
集合


基本初等函数Ⅰ




函数应用




空间几何体

点、直线和平面的位置关系



空间向量与立体几何





直线与方程




圆与方程



圆锥曲线与方程



算法初步



统计

概率

离散型随机变量的分布列



三角函数





三角函数的图象与性质



三角恒等变换

解三角形


平面向量



数列



不等式


常用逻辑用语


导数及其应用




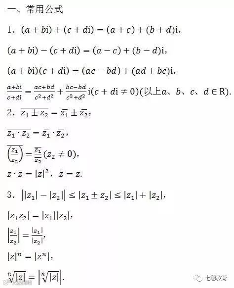
复数

计数原理



坐标系与参数方程



声明:此文来源于网络,由七馨教育编辑整理发布,欢迎大家收藏及转发到朋友圈,如涉及版权问题,请及时联系删除!
赞是一种鼓励 分享是最好的支持
放 到 你 圈 子 里,朋 友 们 会 感 激 您


