L,v⊥B 时,θ为v和L间夹角。
上述①,②,③ 三条均反映L的有效切割长度。

3、 回路闭合
式中ΔΦ为回路中磁通量变化,Δt为发生这段变化所需的时间,n为匝数。
04
自感现象
1、 自感现象是指由于导体本身的电流发生变、 化而产生的电磁感应现象。
由于线圈(导体)本身电流的变化而产生的电磁感应现象叫自感现象。在自感现象中产生感应电动势叫自感电动势。自感电动势总量阻碍线圈(导体)中原电流的变化。
2、 自感系数简称自感或电感, 它是反映线圈特性的物理量。线圈越长, 单位长度上的匝数越多, 截面积越大, 它的自感系数就越大。
另外, 有铁心的线圈的自感系数比没有铁心时要大得多。
自感现象分通电自感和断电自感两种。
3、 自感电动势的大小跟电流变化率成正比
。
L是线圈的自感系数,是线圈自身性质,线圈越长,单位长度上的匝数越多,截面积越大,有铁芯则线圈的自感系数L越大。单位是亨利(H)。
05
主要的计算式
1、 感应电动势大小的计算式:
注:若闭合电路是一个匝的线圈,线圈中的总电动势可看作是一个线圈感应电动势的n倍。E是△t时间内的平均感应电动势。
2、几种题型
①线圈面积S不变,磁感应强度均匀变化:
②磁感强度不变,线圈面积均匀变化:
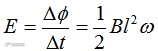
③B、S均不变,线圈绕过线圈平面内的某一轴转动时,计算式为:

3、 导体切割磁感线时产生感应电动势大小的计算式
(1)公式:
(2)题型:
① 若导体变速切割磁感线,公式中的电动势是该时刻的瞬时感应电动势。
② 若导体不是垂直切割磁感线运动,v与B有一夹角,如图b:


③ 若导体在磁场中绕着导体上的某一点转动时,导体上各点的线速度不同,不能用
计算,而应根据法拉第电磁感应定律变成“感应电动势大小等于直线导体在单位时间内切割磁感线的条数”来计算,如下图c:

从图示位置开始计时,经过时间△t,导体位置由oa转到oa1,转过的角度
,则导体扫过的面积
,切割的磁感线条数(即磁通量的变化量)
。
单位时间内切割的磁感线条数为:
,单位时间内切割的磁感线条数(即为磁通量的变化率)等于感应电动势的大小:
即:
计算时各量单位:
④转动产生的感应电动势
A. 转动轴与磁感线平行。如图d,磁感应强度为B的匀强磁场方向垂直于纸面向外,长L的金属棒oa以o为轴在该平面内以角速度ω逆时针匀速转动。求金属棒中的感应电动势。在应用感应电动势的公式时,必须注意其中的速度v应该指导线上各点的平均速度,在本题中应该是金属棒中点的速度,因此有
。

B. 线圈的转动轴与磁感线垂直。如图,矩形线圈的长、宽分别为L1、L2,所围面积为S,向右的匀强磁场的磁感应强度为B,线圈绕图e示的轴以角速度ω匀速转动。线圈的ab、cd两边切割磁感线,产生的感应电动势相加可得E=BSω。如果线圈由n匝导线绕制而成,则E=nBSω。从图示位置开始计时,则感应电动势的瞬时值为e=nBSωcosωt 。该结论与线圈的形状和转动轴的具体位置无关(但是轴必须与B垂直)。
实际上,这就是交流发电机发出的交流电的瞬时电动势公式。

赞是一种鼓励 分享是最好的支持
放 到 你 圈 子 里,朋 友 们 会 感 激 您


