
常见的结论





常以静力学滑块和电磁场中的电荷、导体棒为对象。对静力学滑块常用整体法与隔离法处理;而对于电磁场中的电荷、导体棒则从受力分析、分析运动状态来确定用什么定律解决。所以打好力学基础是关键。
例题一 如图所示,质量为M的劈块,其左右劈面的倾角分别为θ1 = 30°、θ2 = 45°,质量分别为m1 =
kg和m2 = 2.0kg的两物块,同时分别从左右劈面的顶端从静止开始下滑,劈块始终与水平面保持相对静止,各相互接触面之间的动摩擦因数均为μ = 0.20 ,求两物块下滑过程中(m1和m2均未达到底端)劈块受到地面的摩擦力。(g = 10m/s2)

解析 选M 、m1和m2构成的整体为研究对象,把在相同时间内,M保持静止,m1和m2分别以不同的加速度下滑三个过程视为一个整体过程来研究。根据各种性质的力产生的条件,在水平方向,整体除受到地面的静摩擦力外,不可能再受到其他力;如果受到静摩擦力,那么此力便是整体在水平方向受到的合外力。
根据系统牛顿第二定律,取水平向左的方向为正方向,则有:
F合x = Ma′+ m1a1x-m2a2x
其中a′、a1x和a2x分别为M 、m1和m2在水平方向的加速度的大小,而
a′= 0 ,a1x = g (sin30°-μcos30°)
cos30° ,
a2x = g (sin45°-μcos45°)
cos45° 。
所以:
F合 = m1g (sin30°-μcos30°)
cos30°-m2g (sin45°-μcos45°)
cos45° =
×10×(
-0.2×
)×
-2.0×10×(
-0.3×
)×
=-2.3N
负号表示整体在水平方向受到的合外力的方向与选定的正方向相反。所以劈块受到地面的摩擦力的大小为2。3N,方向水平向右。
例二 如图所示,在倾角为30°的光滑斜面上放置一质量为m的物块B,B的下端连接一轻质弹簧,弹簧下端与挡板相连接,B平衡时,弹簧的压缩量为x0,O点为弹簧的原长位置。在斜面顶端另有一质量也为m的物块A,距物块B为3x0,现让A从静止开始沿斜面下滑,A与B相碰后立即一起沿斜面向下运动,并恰好回到O点(A、B均视为质点)。试求:

(1)A、B相碰后瞬间的共同速度的大小;
(2)A、B相碰前弹簧的具有的弹性势能;
(3)若在斜面顶端再连接一光滑的半径R=x0的半圆轨道PQ,圆轨道与斜面相切于最高点P,现让物块A以初速度v从P点沿斜面下滑,与B碰后返回到P点还具有向上的速度,试问:v为多大时物块A恰能通过圆弧轨道的最高点?
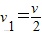
分析:(1)设
与
相碰前
的速度为
,
与
相碰后共同速度为![]()
由机械能守恒定律得 ![]()
由动量守恒定律得 ![]()
解以上二式得![]()
(2)设
、
相碰前弹簧所具有的弹性势能为
,从
、
相碰后一起压缩弹簧到它们恰好到达O点过程中,由机械能守恒定律知
![]()
解得![]()
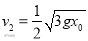
(3)设物块
第二次与
相碰前的速度为
,碰后
、
的共同速度为![]()
、
一起压缩弹簧后再回到O点时二者分离,设此时共同速度为
,则
![]()
此后
继续上滑到半圆轨道最高点时速度为
,则
![]()
在最高点有![]()
联立以上各式解得![]()
例三 有一倾角为θ的斜面,其底端固定一挡板M,另有三个木块A、B和c,它们的质量分别为mA=mB=m,mC=3m,它们与斜面间的动摩擦因数都相同.其中木块A连接一轻弹簧放于斜面上,并通过轻弹簧与挡板M相连,如图所示.开始时,木块A静止在P处,弹簧处于自然伸长状态.木块B在Q点以初速度v向下运动,P、Q间的距离为L.已知木块B在下滑过程中做匀速直线运动,与木块A相撞后立刻一起向下运动,但不粘连,它们到达一个最低点后又向上运动,木块B向上运动恰好能回到Q点.若木块A仍静止于P点,木块C从Q点开始以初速度
向下运动,经历同样过程,最后木块C停在斜面上的R点,求P、R间的距离L’的大小.

木块B下滑做匀速直线运动,有mgsinθ=μmgcosθ,碰撞前后动量守恒,根据动量守恒定律即可求解;在木块压缩弹簧的过程中,重力对木块所做的功与摩擦力对木块所做的功大小相等,因此弹簧被压缩而具有的最大弹性势能等于开始压缩时两木块的总动能.分析两木块的运动情况,根据动能定理及动量守恒定律列式即可求解.
【解析】
木块B下滑做匀速直线运动,有mgsinθ=μmgcosθ
B和A相撞前后,总动量守恒,mv=2mv1,所以
设两木块向下压缩弹簧的最大长度为s,两木块被弹簧弹回到P点时的速度为v2,则
两木块在P点处分开后,木块B上滑到Q点的过程:
木块C与A碰撞前后,总动量守恒,则
,所以
设木块C和A压缩弹簧的最大氐度为S’,两木块被弹簧弹回到P点时的速度为
,
则μ4mgcosθ•2s′=
•4mv1′2-
4mv2′2
木块C与A在P点处分开后,木块C上滑到R点的过程:
2
在木块压缩弹簧的过程中,重力对木块所做的功与摩擦力对木块所做的功大小相等,因此弹簧被压缩而具有的最大弹性势能等于开始压缩弹簧时两木块的总动能.
因此,木块B和A压缩弹簧的初动能
,
木块C与A压缩弹簧的初动能
,即Ek1=Ek2
因此,弹簧前后两次的最大压缩量相等,即s=s’
综上,得
答:P、R间的距离L’的大小为L-
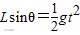
例题一 如图所示,光滑斜面的倾角为θ,若将一小球在斜面上离底边长L处沿斜面水平方向以速度v抛出,问小球滑到斜面底端时位移s是多大?末速度vt多大?

某同学对此题的解法为:
平抛出的小球下落高度为Lsinθ,位移为s,则有
,s=vt,
.
由此可求得位移s和末速度vt.
问:你同意上述解法吗?若同意,求出位移s和末速度vt;若不同意,则说明理由并求出你认为正确的结果.
小球所做的不是平抛运动,而是类平抛运动,所以该同学的解法是错误的.小球的运动可以分解为沿初速度方向的匀速直线运动与垂直于初速度方向的初速度为零的匀加速运动,应用匀速运动与匀变速运动的运动规律可以求出小球的运动时间与水平位移,进而求出末速度.
小球在斜面内的运动情况是:
水平方向上,以初速度v做匀速直线运动;
在沿斜面向下的方向上,以加速度a=gsinθ做初速度为零的匀加速直线运动.其运动轨迹为抛物线,称为类平抛运动.
依运动的独立性及等时性有:s=vt…①,
L=
gsinθ•t2…②,
vt=
…③
解得:s=v
,
则小球滑到斜面底端时位移是
;
末速度为vt=
答:该同学的解法是错误的,小球滑到斜面底端时位移是
;末速度vt为
.
例子二 如图所示,在水平地面上固定一倾角θ=37?、足够长的光滑斜面,小物体A以v1=6m/s的初速度沿斜面上滑,同时在物体A的正上方,有一小物体B以某一初速v2做平抛运动,如果当A上滑到最高点时恰好被物体B击中,则物体B抛出时的初速度大小为v2= m/s,物体A、B初始位置间的高度差为h= m.

首先根据牛顿第二定律解出A物体向上滑动过程的加速度,然后应用速度时间关系式解出A物体向上滑动的时间,此时间也是B物体平抛运动的时间,最后根据平抛运动的基本规律解题.
分析
物体向上滑动的过程中仅受重力和支持力,合力为沿斜面向下的mgsinθ

所以由牛顿第二定律得:mgsinθ=ma
解得:a=gsin37°=6m/s2,
小物体A以v1=6m/s的初速度沿斜面上滑,
由速度时间关系式:0=v1-at
解得:t=1s时物体A到达最高点.
A物体沿斜面的位移为:x=v1t-
=3m
所以A物体升高的高度为h1=xsin37°=1.8m
A物体水平方向前进的位移为x1=xcos37°=2.4m
B物体平抛的运动时间也为t=1s
所以竖直方向下落高度h2:h2=
gt2,
解得:h2=5m
所以物体A、B初始位置间的高度差为:h=h1+h2=6.8m
A物体水平方向前进的位移也等于B物体水平方向的分位移,
故:x1=v2t
解得:v2=2.4m/s
故答案为:2.4,6.8
例三

每日一题解析
如图所示,从倾角为α的斜面上的某点先后将同一小球以不同的初速水平抛出,均落到斜面上,当抛出的速度为υ1时,小球到达斜面时速度方向与斜面的夹角为θ1,当抛出的速度为υ2时,小球到达斜面时速度方向与斜面的夹角为θ2,若不考虑空气阻力,则( )

A.θ1可能大于θ2
B.θ1可能小于θ2
C.θ1一定等于θ2
D.θ1、θ2的大小与斜面倾角α无关
分析
设当将小球以初速度v平抛时,在斜面上的落点与抛出点的间距为L,则由平抛运动的规律得:
水平方向:Lcosα=vt
竖直方向:Lsinα=
gt2
整理得:
=
cotα,若设落到斜面上时小球速度方向与竖直方向的夹角为γ,则有tanγ=
=
cotα是恒量,与初速度无关,θ=
-α-γ也是恒量,可知到达斜面时速度方向与斜面的夹角不变,θ1一定等于θ2.故C正确,A、B、D错误.
声明:此文来源于网络,由七馨教育编辑整理发布,欢迎大家收藏及转发到朋友圈,如涉及版权问题,请及时联系删除!
赞是一种鼓励 分享是最好的支持
放 到 你 圈 子 里,朋 友 们 会 感 激 您


